邱荣科, 郭非非, 刘忠菊
(沈阳工业大学 理学院, 沈阳 110870)
摘 要:为了提高磁性薄膜的共振频率,采用量子格林函数方法研究了具有反铁磁性和铁磁性层间交换耦合的三层软磁镍超晶格薄膜的共振频率,并分析了各向异性、层间交换耦合、外磁场和温度对三层软磁镍超晶格薄膜共振频率的影响.结果表明,共振频率随约化温度的升高而减小;各向异性只能影响对应子层的共振频率,且各向异性越大,共振频率越高;层间交换耦合只能影响与其连接的子层的共振频率,且层间交换耦合越大,共振频率越高;当约化温度升高时,各向异性和层间交换耦合对共振频率的影响程度减小.
关 键 词:层间交换耦合; 外磁场; 温度; 各向异性; 共振频率; 格林函数; 薄膜; 超晶格
随着社会与科技的发展,磁性材料在我们生活中的应用越来越广泛,并在永磁电机、家用电器等多个领域均表现出强大的生命力[1-3].目前,很多通讯设备存在微波辐射,而磁性材料也可广泛应用于微波吸收装置中.由于通讯设备的频率已经开始向高频段发展,因此,磁性材料的共振频率也需相应提高.然而,磁性材料内部共振频率的提高会受到Snoek极限的限制[4].多层超晶格材料是目前设计不同功能材料所采用的热点结构[5].磁性多层薄膜材料有可能突破Snoek极限的限制,从而获得更高的共振频率.相对于传统的磁性材料而言,由于高频软磁薄膜材料具有显著优势,故有望取代铁氧体并用以制作高频磁性器件,不过,如何进一步提高其共振频率还需开展更多的研究工作[6-8].目前,已有许多学者研究了提高高频软磁薄膜材料共振频率的办法.Bonneau-Brault[9]等人研究了在CoO/CoFeB系统中共振频率的调节问题.Xie[10]等人研究了在FeCoAlO/PZN-PT异质中可以大幅度提高共振频率的方法.Qiu[11-12]等人研究了双层和三层铁磁性超晶格的共振频率以及双层亚铁磁磁性薄膜的磁矩.Seemann[13]等人研究了在高频磁场作用下,具有平面各向异性的Fe-Co-Hf-N铁磁性薄膜的共振频率和共振线宽.Wang[14]等人通过调整非磁性层的厚度,实现了在3.47~3.87 GHz范围内相应地调整多层磁/非磁薄膜材料的共振频率.顾文娟[15]等人研究了在垂直场作用下,磁性薄膜的铁磁共振现象.Chai[16]等人采用Cu作为磁性层的中间夹层,研究了多层膜的高频特性.Xu[17]等人采用磁控溅射方法制备了FeCoSiN/AlO/FeCoSiN多层膜,并讨论了该多层膜的磁性质和高频磁导率谱.本文试图从理论的角度,采用量子格林函数方法研究了具有反铁磁性和铁磁性层间交换耦合的三层软磁镍超晶格薄膜的共振频率,并分析了温度、各向异性、层间交换耦合和外磁场对共振频率的影响,从而探讨了提高磁性材料共振频率的方法.
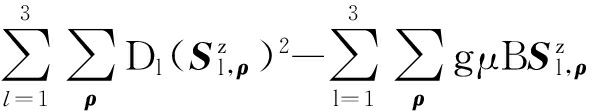
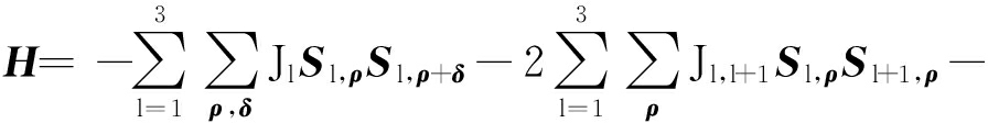
在考虑了单格点各向异性的前提下,采用简立方晶格建立了三层软磁镍超晶格薄膜的海森堡模型.三个磁性层位于yz平面,且沿x轴方向(垂直于yz平面)周期性地堆砌.其中,哈密顿量可以表示为![]()
(1)
式中:l为子层数;δ为只考虑yz平面最近邻的交换作用的位置矢量;ρ为l层内格点的位置矢量;Jl为l层的层内交换耦合系数;Jl,l+1表示l层格点与l+1层最近邻格点间的层间交换耦合系数;B为外磁场的磁感应强度;Dl为l层的各向异性参数;S1,ρ、Sl+1,ρ分别为l层与l+1层中ρ位置上格点的自旋算符;Sl,ρ+δ为l层中ρ+δ位置上格点的自旋算符;
为l层中ρ位置上格点的自旋算符z方向的分量;g为郎德因子;μ为玻尔磁子.
