由于路面不平导致车辆在行驶过程中,车辆悬架系统会发生连续的振动,传统的被动悬架通过阻尼器将振动机械能转换成热能耗散,造成了振动能量的浪费,如何收获车辆悬架系统耗散的能量已成为能源收获领域的一个热门话题.目前馈能悬架的研究成果主要包括:电磁式馈能悬架[1-2]、电液式馈能悬架[3-4]和机械式馈能悬架[5-6].电磁式馈能悬架占用了部分底盘空间,增加了成本;电液式馈能悬架需要额外安装液压回路,这将增加整车质量且占用底盘空间,维修困难;机械式悬架结构复杂、易磨损,降低了车辆的行驶安全性.馈能悬架还能提供主动力以提高悬架的乘坐舒适性和操作稳定性[7-8].因此,一种高集成化、高安全性和低成本的新型磁力悬架被提出来[9],该悬架不仅可以收集悬架系统的振动能量并将其转化为可利用的电能,而且可以提供主动力以提高车辆的动力学性能.此外,其他研究还通过车辆制动收集能量[10]、通过设计充电线圈提高充电效率[11]及整车能量管理控制策略[12],达到了提高能源利用率的目的.
馈能悬架主要是为车载设备提供电能,减轻车载电源的负担,因此需要分析悬架系统参数对馈能特性的影响.Hou等[13]对弹簧、质量、电磁电机和齿轮齿条组成的能量采集背包进行了多参数理论分析,以提高其馈能性能;Xie等[14]通过调节能量收集器中弹簧的刚度,匹配各种外部条件,提高能量收集效率,降低系统的加速负荷;Wang等[15]提出了一种基于可调磁弹簧的电磁能量采集器,在不同运动速度下进行了试验;Tai等[16]进行了包含归一化激励频率和电阻尼比的双变量优化分析,得出了精确优化条件,确定了最优的激励频率和电阻负载.根据上述的研究可以发现,悬架系统的质量、阻尼、刚度等对馈能悬架的输出电能有一定的影响,不合理的悬架系统参数会造成馈能悬架的馈能效果降低.为了提高磁力悬架系统的馈能效果,本文研究了悬架系统参数对输出电压的影响,并且通过实验验证了馈能特性的数值分析结果.
安装有磁力悬架的1/4悬架系统如图1所示.磁力悬架将车体连接到车轮上,承担着车身与车轮之间的力和力矩.磁力悬架具有被动悬架的特点,能够缓冲路面带来的冲击力,减少车身的振动,又具有馈能悬架的优点,可以收集悬架系统的振动能量,将振动的机械能转换成为可利用的电能,并且通过电路系统实现对车载电子设备的供电.
磁力悬架将传统被动悬架与能量收集器整合到一起,两者并联安装.磁力悬架主要由弹簧、阻尼器和能量收集器组成,其中能量收集器的结构主要由两部分组成:定子部分和动子部分,定子的作用是为能量收集器提供磁场;动子是能量收集器的电能输出.定子被安装在下端盖,动子被安装在上端盖,弹簧与阻尼器的两端分别固定在上端盖和下端盖.
图1 磁力悬架的结构
Fig.1 Structure of magnetic suspension
车辆在行驶过程中,路面产生的冲击力首先通过轮胎抑制了部分振动的能量,剩余的振动能量会引起车辆簧载与非簧载之间产生相对运动.运动线圈始终处于定子产生的磁场中,使磁力悬架将振动的机械能转化为可利用的电能,收集的电能通过整流滤波电路为车载电子设备提供连续的电力.此外,该磁力悬架系统还保留了被动悬架的结构,可以保证能量收集器在不工作时,悬架也可以实现正常工作,降低了能量收集器故障对车辆行驶安全性的影响.
根据图1磁力悬架的结构,装有磁力悬架的1/4车示意图如图2所示.1/4车系统模型主要由悬架系统刚度弹簧、悬架系统阻尼、轮胎刚度弹簧和能量收集器组成.其中,ks为悬架刚度系数,c为悬架阻尼系数,kw为轮胎刚度系数,ms为车辆簧载质量,mu为车辆非簧载质量.
