机械工程

基于LF1352森林运载车的履带板仿生设计及通过性

刘九庆a, 李新源a, 孙术发b

(东北林业大学 a. 机电工程学院, b. 工程技术学院, 哈尔滨 150040)

摘 要: 针对履带车辆在积雪路面的牵引力较差的问题,提出了将北极熊熊爪作为仿生对象,设计出具有较好通过性的仿生履带板.通过理论分析和有限元分析对履带板的牵引力进行计算,建立了履带板积雪路面的力学模型.对不同形式的履带板在积雪路面上的通过性进行分析,并对履带板设计进行了优化.结果表明,影响履带板在积雪路面通过性的主要因素是履刺高度和履带节距,其他因素对履带板的通过性影响较小.

关 键 词: 履带板; 结构设计; 有限元分析; 车辆通过性; 积雪路面; 仿生设计; 北极熊熊爪; 牵引性能

东北地区是我国最大的天然林区所在地,小兴安岭针阔混交林是东北地区主要的森林植被,具有树种丰富、空间结构复杂、分布面积广阔等优点[1].东北地区是我国重要的木材资源战略储存基地[2],所以林区车辆的应用需求十分巨大.林区土地条件十分复杂,又因为东北地区的天气状况,其中不乏泥地、雪地等复杂路面.在东北,冬季约占全年的二分之一,所以对适用于积雪路面的车辆需求很大.我国林区运载车主要分为轮式和履带式两种.轮式车辆主要适用于条件较好的道路,对于复杂路面的通过性较差.履带式车辆相较于轮式车辆具有更好的通过性[3].仿生学被广泛应用于机械设计中,周祖鹏等[4]对鳄鱼的上颚形貌曲面进行研究用于工程设计;Zhang等[5]针对鸵鸟的足底非规则曲面形貌设计了仿生火星巡视器车轮;李亚龙等[6]通过对猫爪进行仿生设计了轮胎花纹等.现在多数履带板都是针对矿山、沙地、泥地等路面来设计的[6],对于积雪路面来说并不合适.过去的研究主要针对履带车辆的坡地通过性[7]及转向特性[8-9].科研人员对履带板形状进行了优化[10],但是针对履刺形状设计的研究较少,而对于履带车辆在软地面行驶时的牵引力研究又仅仅局限于沙壤土、砂石土、砂土等路面.科研人员对于积雪路面车辆的牵引力在通常情况下用经验公式进行估算,对于实际情况来说存在一定误差.本文利用有限元软件对北极熊熊爪进行仿生设计,建立履带板积雪路面的力学模型.通过对履带板的不同参数进行有限元模拟,探究履带板不同参数对通过性的影响,从而对履带板进行优化.

1 仿北极熊熊爪结构的履带设计

1.1 履带板形状设计

自然界很多动物都拥有在复杂道路上行走的能力,这得益于它们特殊的足部结构[11].北极熊是一种生活在北极的世界最大食肉动物之一.北极熊拥有在冰雪路面上快速奔跑的能力,这也源于它们特殊的足部结构.北极熊的熊掌宽超过25 cm,爪子长度可达10 cm.当北极熊在冰雪路面上行走时,尖锐的脚趾会插入坚硬的积雪中,积雪在挤压区域内聚集,有利于增大北极熊脚掌的牵引力,北极熊脚印如图1所示.

图1 北极熊脚印图
Fig.1 Image of polar bear footprint

通过对北极熊的熊爪进行研究,对履带板形态进行仿生设计,履带板花纹的三角形区域和两侧的啮合部分相当于北极熊熊爪的脚趾区域,使履带板轻易地扎入积雪来增大附着力.履刺中间的四边形空腔相当于北极熊的脚掌挤压部分,这种履带板在运动过程中可以限制积雪的流动,减少积雪流失,增大履带车辆在积雪路面的通过性.履带板通过销轴进行链接,履刺花纹如图2所示.