超晶格中第一磁性层和第三磁性层的自旋初始方向为z轴正方向,第二磁性层的自旋初始方向为z轴负方向.施加的外磁场方向为z轴正方向.每个子层内的最近邻自旋层内交换耦合是铁磁性的.一层和二层薄膜之间的最近邻层自旋层间交换耦合J12与二层和三层薄膜之间的自旋层间交换耦合J23均是反铁磁性的,而一层和三层薄膜之间的自旋层间交换耦合J13是铁磁性的.为了对三层软磁镍超晶格薄膜进行进一步分析,本文根据文献[18]引入了格林函数,其表达式为

(2)

(3)

(4)
式中:G(x)、F(x)和Q(x)均代表格林函数,且不同的下角标代表不同层数的格林函数;S+和S-分别为自旋的产生和湮灭算符;Sz为自旋算符的z方向分量;a、b和c为常数;ω为能量;i、j和m分别表示不同格点,且不同的下角标代表不同层内的格点.对层内和层间交换耦合项,采用Tyablikov退耦近似处理;而对单格点各向异性项,采用Anderson-Callen退耦近似处理.本文建立了格林函数的运动方程,且格林函数的奇异点对应于自旋波谱的解[11].
在铁磁共振(FMR)实验中,被探测到的物理量称为共振频率.在计算具有反铁磁性和铁磁性的三层软磁镍超晶格薄膜共振频率的过程中,本文取层内交换耦合J1=J2=J3=0.03 eV;自旋量子数S=1;朗德因子g=2.21.此外,三层软磁镍超晶格薄膜共振频率可以表示为
f=ω/h
(5)
式中,h为普朗克常数.
图1为层间交换耦合对三层软磁镍超晶格薄膜共振频率的影响.实验中,各层薄膜的各向异性分别为D1=28.9 μeV、D2=40.5 μeV和D3=17.4 μeV;外磁场的磁感应强度B=0;约化温度τ=T/Tc.其中:T为温度;Tc为特定系统参数条件下的转变温度,且该系统参数中J12=-1 μeV、J23=-1 μeV、J13=1 μeV.

图1 非对称结构中共振频率随层间交换耦合的变化
Fig.1 Change of resonance frequency with interlayer exchange coupling in asymmetric structure
由图1可见,系统存在三个共振频率,分别为f1、f2和f3.图中点线表示当层间交换耦合J23=-1 μeV、J13=1 μeV时,第一层与第二层薄膜的反铁磁性层间交换耦合J12对共振频率的影响.由图1可见,当J12的绝对值增加时,不同τ值条件下的共振频率f1与f2均随之增加,而共振频率f3保持不变.图1中虚线表示当层间交换耦合J12=-1 μeV、J13=1 μeV时,第二层与第三层薄膜的反铁磁性层间交换耦合J23对共振频率的影响.可见,当J23的绝对值增加时,不同τ值条件下的共振频率f2与f3均随之增加,而共振频率f1保持不变.图1中实线表示当层间交换耦合J12=-1 μeV,J23=-1 μeV时,第一层与第三层薄膜的铁磁性层间交换耦合J13对共振频率的影响.由图1可知,当J13增加时,不同τ值条件下的共振频率f1与f3均随之增加,而共振频率f2保持不变.因此,层间交换耦合只能影响与其连接的对应子层的共振频率,且层间交换耦合越大,对应的共振频率越高.观察图1还可以发现,在不同τ值条件下,共振频率f2始终最大,共振频率f1次之,而共振频率f3最小,这是由各向异性参数的大小决定的,即各向异性参数越大,该层的共振频率越大.对比图1a~c可以发现,随着τ值的升高,共振频率f1、f2和f3均逐渐降低,且层间交换耦合对频率的影响程度逐渐减小.文献[11]研究了在零温条件下,磁性层间交换耦合对共振频率的影响.将本文结果与文献[11]进行对比后发现,在零温条件下,反铁磁性层间交换耦合对共振频率f2的影响低于铁磁性交换耦合对f2的影响.
