有界双层结构SH导波频散特性分析 *

杨理践, 吕瑞宏, 高松巍, 刘 斌

(沈阳工业大学 信息科学与工程学院, 沈阳 110870)

摘 要:为了检测附着防腐层层状结构中是否存在剥离、孔洞等缺陷,利用超声SH导波研究层状结构频散特性的影响因素,基于弹性及粘弹性波动理论并依据Navier运动位移方程推导了附着防腐层双层结构的频散方程,并分析了防腐层剥离缺陷状态对频散特性的影响.结果表明:通过研究SH导波频散特性的变化可反映附着防腐层的双层结构是否存在剥离缺陷;防腐层产生剥离缺陷时,导波SH 0模态发生频散且向防腐层横波速度渐近.防腐层剥离缺陷尺寸增大,回波信号幅值增加,截点振动速度变慢,导波能量衰减减小.

关 键 词:SH导波; 频散特性; 质点振动速度; 防腐层厚度; 有界双层结构; 剥离缺陷; 波动方程; 粘弹性介质

工程中,被检金属结构常铺敷防腐层或嵌入到其他粘弹性体中,评价其防腐层或粘弹性体是否存在剥离缺陷及模态畸变是双层结构检测的主要问题之一.为了保障大型金属结构的安全,需对其进行长距离、大范围的无损检测.超声导波检测技术可完成一维或二维结构中长距离、大范围的无损检测,通过在结构某位置激发超声导波信号及查看缺陷产生的回波信号进行缺陷检测 [1-2].因此,基于超声导波无损检测技术被广泛应用在大型双层结构检测中,根据几何结构、缺陷位置和周边环境等,可选择某固定模态以获得较高的缺陷检测的灵敏度 [3].由于双层结构中防腐层属于粘弹性层,外带粘弹性防腐层双层结构中导波传播频散特性成为研究热点.Chung C H [4]等研究了层状半空间结构的频散曲线中覆盖层弹性常数的反演问题;Pant S [5]对复合板中兰姆波基本模态的频散特性进行了研究;Khajehtourian R [6]研究了非线性弹性变形系统中的频散特性及其影响因素;Nordebo S [7]等对多层同轴电缆的频散特性进行了低频率渐近分析;艾春安 [8]等对横波检测粘接界面层多孔隙缺陷进行了数值分析;常新龙 [9]等采用全局矩阵理论分析了脱粘缺陷对粘接结构频散特性的影响;杨理践 [10]等提出了基于超声波对钢板防腐层剥离缺陷的检测方法;何存富 [11]等通过振动模态分析研究了超声导波传播特性的数值计算方法.由于双层结构尺寸限制,其表面力学边界条件和防腐层粘弹性波动力学特性的复杂性等限制了超声导波检测有界附着防腐层双层结构的工程应用.

本文通过建立附着防腐层双层板状结构的SH导波波动模型,研究SH导波在金属弹性介质和防腐层粘弹性介质的双层结构中传播的频散特性,并建立实验平台对防腐层不同剥离缺陷进行实验研究.利用理想条件下模型边界条件对双层结构的频散特性进行数值计算和仿真分析,并通过实验对比分析了双层结构频散特性的影响因素,为层状结构的超声导波检测技术提供一定的理论依据.

1 双层介质中SH导波频散特性

附着防腐层双层板状结构模型如图1a所示, h 1为防腐层厚度, h 2为钢板厚度,SH导波传播方向为 x 1方向,质点位移为 x 3方向,在笛卡尔张量下,对该双层结构建立SH导波的波动模型.超声波探头坐标系如图1b所示,其为双层结构坐标系关于 x 3轴的简单旋转,旋转量为入射角 θ i .横波探头楔形块中的质点振动完全位于( y 1y 3)平面中, y 1y 3位移相对量为横波探头偏振方向与各自轴间夹角的函数,该方向用 φ表示,若 φ=0°,则横波探头偏振方向与 y 1轴一致;若 φ=90°,则横波探头偏振方向与 y 3轴一致.符号“⊗”表示指向纸面外侧,在两个坐标系中分别表示 x 3y 3的方向为纸面外侧方向.