图2 履刺花纹
Fig.2 Track grouser pattern

履带板节距计算公式为

(1)

式中,m为履带车的质量.履带板宽度为

B=(0.2~0.4)L

(2)

式中,L为履带板整体长度.

1.2 履带板驱动轮啮合部位设计

将履带板和驱动轮啮合部分设计在履带板的两侧,履带车在行进过程中,驱动轮可以限制履带板的水平自由度.啮合部分的高度过大会对车体产生影响,因此啮合部位的高度等同于履刺的深度,以增大履带板受到的剪切力.履带板啮合部分尺寸如图3所示(单位:mm).

图3 挤压区域及整体尺寸简化示意图
Fig.3 Simplified schematic diagram of extrusion area and overall size

2 力学计算

履带车辆在行驶过程中,履带板受到重力的作用发生下陷,履刺完全扎入积雪中,并发生水平方向位移.履带车辆在行驶过程中的牵引能力主要由履带板受到的牵引力决定,牵引力和土壤剪切力是一对相互作用力.通过研究履带车辆在行驶过程中受到的土壤剪切力可以得出履带车辆的通过性,积雪通常情况下被认为是一种特殊的土壤.履带车辆受到的土壤剪切力一方面取决于车辆的设计参数,另一方面取决于土壤的力学性能.由于不同土壤的力学性能差异较大,所以需要设计适用于积雪路面的履带板机构.由文献[12]及[13]可知,履带板在行驶过程中所受到的水平方向剪切力主要分为4个部分,分别为作用于履带板上的力F1,作用于履刺底部的力F2,作用于履刺和啮合部位上的力F3,作用于履带板侧面的力F4.履带板的受力如图4所示,履带板履刺结构参数如图5所示.

图4 履带板受力分析
Fig.4 Force analysis of track shoes

图5 履刺结构参数
Fig.5 Track grouser structure parameters

由Bekker沉积公式可知

(3)

式中:p为法向应力;kc为土壤粘聚变形模量;kφ为土壤内摩擦变形模量;z为土壤压缩变形量;n为土壤变形指数.当履带车辆在路面上行驶时,可以把Bekker沉积公式简化为

p=Kzn

(4)

K可由式(5)推出,即

W=KznS1+Kz+hnS2

(5)

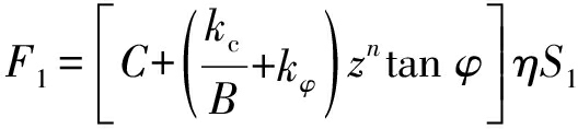
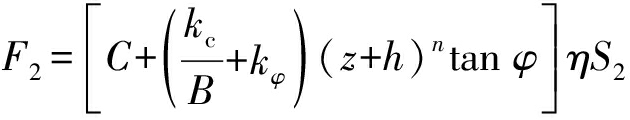
式中:S1为履带板底部的面积;S2为履刺底部的面积.作用于履带板底部和履刺底部的水平剪切力F1F2计算公式为

(6)

(7)

式中:C为土壤粘聚力;φ为土壤内摩擦角;η为履带板剪切速度系数,假设取1.

当履带板运动时,履刺受到车辆的重力作用完全压入土里.车辆的垂直载荷由履刺和履带板共同承担.

当车辆行驶时,作用在履刺上的法向压力主要分为两个部分,一部分是由土的自重引起的法向压力,另一部分是由粘聚力C所导致的土压力.土压力随着深度的变化不断增加,作用在履刺上的土压力如图6所示.

图6 均布载荷作用下土壤破坏模型
Fig.6 Soil failure model under uniform load

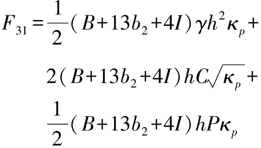
考虑到履带板有一定的接地压力,使得土壤具有一定的均布载荷.土壤作用在履刺上的水平推力为

(8)

式中:γ为土壤容重;κp为被动土压力系数;P为均布载荷;I为啮合区域长度.

