CFRP钢管混凝土外加强环节点有限元分析 *

魏 华, 许 博

(沈阳工业大学 建筑与土木工程学院, 沈阳 110870)

摘 要:为了深入研究圆 CFRP钢管混凝土外加强环节点的力学性能,使用有限元软件 ABAQUS分析了混凝土强度、钢材强度、轴压比、加强环板的厚度和加固形式对节点力学性能的影响.对节点模型进行了低周往复荷载下数值模拟.结果表明,当混凝土和钢材强度不变时,随着轴压比的增加,外加强环节点的承载力保持不变;加强环板厚度对节点承载力影响较大,随着加强环板厚度的增加,节点的承载力明显增加,当厚度增加到一个限值时,承载力基本保持不变;加强板和加强筋加固形式可以显著提高节点的刚度,使钢梁先于柱屈服,实现强节点弱构件的抗震目标.

关 键 词:钢管混凝土; 外加强环节点; 有限元; 钢材强度; 混凝土强度; 轴压比; 承载力; 强节点弱构件

近年来,钢管混凝土结构在土木工程领域应用越来越广泛,特别是高层建筑结构,而钢管混凝土梁柱节点性能是影响钢管混凝土结构整体性能的关键,其中钢管混凝土外加强环式节点应用比较广泛,具有刚度大、塑性性能好、传力明确和承载力高等优点 [1].圆 CFRP钢管混凝土结构是在圆钢管混凝土柱外围缠绕碳纤维布而组成的结构形式,与圆钢管混凝土结构相比,可以充分发挥混凝土的三向受压性能,提高混凝土的抗压承载力,同时可以避免钢管发生屈曲破坏,具有承载力高和耐久性好等优点 [2].

目前对圆钢管混凝土柱 钢梁外加强环节点的研究较多 [3-5],而对圆 CFRP钢管混凝土柱 钢梁外加强环节点的研究较少.本文对圆 CFRP钢管混凝土柱 钢梁外加强环节点进行了详细探讨,通过有限元软件 ABAQUS分析了混凝土强度、轴压比、钢材强度、加强环板的厚度和加固形式等参数对节点力学性能的影响,希望能为圆 CFRP钢管混凝土柱 钢梁外加强环节点的研究提供一些参考.

1 基本材料的应力 应变关系

1.1 混凝土

混凝土的本构关系采用文献[6]给出的应力 应变关系,即

当ε cl ≤ε 0时,

(1)

当ε 0 cl cu 且ξ s ≥1.12时,

(2)

当ε 0 cl cu 且ξ s <1.12时,

(3)

当ε cl ≥ε cu 时,

(4)

式中:σ cl 为混凝土纵向应力;σ 0为混凝土极限压应力;ε cl 为混凝土纵向压应变;ε 0为混凝土极限压应变;ε cu CFRP断裂时的ε cl 值;ξ s 为钢管的约束效应系数;ξ为钢管和 CFRP管总的约束效应系数;β为 CFRP断裂前与ξ相关的系数;β s 为与ξ s 相关的变量;q、G、D为系数,其表达式为

(5)

G=ξ′(2.231-4.611ξ′)

(6)

D=ξ′(1.545-1.238ξ′)

(7)

其中,ξ′为约束效应系数比.

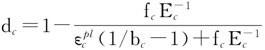
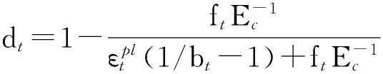
在有限元软件 ABAQUS中,混凝土采用塑性损伤模型,在低周往复荷载作用下,混凝土的弹性刚度将会损伤,因此,考虑核心混凝土在受压时的压损伤因子d c ,以及受拉时的拉损伤因子d t ,其计算公式为

(8)

(9)

式中:E c 为混凝土弹性模量,E c =4 0.5 为受约束混凝土的轴心抗压强度标准值;f c 为混凝土轴心抗压强度设计值;f t 为混凝土轴心抗拉强度设计值; 为混凝土没有考虑损伤时的受压塑性应变; 为混凝土没有考虑损伤时的受拉塑性应变;b c 为受压塑性应变与非弹性应变的比例系数,约取为0.8;b t 为受拉塑性应变与非弹性应变的比例系数,约取为0.8. ABAQUS软件会自动计算出软件所需要的有效应力.