图1 附着防腐层双层结构模型

Fig.1    Model for double layer structure

of anticorrosive coating

设探头产生的位移场函数为

u= A[cos φ φ

(1)

式中: A为位移振幅; i 为沿 y i 轴的单位矢量.

因位移分量 u 3将产生SH导波,且入射场能量正比于入射位移幅度的平方,则有

E SH= KA 2sin 2 φ

(2)

式中, K为比例常数.由式(2)可知,当 φ=72°时,90%以上的能量由SH导波传递,以此条件作为激励函数条件激发SH导波,记 K 0= Ksin 2 φ为能量常数因子.

根据各向同性介质中的质点位移场 u( xt)满足Navier的运动位移方程,则有

μ ( n) 2 u ( n) ( xt)+( λ ( n) + μ ( n) ) ( u ( n) ( xt))=

(3)

式中: n∈(1,2)代表层数( n=1代表防腐层, n=2代表钢板); u( xt)为位移; μλ为材料的lame常数; ρ为材料密度.

由指数项表示波动沿 x 1方向传播,由 f( x 2)给出 x 2方向的确定分布,则质点位移场为

(4)

对式(4)求位移偏导可得

(5)

(6)

(7)

式中: k为波数; ω为变量圆周频率.对于SH导波, u 1( xt)= u 2( xt)=0,仅 x 3方向位移分量不为零, u 3( xt)独立于 x 3,则式(3)化简为

(8)

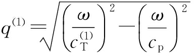
式中, 是第 n层介质中的横波波速.将式(5)~(7)代入式(8)可得

(9)

式(9)的通解为

f ( n) ( x 2)= A ( n) sin( q ( n) x 2)+ B ( n) cos( q ( n) x 2)

(10)

式中 A ( n) B ( n) 为常数.因此,将式(10)代入式(4)可得

B ( n) cos( q ( n) x 2)]e i( kx 1- ωt)

(11)

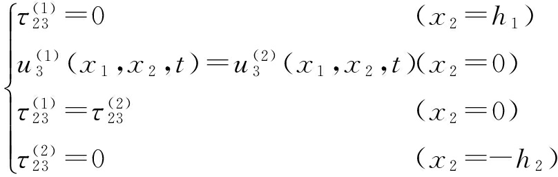
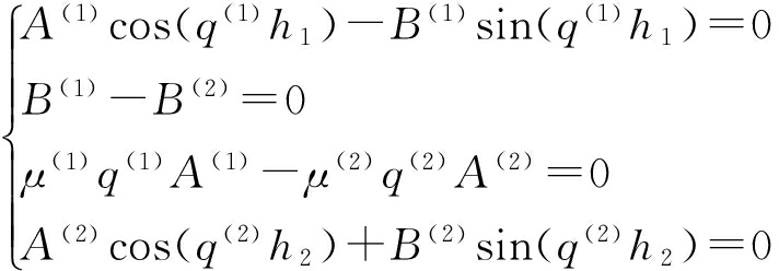
若钢板与防腐层粘接良好,粘接处边界的应力和位移连续,层表面为自由表面.因此,附着外防腐层钢板模型的双层结构边界条件为在应力张量中有 =0,则边界条件为

(12)

式中,应力分量 .将式(11)代入式(12)得出边界条件求解方程,即

(13)

将式(13)写成矩阵运算形式,即

HC=0

(14)

(15)

C=[ A (1)B (1)A (2)B (2)] T

(16)

要使式(14)有解,则 ,即

μ (1) q (1)sin( q (1) h 1)cos( q (2) h 2)=0

(17)

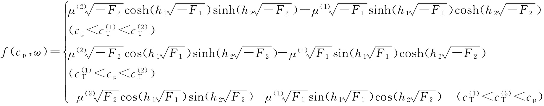
式中: c p为相速度.