土壤对倒三角倾斜部分的额外推力为

F32=chb3tan α

(9)

式中,α为履刺的拔摸角度.则作用在履带板上的水平推力F3

F3=F31+14F32

(10)

作用在履刺和履带板两侧的力F4可以通过弹性力学理论进行计算,即

(11)

因此,履带板在行驶过程中所受到的合力为

FH=F1+F2+F3+F4

(12)

以LF1352森林运载车为例,表1为履带板结构参数和土壤力学性能表.

3 积雪和履带板的仿真实验分析

当履带板受到垂直载荷时,积雪处于弹性阶段,考虑到本文中的履带车辆载荷为26 kPa,雪的变形分为两个区域:第一个区域为弹性区域,随着压力逐渐接近雪的粘聚力,积雪发生弹性形变,该区域通常来说比较小;第二个区域为材料塑性变形区,如果雪有足够的深度,接地压力会一直传递到雪的底部.在计算过程中,积雪被假设为连续体,把积雪视为一种固体材料.为了研究履带板在雪的剪切过程中受到的剪切力,运用有限元软件建立积雪弹塑性本构模型.

表1 履带板结构参数和土壤力学性能
Tab.1 Structure parameters of track shoes and mechanical properties of soil

参数名称参数值履带板厚度d/mm10履带板节距l/mm155履刺参数b1/mm90履刺参数b2/mm10履刺参数b3/mm15履刺参数b4/mm153+10履刺参数c/mm153-10啮合区域长度I/mm25拔摸角度α/(°)60车辆质量/kg8000履带板宽度B/mm570粘聚力C/kPa17雪泊松比0.3弹性模量/MPa13摩擦角/(°)14Rankine被动土压力系数1.28雪密度/(kg·m-3)400雪重度/(N·m-3)4000均布载荷/kPa26履带总长度L/mm2700

3.1 单条履带板仿真分析

在仿真过程中将履带板的运动简化为沉陷和水平剪切两个部分.当履带板运动时,在履带板顶部添加载荷来模拟接地比压,再给履带板施加一个沿Y轴正方向的水平位移来模拟履带板的水平剪切运动.由于履带板在雪中运动是一个非线性、大位移的过程,可通过动态显式分析方法对其进行分析.动态显式方法通过在分析过程中不断重新划分网格来求解,可以不断改变网格质量,有效解决分析过程中的网格畸变问题.考虑到履带板的材料属性为钢,在运动过程中基本不变形,为了减少计算时间,将履带板设置为刚体,并对履带板与雪模型接触的部分进行网格加密以保证计算数值的准确性.履带板运动分析过程中将履带板模型简化为宽度为570 mm、履带板节距为155 mm、履刺高度为30 mm、拔模角度为60°的履带板,如图7所示.

图7 履带板模型
Fig.7 Track shoes model

将雪的三维模型简化为弹性模型和Mohr-Coulomb塑性模型.雪模型的面积超过履带板两倍尺寸外的部分基本没有变形,因此积雪模型尺寸为长1 500 mm、宽1 500 mm、高500 mm,相关参数见表1.将履带板放置在雪模型上,限制雪四周的自由度,在第一个分析步给履带板添加接地比压让履带沉陷,在第二个分析步给履带添加Y轴正方向50 mm位移,让履带板在积雪模型上水平剪切,加密模型如图8所示.

图8 仿真实验网格图
Fig.8 Simulation experiment meshing

输出变量是履带板在运动过程中所受到的水平方向反作用力之和,即履带板受到的剪切力.在仿真结束时,履带板前方的积雪不断堆积在一起,正下方形成一个空腔,如图9所示,与实际情况基本一致.

图9 积雪受力图
Fig.9 Force diagram of snow

为了计算车辆在积雪路面上行驶的牵引力,选用压实积雪的力学性能参数,计算出单块履带板受到的剪切力计算值约为3 600 N.

