供电系统的安全性与稳定性是目前大型用电设备使用单位必须要保证的问题,且随着各种现代化设备的广泛使用,对于供电系统电能质量的要求也提出了新的挑战.各种设备在消耗电能的同时,其内部的电力电子器件会消耗大量的无功功率,造成系统无功不足,引起电压降落,进而影响整个系统的安全性与稳定性.
关于供电系统的无功补偿与电压稳定性的研究也成为目前各个科研单位和专家学者关注的焦点[1-3].常规的无功补偿装置包括:并联电容器和调相机.近年来,随着电力电子技术的发展,静止无功发生器(SVG)由于其良好的工作性能引起了业界广泛的关注[4-5].
林志超等[6]针对SVG动态性能受自身参数影响的问题,提出了一种基于模糊控制的自适应PI控制方法,实现了自适应调整SVG的功率输出;张前进等[7]研究了在大容量无功补偿条件下,无功补偿装置与逆变器的振荡现象,并采用控制回路串联校正的方式消除该影响;许其品等[8]研究了一种抑制电力系统零序换流的SVG无功补偿控制策略;霍春宝等[9]针对传统无功补偿装置存在的工作电压低、响应速度慢、补偿容量小等问题,提出了一种H桥级联方式的SVG无功补偿系统,实现了对电网无功功率的快速补偿.此外,SVG系统在抑制电力系统谐波[10-12]、改善电力系统功率因数[13-15]、维持电力系统稳定运行[16]等方面均有着广泛的应用.
目前,国内外关于SVG的研究多集中于对新能源直流系统并网[17-18]以及逆变器造成的无功不足问题,而针对SVG用电设备的无功补偿及谐波抑制的研究较少.本文充分利SVG优良的无功补偿性能,提出一种基于双闭环控制系统的SVG无功补偿与谐波抑制控制策略,对维持供电系统的稳定性和电能质量具有重要意义.
SVG作为电力系统中一种广泛使用的无功补偿设备,具有改善系统稳定性、维持电压、提高电能质量的作用.因此,为了保证用电设备的供电可靠性,本文采用静止无功发生器与10 kV配网并联的方式对用电设备进行无功补偿.SVG主电路采用电压型桥式电路,直流侧采用电容器作为储能元件,系统接线如图1所示.
由图1可知,SVG无功补偿系统通过串联电抗器接入电网.工作过程中由SVG控制系统发出控制信号,控制电力电子元件的开断.将直流电压转化为与10 kV配网同频率的输出电压,并对系统进行无功补偿.
图1 SVG无功补偿系统接线图
Fig.1 Wiring diagram of SVG reactive compensation system
静止无功发生器的基本控制策略一般可分为电流直接控制和电压控制两大类.由于电压控制策略中含有电网参数,会给控制过程带来不确定性影响,因此本文采用基于dq0检测法的电流直接控制策略对SVG进行无功补偿控制.
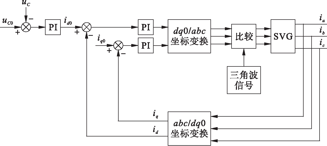
电流控制策略的基本原理为:利用配电网的瞬时无功参数调制形成相应的PWM控制信号,完成SVG基本换流单元开通和关断的控制,从而维持用电设备的无功平衡.无功电流的准确检测会直接影响SVG的工作性能,常用的无功电流检测方法包括:p-q检测法和dq0检测法.在电压三相不平衡的条件下,p-q检测法检测得到的基波电流会被谐波污染.因此,本文设计具有双闭环控制系统的dq0电流控制策略作为设备动态无功补偿的控制策略.控制原理如图2所示.
图2 电流控制原理图
Fig.2 Schematic diagram of current control
双闭环控制系统是指通过外环电压控制以维持系统电压稳定,内环电流控制进行相应地无功补偿.图2中,uC0为给定的电容参考电压,uC为SVG的电容电压.在外环电压的控制环节,控制系统通过比较uC0与uC之间的差值,将得到的电压误差信号作为有功控制的输入信号,以实现电压的稳定控制.