,则函数 f( c pω)的表达式为

f( c pω)=   - μ (2) q (2)cos( q (1) h 1)sin( q (2) h 2)-

μ (1) q (1)sin( q (1) h 1)cos( q (2) h 2)

(18)

当相速度 c p与双层结构的介质横波波速 的大小关系不同时,式(18)可分解为

(19)

式(19)为双层结构的SH导波波动方程,以 c p为函数自变量,通过对其区间数值求解可得频散特性.式(19)中各项式与 c p相关,将相速度 c p作为频厚积 fd的函数,双层结构厚度 d= h 1+ h 2.在某区间内用固定波数扫描频率的方法以一定步长扫描,当存在方程函数值发生变号现象,则判定该区间内存在方程的根并找到根的近似值.为了使得方程根与实际真实解误差满足精度要求,采用五点二分法提高近似解的精度,即得到前三个精度较高解后,用线性递推公式得到下一个点的粗略根.

2 SH导波频散特性仿真计算与分析

2.1 SH导波频散特性数值计算

工程中,常用的3PE防腐层因其粘接性能、电绝缘、防水耐腐蚀、良好强度和抗冲击性能等优势成为防腐涂层的首选 [12].环氧树脂的物理声学参数与工程中3PE防腐层相近,因此,本实验平台采用环氧树脂与钢板结合形成双层结构介质进行分析,其仿真计算中的物理声学参数如表1所示.

表1 防腐层 钢板双层结构的物理声学参数

Tab.1    Physical acoustic parameters for anticorrosive

coating-steel plate double layer structure

材料厚度mm密度(g·cm-3)横波速度cs(km·s-1)纵波速度cL(km·s-1)钢板67.853.265.95环氧树脂31.181.462.73

将表1中环氧树脂 钢板双层结构的声学参数应用于式(19)中进行仿真研究,可得图2所示频散曲线.

图2 双层结构的SH导波频散特性曲线

Fig.2    Curves of frequency dispersion characteristics

for SH guiding wave in double layer

n=0时,对应于SH 0对称模态,其 c p= c s表明无频散的SH 0模态以 c s传播,实线代表对称模态,虚线代表反对称模态.沿板厚度方向,SH导波模态位移场不随模态频散曲线而变化.高阶SH模态具有截止频率,其频散较SH 0模态严重,SH导波多模态的存在造成回波信号数据读取和分析困难.

在同一频率下,当防腐层剥离状态发生变化即防腐层有无剥离缺陷产生时,SH导波各模态的相速度和群速度不同.图3为SH 0模态群速度在剥离缺陷产生和无剥离缺陷时的对比图,由图3可知,在一定频率范围内,其群速度随剥离缺陷产生与否而产生较大的差异.因此,当防腐层产生剥离缺陷导致其厚度发生变化时,双层结构中导波SH 0模态曲线发生频散,产生弯折现象并向钢板横波速度 c s渐近.利用SH 0模态频散特性变化可检测附着防腐层的双层结构是否产生剥离缺陷.

图3 SH 0模态在防腐层不同剥离状态中频散特性曲线

Fig.3 Curves for frequency dispersion characteristics for SH 0mode in anticorrosive coating with different peeling states

2.2 SH导波频散特性有限元仿真分析

建立如图4所示压电超声换能器检测附着防腐层的双层结构剥离缺陷的仿真模型,钢板长×宽×高为80 mm×10 mm×6 mm,防腐层长×宽×高为80 mm×10 mm×3 mm,超声导波换能器采用2.5P13×13K3横波斜探头.针对采样截点①、②、③、④、⑤进行速度分量研究,其坐标分别为(-15,0,3)、(0,0,3)、(15,0,3)、(-15,0,-1)、(15,0,-1),防腐层剥离缺陷位于激励换能器与接收换能器之间.通过跟踪在防腐层剥离缺陷状态不同时采样截点的速度分量,进一步研究附着防腐层的双层结构中SH导波的频散特性的影响因素.