1.2 钢材

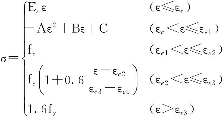
钢材的本构关系 [7]采用由典型钢材单轴应力状态下的应力 应变关系简化得出的表达式,即

(10)

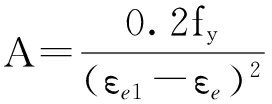
式中:E s 为钢材弹性模量;f y为钢材抗拉强度值;ε为钢材应变;ε e =0.8f y/E s ;ε e1 =1.5ε e ;ε e2 =10ε e1 ;ε e3 =100ε e1 ;A、B、C为系数,其表达式为

(11)

B=2Aε e1

(12)

(13)

1.3 碳纤维布

CFRP为碳纤维增强塑料,具有抗拉强度高、抗腐蚀性和抗耐久性好、自重轻及施工方便等优点 [8].在 CFRP开裂前为线弹性材料,满足胡克定律,其应力 应变关系 [9]

σ cf =E cf ε cf

(14)

式中:σ cf 为碳纤维布的应力;E cf 为碳纤维布的弹性模量;ε cf 为碳纤维布的应变.

2 有限元计算模型

CFRP钢管混凝土柱 钢梁外加强环节点有限元模型尺寸与文献[10]提供的各构件的实际尺寸一致.在材料属性选取中,钢材、碳纤维布和混凝土强度均为试验实测强度,其中混凝土强度采用28 d时抗压强度值58 MPa,钢材屈服强度取平均值为310.38 MPaCFRP的极限抗拉强度为4 900 MPa.图1为加强筋加固节点有限元模型图.在单元选取中,混凝土采用八节点减缩积分格式的三维实体单元( C3 D8 R);钢管、钢梁、加强环板、加强板和加强筋采用八节点减缩积分的三维实体单元; CFRP采用四节点膜单元( M3 D4).网格划分采用结构化网格技术,即将一些标准的网格模式应用于一些形状简单的几何区域,对于受力集中的部位细化网格,对于远离考察分析的区域可以粗化网格.

对于有限元模型各构件的接触问题,钢管与混凝土界面采用法向硬接触,切向采用库伦摩擦.本文假设钢管与 CFRP之间没有相对滑动,即钢管与 CFRP采用绑定接触.对于有限元模型的边界条件,柱底采用全约束,柱顶铰接,梁端释放上下和绕平面内转动的自由度,其余自由度约束.柱顶采用截面耦合下的集中力加载,梁端采用位移加载.

图1 加强筋加固节点有限元模型

Fig.1  Finite element model for rib reinforced joint

3 参数分析

3.1 模型验证

对本文建立的有限元模型进行验证,建立与文献[10]试验相同的模型,将梁端在低周往复荷载作用下所得的数值模拟结果与试验结果进行对比.

图2为本文 ABAQUS模拟结果与文献[9]试验结果的梁端荷载 位移滞回曲线对比图,其中, JQJJQB分别为加强筋加固和加强板加固的代号;03、06分别指轴压比为0.3和0.6;35、50分别指加强环板宽度为35和50 mm.通过对比发现,本文模拟值与文献[10]给出的试验值吻合良好,在误差允许范围内,证明本文所建立的有限元模型正确.

图2 数值模拟与试验结果滞回曲线对比

Fig.2  Comparison in hysteretic curves between numerical simulation and experimental results

3.2 混凝土强度的影响

图3给出了不同混凝土强度下的梁端荷载 位移曲线,其中,节点用加强板加固,轴压比为0.6,钢材强度等级一定.钢材强度为 Q235、 Q345、 Q390,混凝土强度等级为 C30、 C45、 C60.从图3中可以看出,同等钢材强度的节点模型,混凝土强度在使用 C30、 C45、 C60不同强度等级时,随着混凝土强度的提高,其极限承载能力提高的幅度较小,认为梁端加载荷载 位移骨架曲线基本一致,说明在低周往复荷载作用下混凝土强度对节点模型所提供的承载力影响效果不是很明显.

图3 不同混凝土强度的梁端荷载 位移曲线

Fig.3  Load- displacement curves for beam end with different concrete strength

3.3 钢材强度的影响

图4给出了不同钢材强度的梁端荷载 位移曲线.节点用钢筋进行加固,轴压比为0.6,混凝土强度等级一定.从图4中可以看到,当混凝土强度等级一定时,钢材的强度对节点模型承载力的大小影响显著,随着钢材强度的增大,极限承载力显著提高,说明在低周往复荷载作用下,钢材强度对节点所提供的承载力影响效果是很明显的.

图4 不同钢材强度的梁端荷载 位移曲线

Fig.4  Load- displacement curves for beam end with different steel strength

3.4 轴压比的影响

图5给出了加强筋加固节点,混凝土强度为 C60,钢材强度等级分别为 Q235、 Q345、 Q390时,不同轴压比下节点弯矩 转角曲线.从图5中可以看出,在同一钢材强度下,随着轴压比的变化,节点弯矩 转角曲线的变化不明显.