为了验证有限元分析的可靠性,将仿真结果与公式计算结果进行对比分析,结果如图10所示.履带板受到的剪切力在较小位移时快速上升到达顶点,仿真剪切力要稍小于计算剪切力,可以认定仿真有效.

图10 仿真数值与计算结果对比
Fig.10 Comparison between simulation values and calculation results

3.2 多条履带板仿真分析

为了研究履带板受到的剪切力与履带板花纹数量的关系,对不同数量履带板进行仿真分析.选用履刺高度为30 mm、履带板节距为155 mm、拔模角度为60°的履带板数据,实验输出结果为履带板受到的全部反力.以两块履带板为例,结构如图11所示.

图11 双排履带板
Fig.11 Double row track shoes

将多排履带板的数据进行整理,结果如图12所示.

图12 履带板数量剪切力折线图
Fig.12 Number of track shoes-shear force line chart

由图12可知,随着履带板数量的增加,剪切力也随之增加,增幅约为60%.因此整车的受力为

F

(13)

4 履带板优化设计

4.1 履刺花纹挤压区域面积对剪切力的影响

履带板的设计参数对剪切力有很大影响,为了探究挤压区域面积对履带板剪切力的影响,选用履刺高度为30 mm、履刺节距为155 mm、履刺角度为60°的无啮合区域履带板模型.图13为单因素试验结果.由于增加履带板水平距离会令挤压区域变形,失去挤压能力,因此选择增加成对履带花纹之间的纵向距离来增大挤压区域.履刺角度β

β=π-2α

(14)

图13 单因素实验结果
Fig.13 Single factor test results

由图13可知,当履带花纹的垂直距离增加时,履带板受到的剪切力的变化幅度很小,挤压区域的面积大小对履带板受到的剪切力影响较小.

4.2 履带板节距、履刺高度、履刺角度对履带板剪切力的影响

为了研究不同履带板设计参数对于履带在积雪路面时受到的剪切力的影响,考察的因素有履带板的履刺高度、履带板节距、履刺角度,将剪切力作为考察指标.本实验采用Box-Behnken进行分析,将考察因素作为自变量,将剪切力作为响应值.确定的因素水平如表2~3所示.

表2 Box-Behnken实验因素水平
Tab.2 Box-Behnken test factor levels

等级h/mml/mmβ/(°)水平12014530水平23015560水平34016590

对实验进行方差分析,结果如表4所示.由方差分析可知,履刺高度、节距对剪切力的影响最为显著,履带板的拔模角度对履带板的剪切力影响较小.图14为Box-Behnken实验响应图.将显著性因素作为自变量,剪切力作为响应值,随着履刺节距和履刺高度的增加,履带的剪切力也不断增加,履带板受到的剪切力与履刺高度、履带板节距呈正相关.

表3 Box-Behnken实验结果
Tab.3 Box-Behnken test results

实验序号h/mml/mmβ/(°)FH/N130145303563220155903364330145903524440155903986540165604130640145603843720155303474830155603680920165603538实验序号h/mml/mmβ/(°)FH/N10301653037691120145603337123016590366613301556036211430155603627153015560361816401553040481730155603666

表4 Box-Behnken实验方差分析
Tab.4 Box-Behnken test variance analysis

来源平方和自由度均方根F-valueP-value显著性Model7.575×10532.525×10589.80<0.0001显著履刺高度6.578×10516.578×105233.94<0.0001显著履带板节距87362.00187362.0031.07<0.0001显著拔模角度12324.50112324.504.380.0565残差36554.06132811.85失拟项33292.8693699.214.540.0796不显著纯误差3261.204815.30总离差7.940×10516

图14 Box-Behnken实验响应
Fig.14 Box-Behnken test response

4.3 履带板设计参数优化

考虑到履带板尺寸参数的增大会造成车辆行驶噪音大、动载冲击强、转向困难等问题,对履带板的设计参数进行优化,优化目标为在符合通过性的前提下尽量减小履带板的尺寸参数.优化对象参数选择履带板节距和履刺高度,约束条件选择LF1352森林运载车在林区的爬坡能力.履带板节距的最小值为145 mm,履刺高度的最小值为0 mm.