图5分别为截点①、②、③、④、⑤的速度分量曲线,截点①、②、③为上层钢板中截点,截点④、⑤为双层结构中下层板中截点.对比钢板防腐层双层结构和双层钢板结构的截点速度,在钢板防腐层双层结构中截点速度分量均大于双层钢板,同时,由截点①、②、③速度分量的起振时间可判别导波的传播方向.截点③在两种不同的双层结构中的速度分量近似,而截点⑤在钢板防腐层双层结构中的速度分量明显大于双层钢板结构,而且在双层钢板结构中的起振时间延迟.依据式(19)所得双层结构的频散特性分析可知,双层结构介质性质发生变化将对其振动速度产生影响.

图4 双层结构的三维有限元仿真图

Fig.4    3D finite element simulation nephogram

of double layer structure

当防腐层产生剥离缺陷时,跟踪截点③、⑤的速度分量曲线,并将其与双层无剥离缺陷的速度分量曲线进行对比,如图6所示,截点③的速度分量比截点⑤的速度分量小约一半.若存在防腐层剥离缺陷时,截点③的速度分量变化不大,而截点⑤的速度分量减小约一半.因此,当存在防腐层剥离缺陷时,防腐层中截点⑤的速度分量变化明显,可由此获得缺陷存在的位置信息.

3 实验验证及分析

实验平台采用超声波探伤仪针对标准45号钢钢板附着环氧树脂铺设的采用频率为2.5 MHz的K3超声探头进行超声无损检测,双层结构的尺寸长×宽×高为300 mm×100 mm×9 mm,防腐层厚度为3 mm.由于SH导波仅为 x 3方向振动剪切波的叠加,则利用超声波探伤仪通过反射回波来确定超声波在钢板防腐层双层介质及存在剥离缺陷的钢板防腐层中超声SH的速度特性.发射和接收元件采用横波换能器,并采用粘性耦合剂,在楔形块和层板间产生作用于层表面的应力,其具有 x 3方向剪切分量,搭建的实验平台如图7所示.

图5 不同双层结构的截点速度 x分量曲线

Fig.5    Curves of xcomponent of cut point velocity

for different double layer structures

图6 放大后的截点速度曲线

Fig.6 Curves of cut point velocity after amplification

图7 双层结构的剥离缺陷检测实验平台

Fig.7    Experimental platform for peeling defect

detection of double layer structure

图8为双层结构中防腐层剥离缺陷的对比实验,图8a为剥离缺陷尺寸为120 mm与无剥离缺陷的信号波形比较,图8b为剥离缺陷尺寸为120 mm与剥离缺陷尺寸为60 mm的信号波形比较.通过超声输入信号与输出信号的时间差可得该超声波在双层介质中的传播距离,分析其传播特性.

图8 双层结构中防腐层剥离缺陷的信号波形

Fig.8    Signal waveform of peeling defects in double

layer structure of anticorrosive coating

在防腐层剥离状态不同情况下,防腐层属于粘弹性介质,其对导波的传播存在粘滞性,因此,导波在双层结构中能量衰减不同.图8a中针对防腐层有无剥离缺陷的信号波形分析可知,当防腐层存在120 mm剥离缺陷时,相比无剥离缺陷的双层结构回波信号,其信号在接收端有明显的增强,原因在于产生剥离缺陷后,原有防腐层中导波信号透射到其附着的钢板中传播,钢板中导波信号能量增大,幅值增强.依据表1可知,导波在防腐层中传播速度低于钢板中传播速度,因此,由于防腐层剥离缺陷存在,透射到钢板中的导波信号将延迟到达超声换能器的接收端.图8b中通过对比研究防腐层剥离缺陷尺寸大小对于导波传播速度的影响因素,分析可知,当剥离缺陷尺寸为60 mm时,超声导波回波信号衰减速度比剥离缺陷尺寸为120 mm的衰减速度快.因此,防腐层剥离缺陷的尺寸越大,其回波信号幅值越大,能量衰减速度越慢.表2为防腐层剥离缺陷状态的频散特性影响因素.