供电SVG无功补偿系统的内环控制为电流控制环节,基于瞬时电流负反馈控制.控制过程中将有功电流和无功电流的参考值id0、iq0分别与实际的有功瞬时电流和无功瞬时电流id、iq进行比较,得到Δid=id0-id和Δiq=iq0-iq.利用PI控制器得到相应的控制信号,使之逼近整定值,完成无功电流的实时跟随.然后,通过坐标变换形成三相控制信号,与固定频率的三角波进行比较得到SVG的控制信号.
具有双闭环控制系统的SVG无功补偿装置实际上相当于一个受控电流源,不仅具有优良的稳定性与准确度,且其响应速度与控制精度也显著优于间接控制法,对于保障大型设备的供电稳定性具有重要作用.
由上文分析可知,实现对静止无功发生器的双闭环控制的关键在于有功电流id与无功电流iq的获取.本文采用dq0检测法获取瞬时有功电流与无功电流.dq0检测法是一种基于矢量分析的坐标变换方法,其基本原理是将abc坐标系转换到dq0坐标系下,从而实现对系统有功电流与无功电流信号的提取.
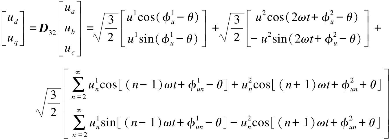
假设供电的10 kV配网系统中三相电压和电流分别为
(1)
(2)
式中:上标1为电压与电流的正序分量;上标2为负序分量;上标0为0序分量;下标n为n次谐波分量.按照坐标变换方法将其变换到dq0坐标系下,则有

(3)
(4)
式中:D32为坐标变换矩阵;φ为电压与电流相位;θ为电压与电流初始相位;ω为电网基波角频率.利用采样频率为10 kHz,截止频率为10 Hz的巴特沃斯低通数字滤波器对其进行滤波处理后,可得到电压与电流的有功分量和无功分量分别为
(5)
(6)
最后,将有功分量与无功分量进行反变换,可得基波正序电压、电流分量为
(7)
(8)
由上述求解过程可知,通过坐标变换得到的电压电流正序基波分量不受正弦信号初始相位的影响,能够有效避免由于非线性和不对称负载的存在而引起的同步参考相位缺失的问题.
对图1所示的电路SVG无功补偿能力进行仿真分析.实验对比了两种常见的电压畸变进行无功补偿前后的波形特征以及频率特征,并对其进行分析.实验过程中,SVG无功补偿系统对电压信号的采样频率为2 500 Hz,实验周期为0.2 s.
图3~6所示为样本1和样本2进行无功补偿前后的对比图.样本信号由实际滤波得到的信号经过频谱分析后获得,在Simulink中利用可编程电源搭建相应的谐波电路产生.
图3 样本1电压信号波形
Fig.3 Voltage signal waveform of sample 1
由图3和图4可知,在未使用SVG无功补偿系统的条件下,样本1信号存在间断性的电压波动,同时其频率分布在50 Hz附近有轻微的杂波干扰.通过本文提出的具有双闭环控制系统的SVG进行无功补偿后,电压波形得到了较好的改善,且其杂波干扰也明显降低,电压畸变率由原先的23.5%降低到0.1%以下.
图4 样本1信号频率分析
Fig.4 Signal frequency analysis of sample 1
图5 样本2电压信号波形
Fig.5 Voltage signal waveform of sample 2
样本2电压信号波形存在不同频率的畸变,通过对其频率分析发现,其谐波频率主要为25 Hz和75 Hz.由SVG系统进行无功补偿与滤波后,电压恢复稳定,整体谐波畸变率降到0.5%.
为了进一步验证SVG进行无功补偿的能力以及本文提出的双闭环控制策略的有效性.通过对三相电源随机叠加不同频次和幅值的谐波信号,获得100组不同的电压信号,利用SVG进行无功补偿测试,无功补偿前信号畸变率分布如图7所示.