图5 不同轴压比的节点弯矩 转角曲线

Fig.5  Bending moment- rotation angle curves for joint with different axial compression ratio

3.5 加固形式的影响

图6、7分别为利用加强筋和加强板对节点进行加固的梁端荷载 位移曲线和弯矩 转角曲线.其中轴压比为0.3,混凝土强度等级为 C60.由图6可以看出,两种加固形式对梁端荷载 位移骨架曲线的影响不是很明显,说明节点加固对提高梁端荷载 位移曲线的极限承载力不明显.由图7可以看出,加固形式下的曲线斜率要高于无加固形式下的斜率,说明节点加固可以明显提高节点的刚度,使节点承受更大的弯矩.

图6 不同加固形式的梁端荷载 位移曲线

Fig.6     Load- displacement curves for beam end

with different reinforcement forms

图7 不同加固形式的节点弯矩 转角曲线

Fig.7     Bending moment- rotation angle curves for

joint with different reinforcement forms

3.6 加强环板厚度的影响

图8、9分别为不同加强环板厚度节点的梁端荷载 位移曲线和节点弯矩 转角曲线.加固形式分别为加强筋加固和加强板加固,钢材强度为 Q345,混凝土强度等级为 C60,轴压比为0.6,加强环板的厚度分别为8、9、10和12 mm.由图8可以看出,随着加强环板厚度的增加,节点的极限承载力逐渐增大,当厚度达到12 mm时,梁端荷载 位移骨架曲线与厚度为10 mm时的骨架曲线基本一致,承载力不再继续增加,因此,10 mm为此加强环板的经济值.当加强环板厚度为8和9 mm时,加强筋对节点加固后的极限承载力高于加强板对节点加固的极限承载力,塑性区的塑性变形能力也高于加强板对节点的加固.

图8 不同加强环板厚度的梁端荷载 位移曲线

Fig.8  Load- displacement curves for beam end of reinforced ring plate with different thicknesses

图9 不同加强环板厚度的节点弯矩 转角曲线

Fig.9  Bending moment- rotation angle curves for joint of reinforced ring plate with different thicknesses

由图9可以看出,随着加强环板厚度的增加,节点的极限弯矩值逐渐增大,当厚度达到12 mm时,极限弯矩值增加缓慢,节点弯矩 转角曲线与厚度为10 mm时的节点弯矩 转角曲线基本一致.当厚度为8和9 mm时,加强筋加固对节点刚度的提高要强于加强板加固对节点刚度的提高,且节点的延性要优于加强板对节点加固时的延性.

4 结 论

本文通过对圆 CFRP钢管混凝土柱 钢梁外加强环节点进行有限元分析,得到以下结论:

1) 混凝土强度对节点承载能力大小的影响不是很明显,而钢材强度对节点模型在低周往复荷载作用下承载能力大小的影响较为显著.随着钢材强度的提高,承载能力逐渐增大,因此,钢材强度等级是控制承载能力的主要因素之一,选择适当的混凝土强度,在满足承载力的情况下可降低经济成本.

2) 轴压比的变化对节点弯矩 转角曲线的影响较小.

3) 加强筋对节点的加固与加强板对节点的加固对提高节点的弯矩承载能力大小的影响不是很明显,只是提高了节点的刚度,使节点承受更大的弯矩,防止节点先于构件破坏.

4) 加强板厚度对节点的影响具有一定的局限性,随着加强板厚度的增加,节点的承载能力逐渐增大,当大于经济厚度10 mm时,节点的梁端荷载 位移骨架曲线变化不是很明显;当加强板厚度小于10 mm时,加强筋加固对节点刚度和承载力的提高要强于加强板加固形式;当加强板厚度大于等于10 mm时,加强筋加固和加强板加固对节点性能的影响是基本一样的.对于实际工程,可以通过判断不同的加强板厚度,从而选择不同的加固形式.

参考文献(References):

[1]王清杰,张延年,徐春一,等.钢管混凝土柱与 H型钢装配式节点抗震试验 [ J].沈阳工业大学学报,2014,36(3):355-360.

( WANG Qing- jieZHANG Yan- nianXU Chun- yiet al. Seismic test for fabricated connection of conrete filled steel tubular column and H shape steel beam[ J]. Journal of Shenyang University of Technology,2014,36(3):355-360.)

[2]王庆利,车媛,谭鹏宇,等. CFRP-钢管混凝土结构研究的进展与展望 [ J].工程力学,2010,27(增刊Ⅱ):48-60.

( WANG Qing- liCHE YuanTAN Peng- yuet al. Progress and prospect in rearch on concrete filled CFRP- steel tubular structures[ J]. Engineering Mechanics,2010,27( SupⅡ):48-60.)

[3]杜闯,李艳艳,宋倜.预应力 CFRP布三种粘贴方式对 RC梁受弯性能的影响 [ J].沈阳工业大学学报,2014,36(4):464-470.