从表2数据对比可知,当防腐层存在剥离缺陷时,其回波信号幅值明显增强,导波传播速度较小,能量强度增强;剥离缺陷沿导波传播方向尺寸增大时,信号幅度增大,导波传播速度变慢,能量强度变大;超声导波检测防腐层剥离缺陷状态时,在一定频率下,其信号幅值、能量强度及回波速度均有规律地发生变化,依此可对防腐层的剥离缺陷进行量化检测研究.

表2 防腐层剥离缺陷状态的频散特性影响因素

Tab.2 Influencing factors for frequency dispersion characteristics of peeling defect states in anticorrosive

状态信号幅值/(10-3V)能量强度/(10-6K0W·m-2)实验速度/(km·s-1)无剥离缺陷1.251.561.9760mm剥离缺陷1.321.741.84120mm剥离缺陷1.753.061.79

注: K 0为能量强度的常数因子.

4 结 论

针对附着防腐层钢板的双层结构模型推导附着防腐层双层结构的频散方程,通过仿真分析了防腐层双层结构频散特性的影响因素,建立实验平台对防腐层的剥离缺陷进行了实验研究,得出以下结论.

1) 在一定频率范围内,当防腐层剥离状态发生变化时,SH导波各模态的群速度因剥离缺陷产生与否而存在较大差异,双层结构中导波SH 0模态曲线发生频散,产生弯折现象并向防腐层横波速度 c s渐近.

2) 附着防腐层双层结构中速度分量大于双层钢板结构中速度分量,且起振时间比双层钢板结构中提前.双层结构中防腐层产生剥离缺陷时,将对介质中截点的振动速度产生影响.在防腐层剥离状态不同情况下,防腐层属于粘弹性介质,其对导波的传播存在粘滞性,因此,导波在双层结构中能量衰减不同.防腐层剥离缺陷尺寸越大,回波信号幅值越大,截点振动速度变慢,则能量衰减变小.

参考文献(References):

[1]杨理践,李春华,高文凭,等.铝板材电磁超声检测中波的产生与传播过程分析 [J].仪器仪表学报,2012,33(6):1218-1223.

(YANG Li-jian,LI Chun-hua,GAO Wen-ping,et al.Finite element simulation of the generation and propagation processes of electromagnetic ultrasonic wave in aluminum plate test [J].Chinese Journal of Scientific Instrument,2012,33(6):1218-1223.)

[2]杨理践,邹金津,邢燕好.电磁超声兰姆波换能器在金属板检测中的优化 [J].沈阳工业大学学报,2014,36(5):537-542.

(YANG Li-jian,ZOU Jin-jin,XING Yan-hao.Optimization of electromagnetic ultrasonic Lamb wave transducer used for detection of metal plate [J].Journal of Shenyang University of Technology,2014,36(5):537-542.)

[3]杨理践,吕瑞宏,刘斌,等.电磁超声兰姆波模态的能量密度分布特征研究 [J].仪器仪表学报,2015,36(11):2602-2610.

(YANG Li-jian,LÜ Rui-hong,LIU Bin,et al.Research on the distribution of energy density of modal identification of electromagnetic ultrasonic lamb wave propagation [J].Chinese Journal of Scientific Instrument,2015,36(11):2602-2610.)

[4]Chung C H,Lee Y C.An improved weighting method for inversely determining elastic constants of coating layers from dispersion curves of durface acoustic waves [J].Experimental Mechanics,2013,53(8):1395-1403.

[5]Pant S,Laliberte J,Martinez M,et al.Effects of composite lamina properties on fundamental lamb wave mode dispersion characteristics [J].Composite Structures,2015,124:236-252.

[6]Khajehtourian R,Hussein M I.Dispersion characteristics of a nonlinear elastic metamaterial [J].Aip Advances,2014,4(12):1-18.

[7]Nordebo S,Nilsson B,Gustafsson S,et al.Low-frequency dispersion characteristics of a multilayered coaxial cable [J].Journal of Engineering Mathematics,2013,83(1):169-184.

[8]艾春安,朱盛录,俞红博.横波检测粘接界面层多孔隙缺陷的数值分析 [J].无损检测,2007,29(1):16-19.