图2为在零温和零磁场条件下,当系统的各向异性参数对称(D1=28.9 μeV、D2=40.5 μeV、D3=28.9 μeV)时,层间交换耦合对三层软磁镍超晶格薄膜共振频率的影响.

图2 对称结构中共振频率随层间交换耦合的变化
Fig.2 Change of resonance frequency with interlayer exchange coupling in symmetric structure
图2a表示当层间交换耦合J12=-1 μeV、J23=-1 μeV时,J13对共振频率的影响.由图2a可见,当J13增加时,共振频率f1和f2保持不变,共振频率f3随之增加.图2b表示当J23=-1 μeV、J13=1 μeV时,J12的绝对值对共振频率的影响.从图2b可见,当J12的绝对值增加时,共振频率f1、f2和f3均随之增加.图2c表示当J12=-1 μeV、J13=1 μeV时,J23的绝对值对共振频率的影响.由图2c可见,当J23的绝对值增加时,共振频率f1、f2和f3也均随之增加.因此,当系统的各向异性参数对称时,层间交换耦合对共振频率的影响与对非对称结构中共振频率的影响是不同的.
图3为外磁场对三层软磁镍超晶格薄膜共振频率的影响.其中,D1=28.9 μeV、D2=40.5 μeV、D3=17.4 μeV,而J12=-1 μeV、J23=-1 μeV、J13=1 μeV.

图3 共振频率随外磁场的变化
Fig.3 Change of resonance frequency with external field
由图3可见,随着外磁场磁感应强度的增加,在不同τ值条件下,均有一个共振频率随之减小,另外两个共振频率随之增加.对比图3a~c后发现,τ值越高,共振频率越低.由文献[11]可知,铁磁性材料在零温条件下随着外磁场磁感应强度的增加,三个共振频率均增加,这一点与反铁磁性材料是不同的.
图4为第二层薄膜各向异性参数D2对三层软磁镍超晶格薄膜共振频率的影响.其中,D1=28.9 μeV、D3=17.4 μeV;J12=-1 μeV、J23=-1 μeV、J13=1 μeV;B=0.

图4 共振频率随各向异性参数D2的变化
Fig.4 Change of resonance frequency with anisotropy D2
由图4可见,随着D2的增加,共振频率f1和f3基本保持不变,而共振频率f2随之增加.因此,各向异性参数只能影响其所在子层的共振频率,不能影响其他子层的共振频率.通过对比图4a~c可以发现,随着τ值的升高,共振频率逐渐降低,且各向异性D2对共振频率的影响逐渐减小.由图4还可以观察到,当τ值较低时,共振频率随各向异性D2呈线性变化(见图4a、b);当τ值达到一定数值后,共振频率随D2呈非线性变化(见图4c).
图5为第三层薄膜各向异性参数D3对三层软磁镍超晶格薄膜共振频率的影响.其中,D1=28.9 μeV、D2=40.5 μeV;J12=-1 μeV、J23=-1 μeV、J13=1 μeV;B=0.