优化的目标函数为履带板体积的最小值,即

(15)

约束条件为:

1) LF1352森林运载车能通过45°的坡面角度,约束函数为

Wξ+sin 45°)≤2F

(16)

式中,ξ为履带板的阻力系数,本文取0.2.

2) 本文中垂直于履刺剪切面的力的计算公式基于Rankine被动土压力理论,即

(17)

优化结果如表5所示.

表5 优化结果
Tab.5 Optimization results

h/mml/mm23.6926145.0000

5 结 论

本文通过仿生学理论和车辆地面力学理论设计了适用于冬季积雪路面的履带板,通过对履带板在积雪路面的运动理论进行仿真研究,建立了履带板积雪路面的力学模型.分析了履带板参数对积雪路面通过性的影响,并对设计的履带板进行了优化,得出以下结论:

1) 通过有限元软件来模拟履带车辆行驶过程,得出履带车辆受到的剪切力.仿真结果与计算结果具有较好的一致性,说明建立的积雪路面履带板的理论模型、有限元仿真模型基本正确,能够预测履带板在积雪路面上的通过性.

2) 通过研究履带板因素对剪切力的影响,得出履刺高度和履带板节距对剪切力的影响较为显著,并呈正相关.剪切力随着履带板节距、履刺高度的增加而增大.拔模角度、挤压区域面积对剪切力影响较小.

3) 得出了履带车辆在积雪路面上整条履带板与单一履带板的受力关系,推导出了整条履带板的剪切力计算公式,并对履带板的结构尺寸进行了优化.

参考文献(References):

[1]崔崧,肖锐,王文帆,等.小兴安岭针阔混交林碳汇结构特征的研究 [J].森林工程,2020,36(6):30-35.

(CUI Song,XIAO Rui,WANG Wen-fan,et al.The study on the structural characteristics of the mixed-wood carbon sink in Xiaoxinganling area [J].Forest Engineering,2020,36(6):30-35.)

[2]魏志刚,夏德安,王瑞琪,等.小兴安岭带岭地区不同类型次生林下红松种源试验研究 [J].森林工程,2021,37(3):1-11.

(WEI Zhi-gang,XIA De-an,WANG Rui-qi,et al.Study on the provenance test of pinus koraiensis under different natural secondary forests in dailing area of Xiaoxinganling mountains [J].Forest Engineering,2021,37(3):1-11.)

[3]孙术发,任春龙,李涛,等.基于履带式底盘的改进型森林消防车通过性 [J].农业工程学报,2018,34(17):61-67.

(SUN Shu-fa,REN Chun-long,LI Tao,et al.Trafficability analysis of improved forest fire engine based on crawler chassis [J].Transactions of the Chinese Society of Agricultural Engineering,2018,34(17):61-67.)

[4]周祖鹏,裴雨蒙,Josep Fortuny,等.鳄鱼上颚的形貌曲面拟合及其偏差分析 [J].沈阳工业大学学报,2021,43(4):444-449.

(ZHOU Zu-peng,PEI Yu-meng,Josep Fortuny,et al.Surface fitting and deviation analysis of upper jaw morphology of crocodile [J].Journal of Shenyang University of Technology,2021,43(4):444-449.)

[5]Zhang R,Pang H,Ji Q L,et al.Structure design and traction trafficability analysis of multi-posture wheel-legs bionic walking wheels for sand terrain [J].Journal of Terramechanics,2020,91:31-43.

[6]李亚龙,刘从臻,苑阳,等.仿猫爪趾枕摩托车轮胎胎冠设计 [J].机械科学与技术,2020,39(10):1505-1510.

(LI Ya-long,LIU Cong-zhen,YUAN Yang,et al.Cat-paw pad bionic design of motorcycle tire crown [J].Mechanical Science and Technology for Aerospace Engineering,2020,39(10):1505-1510.)