图2 装有磁力悬架的1/4车示意图
Fig.2 Schematic diagram of quarter-vehicle with magnetic suspension
根据图2的磁力悬架系统示意图,在周期激励下建立二自由度悬架系统的动力学模型为

(1)
式中:Lcoil为能量收集器中线圈的电感;Rcoil为能量收集器中线圈的电阻;Rload为外接设备的负载电阻;ka为磁力悬架的机电耦合系数;i为线圈中的电流;xl、xu、xs为系统输入的位移.
为了研究影响磁力悬架馈能特性的因素,应用拉普拉斯变换,将一个有参数实数t的式(1)转换成为一个参数为复数s的函数,即

(2)
式中,R=Rcoil+Rload为磁力悬架的总电阻.线圈中电流I(s)和系统输入位移Xl(s)之间的函数关系为
(3)
式中:![]()
将s=jω代入到式(3)中,可以得到磁力悬架动子线圈中电流的幅频特性为
(4)
当悬架系统输入为周期激励时,悬架系统的振动频率与周期激励频率相同.此时,磁力悬架中线圈的瞬时电流I可以表示为
I(t)=Ai(ω)xl(t)=Ai(ω)asin(ωt+φ)
(5)
因此,磁力悬架输出瞬时电压可表示为
Uoutput(t)=I(t)Rload=Ai(ω)asin(ωt+φ)Rload
(6)
根据上述所建立的磁力悬架系统数学模型可知,悬架系统参数(簧载质量、悬架刚度、轮胎刚度)将影响着馈能悬架的输出电压.因此,本节将对磁力悬架系统参数对馈能特性的影响进行分析,并采用表1所示的磁力悬架系统参数进行数值计算.仿真时记录外接负载电阻阻值为Rload=10 MΩ,频率为6 Hz、幅值为4 mm的正弦激励下的输出电压.
表1 磁力馈能系统的参数
Tab.1 Parameters of magnetic energy harvesting system
簧载质量ms/kg非簧载质量mu/kg悬架刚度系数ks/(N·m-1)轮胎刚度系数kw/(N·m-1)线圈电阻Rcoil/Ω2.70.71731485217.6
保持悬架非簧载质量、弹簧刚度和轮胎刚度不变,研究簧载质量ms在1~4 kg范围内磁力悬架的馈能特性.按照表1所示的悬架参数得到不同簧载质量下输出电压如图3所示.当簧载质量在1~2.7 kg范围时,随着簧载质量的增加,磁力悬架输出的电压随之增加;当簧载质量大于2.7 kg时,悬架输出电压随之减小.当簧载质量约为2.7 kg时,骨架内3个槽口中的线圈径向中心与软铁环的中心线重合,磁场利用率最佳,馈能悬架的峰值输出电压最大.
保持悬架簧载质量、非簧载质量和轮胎刚度不变,研究悬架刚度ks在1 000~3 000 N/m范围内磁力悬架的馈能特性.不同悬架刚度下输出电压如图4所示,悬架峰值输出电压与悬架刚度并非线性变化,峰值输出电压随悬架刚度的增加而降低.因为悬架刚度的降低使悬架动子线圈在单位时间内的行程提高,从而加快了悬架动子线圈的相对运动速度,馈能悬架的输出电压随之提高,并且当悬架刚度约为1 700 N/m时,峰值输出电压急剧下降.
图3 簧载质量与峰值输出电压关系
Fig.3 Relationship between sprung mass and peak output voltage
保持悬架簧载质量、非簧载质量和悬架刚度不变,研究轮胎刚度kw在3 000~5 000 N/m范围内磁力悬架的馈能特性.不同悬架刚度下的输出电压如图5所示,峰值输出电压随轮胎刚度的增大而提高.较大轮胎刚度的减缓振动能力较小,从路面传递给轮胎和车身的振动也增大,所以回收能量增多.因此在满足其他条件相同时,选用刚度较大的轮胎可以有效地改善磁力悬架的馈能特性.
图4 悬架刚度与峰值输出电压关系
Fig.4 Relationship between suspension stiffness and peak output voltage
图5 轮胎刚度与峰值输出电压关系
Fig.5 Relationship between tire stiffness and peak output voltage
本文搭建的带有磁力悬架的1/4车馈能实验平台如图6所示.使用PC对电控柜中伺服电机的控制器进行编译,控制伺服电机的运动,向悬架系统提供激励输入.使用dSPACE对原样机的位移传感器信号进行采集,dSPACE采集的实验数据通过ControlDesk软件保存到PC机上,使用示波器采集磁力悬架的输出电压信号.