( DU ChuangLI Yan- yanSONG Ti. Influence of three bonded ways for prestressed CFRP sheet on flexural properties of RC beams[ J]. Journal of Shenyang University of Technology,2014,36(4):464-470.)

[4] Song T YHan L HUy B. Performance of CFST co- lumn to steel beam joints subjected to simulated fire including the cooling phase[ J]. Journal of Constructional Steel Research,2010,66(4):591-604.

[5]杨文伟,陈鹏.钢管结构 K型搭接节点滞回性能参数分析 [ J].沈阳工业大学学报,2013,35(5):587-593.

( YANG Wen- weiCHEN Peng. Parametric analysis on hysteretic performance of unstiffened overlapped CHSK joints in steel tubular structure[ J]. Journal of Shenyang University of Technology,2013,35(5):587-593.)

[6]王庆利,朱贺飞,高轶夫.圆 CFRP-钢管约束混凝土轴压力作用下的本构关系 [ J].沈阳建筑大学学报(自然科学版),2007,23(2):199-203.

( WANG Qing- liZHU He- feiGAO Yi- fu. Constitutive relationship of concrete confined by circular CFRP- steel composite tube under concentrical load[ J]. Journal of Shenyang Jianzhu University( Natural Science),2007,23(2):199-203.)

[7]许硕娟.圆 CFRP钢管混凝土柱 钢梁节点的有限元模拟和分析 [ D].沈阳:沈阳建筑大学,2011.

( XU Shuo- juan. The finite element simulation and analysis of steel beam to concrete filled circular CFRP steel tubes column connections[ D]. ShenyangShenyang Jianzhu University,2011.)

[8]徐凌,宇翔,邸振禹.高效利用 CFRP加固预裂混凝土梁 [ J].沈阳工业大学学报,2015,37(2):219-224.

( XU LingYU XiangDI Zhen- yu. Pre- splitting concrete beams with efficient use of CFRP reinforcement[ J]. Journal of Shenyang University of Technology,2015,37(2):219-224.)

[9]顾威,李宏男,张美娜. CFRP钢管混凝土轴压短柱混凝土本构关系 [ J].大连理工大学学报,2011,51(4):545-548.

( GU WeiLI Hong- nanZHANG Mei- na. Constitutive relation of concrete of concrete- filled CFRP- steel tubular short columns with axial compression[ J]. Journal of Dalian University of Technology,2011,51(4):545-548.)

[10]郭友利. CFRP约束钢管混凝土柱 钢梁节点滞回性能的试验研究 [ D].沈阳:沈阳建筑大学,2009:37-65.

( GUO You- li. Experimental studies on cyclic behavior of steel beam to CFRP confined steel tube concrete columns connections[ D]. ShenyangShenyang Jianzhu University,2009:37-65.)

(责任编辑:钟 媛 英文审校:尹淑英)

Finite element analysis of joint with outside reinforced ring of concrete filled circular CFRP steel tube

WEI Hua, XU Bo

( School of Architecture and Civil Engineering, Shenyang University of Technology, Shenyang110870, China)

Abstract: In order to further study the mechanical properties of joint with outside reinforced ring of concrete filled circular CFRP steel tube, the effect of concrete strength, steel strength, axial compression ratio, thickness of reinforced ring plate and reinforcement forms on the mechanical properties of joint was analyzed with the finite element software ABAQUS. The numerical simulation for the joint model was performed under the action of low- cycle repeated loads. The results show that when the concrete strength and steel strength are constant, the bearing capacity of joint with outside reinforced ring keeps unchanged with increasing the axial compression ratio. The effect of thickness of reinforced ring plate on the bearing capacity of joint is large. With increasing the thickness of reinforced ring plate, the bearing capacity of joint obviously increases. However, when the thickness of reinforced ring plate increases to a certain limit value, the bearing capacity keeps basically unchanged. The reinforcement forms with reinforced plate and rib can obviously improve the stiffness of joint, and make the failure of steel beam ahead of that of joint, which can realize the seismic target of strong joint and week member.

Key words: concrete filled steel tube; joint with outside enforced ring; finite element; steel strength; concrete strength; axial compression ratio; bearing capacity; strong joint and week member

收稿日期:2015-09-21.

基金项目:沈阳市科技计划项目( F13-316-1-43).

作者简介:魏 华(1973-),女,山西交城人,副教授,博士,主要从事结构工程等方面的研究.

doi:10.7688/ j. issn.1000-1646.2016.03.21

中图分类号: TU398.9

文献标志码: A

文章编号:1000-1646(2016)03-0355-06

*本文已于2016-03-02 16∶42在中国知网优先数字出版. 网络出版地址: http:∥ www. cnki. net/ kcms/ detail/21.1189. T.20160302.1642.010. html