图6 样本2信号频率分析
Fig.6 Signal frequency analysis of sample 2
图7 无功补偿前样本信号畸变率统计
Fig.7 Statistics of sample signal distortion rate before reactive power compensation
无功补偿前所有电压信号的平均畸变率为32.5%,采用本文所提的基于双闭环控制系统的SVG进行无功补偿后,电压波形的平均畸变率降低为0.41%,统计数据如图8所示.由实验结果可知,本系统能够较好地维持配电网电压的稳定性,降低系统的谐波畸变率,保证设备的稳定运行.
本文采用静止无功发生器与10 kV配网并联的方式对用电设备进行无功补偿和谐波抑制.控制过程中,外环电压控制用于维持系统电压稳定,内环电流控制实现无功功率的快速响应.本文基于dq0检测法有效避免了由于非线性和不对称负载的存在而引起的同步参考相位缺失的问题,对于实现系统的准确控制具有重要意义;两组典型电气设备电压波形的仿真结果表明,该系统能够明显改善电压波形,并抑制谐波.通过100组电压信号的测试分析表明,采用该系统可以使其电压畸变率由补偿前的32.5%降低为补偿后的0.41%.
图8 无功补偿后样本信号畸变率统计
Fig.8 Statistics of sample signal distortion rate after reactive power compensation
[1]周恒逸,齐飞,毛柳明,等.基于SVG调节配变三相不平衡电流的应用研究 [J].高压电器,2016,52(5):48-53.
(ZHOU Heng-yi,QI Fei,MAO Liu-ming,et al.Ap-plication research on regulating distribution transformer three-phase unbalanced current based on SVG [J].High Voltage Apparatus,2016,52(5):48-53.)
[2]邓晖,黄弘扬,楼伯良,等.浙江多馈入交直流混联电网电压稳定性分析 [J].浙江电力,2017,36(4):1-4.
(DENG Hui,HUANG Hong-yang,LOU Bo-liang,et al.Voltage stability analysis of multi-infeed AC/DC hybrid power system in Zhejiang province [J].Zhejiang Electric Power,2017,36(4):1-4.)
[3]武海涛,王志和,刘永和.大功率电流源型SVG的拓扑与控制 [J].高电压技术,2018,44(7):2300-2308.
(WU Hai-tao,WANG Zhi-he,LIU Yong-he.Topology and control of high power current source converter SVG [J].High Voltage Engineering,2018,44(7):2300-2308.)
[4]刘国营,李德存,翟保豫,等.静止无功发生器在电力系统中的应用 [J].电气技术,2017(7):82-85.
(LIU Guo-ying,LI De-cun,ZHAI Bao-yu,et al.Applications of static var generator in power system [J].Electrical Engineering,2017(7):82-85.)
[5]房雪涛.配电网三相不平衡负载的无功补偿技术研究 [D].南京:东南大学,2015.
(FANG Xue-tao.Research on reactive power compensation applied to the three-phase unbalanced loads in distribution network [D].Nanjing:Southeast University,2015.)
[6]林志超,韦园清,罗步升,等.基于变论域模糊PI的SVG无功补偿新型控制策略 [J].电力电容器与无功补偿,2019,40(4):58-62.
(LIN Zhi-chao,WEI Yuan-qing,LUO Bu-sheng,et al.A novel SVG reactive power compensation control strategy based on variable universe fuzzy PI [J].Power Capacitor & Reactive Power Compensation,2019,40(4):58-62.)
[7]张前进,周林,李海啸,等.考虑SVG补偿装置的大型光伏并网系统振荡分析与抑制 [J].中国电机工程学报,2019,39(9):2636-2644.
(ZHANG Qian-jin,ZHOU Lin,LI Hai-xiao,et al.Oscillation analysis and suppression of large-scale grid-connected photovoltaic system considering SVG equipment [J].Proceedings of the CSEE,2019,39(9):2636-2644.)