保持f=6 Hz,a=4 mm的正弦路面激励,不同簧载质量的磁力悬架输出电压的实验与仿真对比如图7所示.由图7可知,当簧载质量为2.7 kg时,馈能装置的输出电压峰值可以达到15 V,而簧载质量为2.0 kg时,馈能装置的输出电压峰值为13 V.当线圈的径向中心位置与聚磁环的中线位置处于同一水平高度时,馈能装置的输出电压最大.此外,仿真分析的结果均略大于实验结果,簧载质量2.0、2.3和2.7 kg下的输出电压峰值误差分别为12.92%、16.01%和16.56%.随着簧载质量增加,磁力悬架系统的输出电压增大.
图6 磁力悬架实验台
Fig.6 Experimental setup of the magnetic suspension
图7 不同簧载质量下磁力悬架的输出电压
Fig.7 Output voltage of magnetic suspension under variable sprung mass
不同悬架刚度的磁力悬架输出电压的实验与仿真对比如图8所示.悬架刚度越大,拥有较强抵抗弹性变形的能力,悬架的相对位移减小;悬架刚度越小,悬架的相对位移增大,回收更多电动势,最大达到16 V,因此,较小的悬架弹簧刚度可以增大馈能系统的输出电压.此外,由图8可知,输出电压的仿真分析与实验结果近乎相似,悬架刚度1 731 N/m和2 744 N/m下的输出电压峰值误差分别为16.99%和13.05%,且输出电压随着悬架刚度的增加而减小.
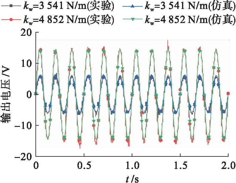
不同轮胎刚度的磁力悬架输出电压的实验与仿真对比如图9所示.由图9可知,当轮胎刚度较小时,抵抗路面激励带来振动冲击的能力较弱,能够减缓路面激励传递给车身的振动,使馈能系统的悬架动行程降低,进而导致馈能装置的输出电压减小.当轮胎刚度为4 852 N/m时,馈能装置的输出电压的峰值可以达到15 V,而轮胎刚度为3 541 N/m时,馈能装置的输出电压的峰值仅为5 V.此外,轮胎刚度3 541 N/m和4 582 N/m下的输出电压峰值误差分别为9.76%和18.64%,并且随着轮胎刚度的增加,输出电压也随之增加.
图8 不同悬架刚度下磁力悬架的输出电压
Fig.8 Output voltage of magnetic suspension under variable suspension stiffness
图9 不同轮胎刚度下磁力悬架的输出电压
Fig.9 Output voltage of magnetic suspension under variable tire stiffness
根据以上实验与仿真的对比结果可知,仿真结果与实验结果的变化趋势相同的,并且仿真与实验之间的最大和最小误差分别为18.64%和9.76%,在误差允许范围之内,实验结果可以验证数学模型的准确性.
本文研究了在周期输入激励下簧载质量、悬架刚度和轮胎刚度对磁力悬架馈能特性的影响,分析了系统参数的变化与磁力悬架输出电压之间的关系.基于仿真和实验结果可得:
1) 随着簧载质量的增加,磁力悬架馈能效果先增强再减弱.为了使磁力悬架系统的馈能效果最好,应选取较小的悬架刚度和较大的轮胎刚度,且在轮胎刚度在3 541 N/m及4 582 N/m时,磁力悬架输出最大电压分别为5 V及15 V.
2) 磁力悬架输出电压的变化趋势是相同的,簧载质量、悬架刚度和轮胎刚度的输出电压峰值最小误差分别为12.92%、13.05%和9.76%,可以证明馈能数学模型的准确性.
本文对磁力悬架馈能特性的研究结果可以为实车设计提供一定的研究基础,在未来的工作中,磁力悬架动力学特性的研究将是下一步的研究重点.
[1]张宇翔,陈仁文,任龙,等.复合式电磁馈能悬架阻尼器的设计与测试 [J].仪器仪表学报,2019,40(2):132-139.
(ZHANG Yu-xiang,CHEN Ren-wen,REN Long,et al.Design and test of hybrid electromagnetic rege-nerative suspension damper [J].Chinese Journal of Scientific Instrument,2019,40(2):132-139.)