图5 共振频率随各向异性参数D3的变化
Fig.5 Change of resonance frequency with anisotropy D3
由图5可见,当偏离对称位置时,随着各向异性参数D3的增加,共振频率f1和f2保持不变,只有共振频率f3随之增加.可见,各向异性只能影响对应子层的共振频率,且各向异性越大,共振频率也趋于越高.对比文献[11]可知,在零温条件下,该规律与铁磁性材料共振频率随各向异性D3的变化规律一致.对比图5a~c可知,τ值越高,共振频率越低,且各向异性D3对共振频率的影响程度逐渐减小.由图5可见,共振频率f1小于f2,表明各向异性参数越大,该子层的共振频率越高.当τ值较低且系统远离平衡点时,共振频率与各向异性D3几乎呈线性关系(见图5a、b).当τ值较高且共振频率接近于零时,共振频率与各向异性D3稍微偏离了线性关系(见图5c).
采用格林函数方法讨论了三层软磁镍超晶格薄膜的层间交换耦合、外磁场、各向异性和约化温度对共振频率的影响.系统共振频率的数目与磁性超晶格的层数相同.随着外磁场磁感应强度的增加,两个共振频率随之增加,而另一个共振频率随之减小.各向异性只能影响对应子层的共振频率,且各向异性越大,共振频率越大.层间交换耦合只能影响与其连接的子层的共振频率,且层间交换耦合越大,共振频率越高.约化温度越高,共振频率越小,且层间交换耦合和各向异性对共振频率的影响越小.在对称的超晶格结构中,层间交换耦合对共振频率的影响不同于其对非对称结构的影响.
参考文献(References):
[1]唐任远,赵清,周挺.稀土永磁电机正进入大发展的新时期 [J].沈阳工业大学学报,2011,33(1):1-8.
(TANG Ren-yuan,ZHAO Qing,ZHOU Ting.Rare earth permanent magnet electrical machines stepping a new period of rapid development [J].Journal of Shenyang University of Technology,2011,33(1):1-8.)
[2]邓文娟,巴德纯,王玉良.永磁传动与真空密封技术研究现状与发展 [J].真空科学与技术学报,2014,34(10):1081-1086.
(DENG Wen-juan,BA De-chun,WANG Yu-liang.Latest development of permanent magnetic driving technology for vacuum dynamic sealing [J].Chinese Journal of Vacuum Science and Technology,2014,34(10):1081-1086.)
[3]黄允凯,周涛,董剑宁,等.轴向永磁电机及其研究发展综述 [J].中国电机工程学报,2015,35(1):192-205.
(HUANG Yun-kai,ZHOU Tao,DONG Jian-ning,et al.An overview on developments and researches of axial flux permanent magnet machines [J].Procee-dings of the CSEE,2015,35(1):192-205.)
[4]Snoek J L.Gyromagnetic resonance in ferrites [J].Nature,1947,160:90-91.
[5]刘贵立,姜艳,谢萌.碳纳米管超晶格结构的第一性原理 [J].沈阳工业大学学报,2015,37(3):289-293.
(LIU Gui-li,JIANG Yan,XIE Meng.First principle for carbon nanotube super lattice structure [J].Journal of Shenyang University of Technology,2015,37(3):289-293.)
[6]王艺程,张怀武,鲁广铎,等.纳米高频软磁薄膜材料研究进展 [J].中国材料进展,2012,31(7):42-50.
(WANG Yi-cheng,ZHANG Huai-wu,LU Guang-duo,et al.Recent progress on nanostructured high frequency soft magnetic thin films [J].Materials China,2012,31(7):42-50.)
[7]Li D,Wang Z,Han X M,et al.Improved high-frequency soft magnetic properties of FeCo films on organic ferroelectric PVDF substrate [J].Journal of Magnetism and Magnetic Materials,2015,375:33-37.
[8]Chai G Z,Phuoc N N,Ong C K.Optimizing high-frequency properties of stripe domain ferrite doped CoFe thin films by means of a Ta buffer layer [J].Journal of Physics D:Applied Physics,2013,46(41):5001-5007.
[9]Bonneau-Brault A,Dubourg S,Thiaville A,et al.Adjustable ferromagnetic resonance frequency in CoO/CoFeB system [J].Journal of Applied Physics,2015,117(3):2-9.