[8]许其品,张成龙,周百灵,等.兼具环流抑制与无功补偿的SVG控制策略研究 [J].电力电子技术,2019,53(6):31-34.
(XU Qi-pin,ZHANG Cheng-long,ZHOU Bai-ling,et al.A grid connected SVG control strategy with both circulating current suppression and reactive power compensation [J].Power Electronics,2019,53(6):31-34.)
[9]霍春宝,亢宾川,杨凯,等.基于SPWM技术的静止无功发生器的设计 [J].电力电容器与无功补偿,2019,40(4):45-50.
(HUO Chun-bao,KANG Bin-chuan,YANG Kai,et al.Design of static var generator based on SPWM technology [J].Power Capacitor & Reactive Power Compensation,2019,40(4):45-50.)
[10]南亚楠,卢向东.基于滤波提升的SVG电力无功补偿研究 [J].电网与清洁能源,2018,34(5):31-35.
(NAN Ya-nan,LU Xiang-dong.Research on SVG power reactive power compensation based on filter enhancement [J].Power System and Clean Energy,2018,34(5):31-35.)
[11]李元正,陈劲操,马炳洲,等.三电平结构SVG输出电流谐波分析及滤波器设计 [J].电测与仪表,2017,54(15):120-128.
(LI Yuan-zheng,CHEN Jin-cao,MA Bing-zhou,et al.Harmonic analysis and filter design for output current of three-level SVG [J].Electrical Measurement & Instrumentation,2017,54(15):120-128.)
[12]王科新.高压级联型SVG控制方法研究与装置研制 [D].长沙:湖南大学,2016.
(WANG Ke-xin.Control strategy research and equipment development of high voltage cascaded static var generator [D].Changsha:Hunan University,2016.)
[13]徐敏锐,卢树峰,杨世海,等.大功率光伏逆变器输出滤波电抗器有功损耗测量 [J].沈阳工业大学学报,2019,41(3):241-245.
(XU Min-rui,LU Shu-feng,YANG Shi-hai,et al.Active power loss measurement of output filtering reactor of large power photovoltaic inverter [J].Journal of Shenyang University of Technology,2019,41(3):241-245.)
[14]王东文,孙万亭.基于自适应FIR滤波算法的永磁同步电机电流控制研究 [J].电子设计工程,2017,25(7):53-56.
(WANG Dong-wen,SUN Wan-ting.Research on current control of permanent magnent synchronous motor based on adaptive FIR filtering algorithm [J].Electronic Design Engineering,2017,25(7):53-56.)
[15]孙江山,刘敏,邓磊,等.基于自适应无迹卡尔曼滤波的配电网状态估计 [J].电力系统保护与控制,2018,46(11):1-7.
(SUN Jiang-shan,LIU Min,DENG Lei,et al.State estimation of distribution network based on AUKF [J].Power System Protection and Control,2018,46(11):1-7.)
[16]赵彤,梁家碧,夏天翔,等.基于LMS自适应滤波算法的电力变压器有源降噪系统 [J].高电压技术,2016,42(7):2299-2307.
(ZHAO Tong,LIANG Jia-bi,XIA Tian-xiang,et al.Active noise control system based on LMS adaptive filter algorithm for transformer power noise reduction [J].High Voltage Engineering,2016,42(7):2299-2307.)
[17]李登科,杨文焕,侯甜甜,等.基于电流无差拍控制的级联型SVG研究 [J].电子科技,2016,29(8):17-20.
(LI Deng-ke,YANG Wen-huan,HOU Tian-tian,et al.Cascaded static var generator based on current deadbeat control [J].Electronic Science and Techno-logy,2016,29(8):17-20.)
[18]刘建华,周万鹏,赵世杰.有源电力滤波器自适应谐波检测新算法 [J].电力系统及其自动化学报,2016,28(9):112-116.
(LIU Jian-hua,ZHOU Wan-peng,ZHAO Shi-jie.New adaptive harmonic detection algorithm of active power filter [J].Proceedings of the CSU-EPSA,2016,28(9):112-116.)