[2]寇发荣,方涛,陈晨,等.车辆电磁复合馈能悬架控制与馈能研究 [J].中国科技论文,2018,13(16):1847-1853.
(KOU Fa-rong,FANG Tao,CHEN Chen,et al.Research on the control and energy recovery of vehicle energy-regenerative suspension with electro-magnetic hybrid actuator [J].China Sciencepaper,2018,13(16):1847-1853.)
[3]Guo S J,Xu L,Liu Y L,et al.Modeling and experi-ments of a hydraulic electromagnetic energy-harvesting shock absorber [J].IEEE/ASME Transactions on Mechatronics,2017,22(6):2684-2694.
[4]陈龙,张承龙,汪若尘,等.液压互联式馈能悬架建模与优化设计 [J].农业机械学报,2017,48(1):303-308.
(CHEN Long,ZHANG Cheng-long,WANG Ruo-chen,et al.Modeling and optimization design of hydraulically interconnected energy-regenerative suspension [J].Transactions of the Chinese Society for Agricultural Machinery,2017,48(1):303-308.)
[5]Zhang Z T,Zhang X T,Chen W W,et al.A high-efficiency energy regenerative shock absorber using supercapacitors for renewable energy applications in range extended electric vehicle [J].Applied Energy,2016,178:177-188.
[6]Dong X M.Design and characterization of axial flux permanent magnet energy harvester for vehicle magnetorheological damper [J].Smart Materials and Structures,2016,25(1):15-24.
[7]丁惜瀛,王春强,李琳.基于对角递归神经网络的汽车主动悬架控制 [J].沈阳工业大学学报,2015,37(1):6-10.
(DING Xi-ying,WANG Chun-qiang,LI Lin.Vehicle active suspension control based on diagonal recurrent neural network [J].Journal of Shenyang University of Technology,2015,37(1):6-10.)
[8]陈长征,贺东宇,左秋阳,等.汽车半主动悬架神经模糊融合网络控制 [J].沈阳工业大学学报,2014,36(2):170-175.
(CHEN Chang-zheng,HE Dong-yu,ZUO Qiu-yang,et al.Neural-fuzzy fusion network control of vehicle semi-active suspension [J].Journal of Shenyang University of Technology,2014,36(2):170-175.)
[9]Zhou R,Sun F,Yan M Y,et al.Design,analysis and prototyping of a magnetic energy-harvesting suspension for vehicles [J].Smart Materials and Structures,2020,29(10):25-34.
[10]王虎.基于制动强度的能量回收控制方法 [J].沈阳工业大学学报,2020,42(4):417-422.
(WANG Hu.Energy recovery control method based on braking strength [J].Journal of Shenyang University of Technology,2020,42(4):417-422.)
[11]谭菊华,李晓芳,郭小春.磁耦合谐振式电动汽车无线充电线圈设计与优化分析 [J].沈阳工业大学学报,2020,42(1):84-89.
(TAN Ju-hua,LI Xiao-fang,GUO Xiao-chun.Design and optimization analysis on wireless charging coils of magnetic coupling resonant electric vehicles [J].Journal of Shenyang University of Technology,2020,42(1):84-89.)
[12]李贵炎,鲁植雄.插电式混合动力整车能量管理控制策略 [J].沈阳工业大学学报,2018,40(4):410-414.
(LI Gui-yan,LU Zhi-xiong.Energy management control strategy for plug-in hybrid electric vehicle [J].Journal of Shenyang University of Technology,2018,40(4):410-414.)
[13]Hou Z H,Cao J Y,Huang G H,et al.Multi-parameter theoretical analysis of wearable energy harvesting backpacks for performance enhancement [J].Mechanical Systems and Signal Processing,2021,155:10-21.
[14]Xie L H,Cai M J.Increased energy harvesting and reduced accelerative load for backpacks via frequency tuning [J].Mechanical Systems and Signal Processing,2015,58:399-415.
[15]Wang W,Cao J Y,Zhang N,et al.Magnetic-spring based energy harvesting from human motions:design,modeling and experiments [J].Energy Conversion and Management,2017,132:189-197.
[16]Tai W C,Zuo L.On optimization of energy harvesting from base-excited vibration [J].Journal of Sound and Vibration,2017,411:47-59.