(AI Chun-an,ZHU Sheng-lu,YU Hong-bo.Numeric analysis of the testing of porosity flaw on the adhesive layer with SH wave [J].Nondestructive Testing,2007,29(1):16-19.)

[9]常新龙,尼涛,艾春安,等.脱粘缺陷对粘接结构频散特性的影响 [J].应用声学,2010,29(3):227-235.

(CHANG Xin-long,NI Tao,AI Chun-an,et al.Influences of disbond defects on the dispersion property of adhesive bonding structure [J].Applied Acoustics,2010,29(3):227-235.)

[10]杨理践,潘丽娜,高松巍.基于超声波的钢板防腐层剥离检测方法 [J].沈阳工业大学学报,2014,36(2):188-193.

(YANG Li-jian,PAN Li-na,GAO Song-wei.Detection method for anticorrosive layer peeling of steel plate based on ultrasonic wave [J].Journal of Shenyang University of Technology,2014,36(2):188-193.)

[11]何存富,刘青青,焦敬品,等.基于振动模态分析的钢轨中超声导波传播特性数值计算方法 [J].振动与冲击,2014,33(3):9-13.

(HE Cun-fu,LIU Qing-qing,JIAO Jing-pin,et al.Propagation characteristics of ultrasonic guided wave in rails based on vibration modal analysis [J].Journal of Vibration and Shock,2014,33(3):9-13.)

[12]张其滨,刘金霞,赫连建峰,等.管道3PE涂层的阴极剥离性能研究 [J].腐蚀与防护,2015,27(7):331-333.

(ZHANG Qi-bin,LIU Jin-xia,HELIAN Jian-feng,et al.Cathodic athodic disbanding performance of 3PE pipeline coating [J].Corrosion and Protection,2015,27(7):331-333.)

(责任编辑:钟 媛 英文审校:尹淑英)

Analysis for frequency dispersion characteristics of SH guiding wave in bounded double layer structure

YANG Li-jian, LÜ Rui-hong, GAO Song-wei, LIU Bin

(School of Information Science and Engineering, Shenyang University of Technology, Shenyang 110870, China)

Abstract:In order to detect whether such defects as peeling and voids exist in the layered structure of anticorrosive coating, the influencing factors for the frequency dispersion characteristics of layered structure were studied with the ultraphonic SH guiding wave. Based on the elastic and viscoelastic wave theory and the Navier motion displacement equation, the frequency dispersion equation for the double layer structure of anticorrosive coating was derived, and the effect of peeling defect state in the anticorrosive coating on the frequency dispersion characteristics was analyzed. The results show that through studying the variation in the dispersion characteristics of SH guiding wave, whether the double layer structure of anticorrosive coating has the peeling defects can be reflected. When the peeling defects appear in the anticorrosive coating, the frequency dispersion occurs in the SH 0mode of guiding wave, and the velocity is gradually close to the shear wave velocity ofanticorrosive coating. When the size of peeling defects in the anticorrosive coating increases, the echo signal amplitude increases. At the same time, the vibration velocity of cut points becomes slow, and the attenuation of guiding wave energy decreases.

Key words:SH guiding wave; frequency dispersion characteristic; particle vibration velocity; thickness of anticorrosive coating; bounded double layer structure; peeling defect; wave equation; viscoelastic medium

收稿日期:2015-12-30.

基金项目:国家自然科学基金资助项目(61571308); 科技部国家重大仪表专项基金资助项目(2012YQ090175); 国家863计划项目(2012AA040104).

作者简介:杨理践(1957-),男,湖南长沙人,教授,博士生导师,主要从事管道检测及无损检测技术等方面的研究.

doi:10.7688/j.issn.1000-1646.2016.03.09

中图分类号:TB 553

文献标志码:A

文章编号:1000-1646(2016)03-0286-07

*本文已于2016-04-22 15∶41在中国知网优先数字出版. 网络出版地址: http:∥www.cnki.net/kcms/detail/21.1189.T.20160422.1541.010.html

信息科学与工程