[7]干霖杰,黄青青,陈劭.鸵鸟足型沙地履带板设计及牵引性能研究 [J].机械科学与技术,2022,41(5):673-680.

(GAN Lin-jie,HUANG Qing-qing,CHEN Shao.Study on design and traction performance of ostrich-foot sandy track shoe [J].Mechanical Science and Technology for Aerospace Engineering,2022,41(5):673-680.)

[8]刘妤,谢铌,张拓,等.履带车辆软坡地面力学建模及行驶性能分析 [J].机械设计,2021,38(3):110-118.

(LIU Yu,XIE Ni,ZHANG Tuo,et al.Ground mechanic modeling and analysis on driving performance of tracked vehicles on the soft slope road [J].Journal of Machine Design,2021,38(3):110-118.)

[9]张宇,刘西侠,李军,等.松软地面下履带车辆斜坡转向特性 [J].科学技术与工程,2021,21(3):1011-1016.

(ZHANG Yu,LIU Xi-xia,LI Jun,et al.Rampsteering characteristics of tracked vehicles on soft terrain [J].Science Technology and Engineering,2021,21(3):1011-1016.)

[10]杨聪彬.高速履带与软地面附着特性与优化研究 [D].北京:北京理工大学,2015.

(YANG Cong-bin.Research on the adhesion property of high-speed track on soft ground and optimization of track shoe [D].Beijing:Beijing Institute of Technology,2015.)

[11]刘彦伟,刘三娃,梅涛,等.一种仿生爪刺式履带爬壁机器人设计与分析 [J].机器人,2019,41(4):526-533.

(LIU Yan-wei,LIU San-wa,MEI Tao,et al.Design and analysis of a bio-inspired tracked wall-climbing robot with spines [J].Robot,2019,41(4):526-533.)

[12]杨聪彬,董明明,顾亮,等.考虑履刺形状的履带板土壤推力研究 [J].北京理工大学学报,2015,35(11):1118-1121.

(YANG Cong-bin,DONG Ming-ming,GU Liang,et al.Research on soil shear strength considering the shape of grouser [J].Transactions of Beijing Institute of Technology,2015,35(11):1118-1121.)

[13]Li J Z,Liu S J,Dai Y.Effect of grouser height on tractive performance of tracked mining vehicle [J].Journal of the Brazilian Society of Mechanical Sciences and Engineering,2017,39(7):2459-2466.

Bionic design and passability of track shoes based on LF1352 forest carrier

LIU Jiu-qinga, LI Xin-yuana, SUN Shu-fab

(a. College of Mechanical and Electrical Engineering, b. College of Engineering & Technology, Northeast Forestry University, Harbin 150040, China)

Abstract Aiming at the problem of poor traction with tracked vehicles on snow-covered roads, polar bear claws were used as bionic object, and the bionic track shoes with better passability was designed. The traction force of track shoes was calculated by theoretical analysis and finite element analysis, and the mechanical model for track shoes and snow-covered roads was established. The finite element analysis was carried out for the passability of different track shoes on snow-covered roads, and the design of track shoes was optimized. The results show that the main factors affecting the passability of track shoes on the snow-covered roads are track grouser height and track shoe length, while other factors have smaller impact on the passability of track shoes.

Key words track shoe; structural design; finite element analysis; vehicle passability; snow-covered road; bionic design; polar bear claw; traction performance

中图分类号: TH 122

文献标志码: A

文章编号: 1000-1646(2022)06-0654-07

收稿日期 2022-06-13.

基金项目 黑龙江省自然科学基金项目(TD2020C001).

作者简介 刘九庆(1971-),男,辽宁建昌人,教授,博士生导师,主要从事林业智能装备、机械检测等方面的研究.

doi:10.7688/j.issn.1000-1646.2022.06.10

(责任编辑:钟 媛 英文审校:尹淑英)