[10]Xie S M,Wan Y,Wang C L,et al.Substantially enhancing ferromagnetic resonance frequency via superposition of composition gradient sputtering and magnetoelectric coupling in FeCoAlO/PZN-PT heterostructures [J].Journal of Alloys and Compounds,2015,642:136-139.
[11]Qiu R K,Huang A D,Li D,et al.Resonance frequency in ferromagnetic superlattices [J].Journal of Physics D:Applied Physics,2011,44(41):2-7.
[12]黄特,邱荣科.双层亚铁磁磁性薄膜的磁矩研究 [J].沈阳理工大学学报,2013,32(6):53-57.
(HUANG Te,QIU Rong-ke.Magnetic moment of double-layer ferrimagnetic magnetic thin films [J].Journal of Shenyang Ligong University,2013,32(6):53-57.)
[13]Seemann K,Leiste H,Krüger K.Ferromagnetic resonance frequency increase and resonance line broadening of a ferromagnetic Fe-Co-Hf-N film with in-plane uniaxial anisotropy by high-frequency field perturbation [J].Journal of Magnetism and Magnetic Materials,2013,345(10):36-40.
[14]Wang X H,Chai G Z,Xue D S.Magnetic properties of (Co92Zr8/SiO2)15 multilayer thin films for GHz applications [J].Journal of Alloys and Compounds,2014,584(3):171-174.
[15]顾文娟,潘靖,胡经国.垂直场下磁性薄膜中的铁磁共振现象 [J].物理学报,2012,61(16):1-6.
(GU Wen-juan,PAN Jing,HU Jing-guo.Ferromagnetic resonance phenomenon of magnetic thin film under a perpendicular field [J].Acta Physica Sinica,2012,61(16):1-6.)
[16]Chai G Z,Wang Z L,Wang G X,et al.Adjustable microwave properties in Fe-CoZr/Cu multilayers [J].IEEE Transactions on Magnetics,2011,47(10):3115-3117.
[17]Xu F,Liao Z Q,Huang Q J,et al.Influence of interlayer thickness on high-frequency magnetic properties of FeCoSiN/AlO/FeCoSiN trilayers [J].IEEE Tran-sactions on Magnetics,2011,47(10):3100-3103.
[18]Callen H B.Green function theory of ferromagnetism [J].Physical Review,1963,130(3):890-898.
(责任编辑:尹淑英 英文审校:尹淑英)
QIU Rong-ke, GUO Fei-fei, LIU Zhong-ju
(School of Science, Shenyang University of Technology, Shenyang 110870, China)
Abstract:In order to improve the resonance frequency of magnetic thin film, the resonance frequency of three-layer soft magnetic nickel superlattice film with antiferromagnetic and ferromagnetic interlayer exchange coupling was studied with quantum Green function method. The effect of anisotropy, interlayer exchange coupling, external magnetic field and temperature on the resonance frequency of three-layer soft magnetic nickel superlattice film was investigated. The results show that the resonance frequency decreases with increasing the reduced temperature. The anisotropy can only affect the resonance frequency of the corresponding sublayer, and the bigger the anisotropy is, the higher the resonance frequency is. The interlayer exchange coupling can only affect the resonance frequency of the sublayer connected by the coupling, and the bigger the interlayer exchange coupling is, the higher the resonance frequency is. When the reduced temperature increases, the effect degree of anisotropy and interlayer exchange coupling on the resonance frequency reduces.
Key words:interlayer exchange coupling; external magnetic field; temperature; anisotropy; resonance frequency; Green function; thin film; superlattice
收稿日期:2015-07-10.
基金项目:国家自然科学基金资助项目(11447119).
作者简介:邱荣科(1963-),女,山东掖县人,教授,博士,主要从事低维磁性材料的磁性质与微波性质等方面的研究.
doi:10.7688/j.issn.1000-1646.2016.01.06
中图分类号:TG 111.92
文献标志码:A
文章编号:1000-1646(2016)01-0030-06
*本文已于2015-12-07 16∶16在中国知网优先数字出版. 网络出版地址: http:∥www.cnki.net/kcms/detail/21.1189.T.20151207.1616.016.html