刘政军, 芦延鹏, 苏允海, 马大海, 陈思含
(沈阳工业大学 材料科学与工程学院, 沈阳 110870)
摘 要:为了研究纵向磁场对焊接接头的显微组织、冲击韧性和抗拉强度的影响,利用纵向磁场辅助MAG焊焊接WQ960高强钢.纵向磁场的施加提高了焊接接头的抗拉强度、冲击吸收功和冲击韧性,改善了焊接接头的显微组织,且焊接接头的显微组织主要由细小的针状铁素体构成.结果表明,当励磁电流达到2.5 A且磁场频率为20 Hz时,焊接接头的抗拉强度和低温冲击功均可达到最大值,分别为839 MPa和72 J,且分别提高了17.01%和24.14%;先共析铁素体和侧板条铁素体数量相应减少,因而形成了更多的针状铁素体.
关 键 词:低合金高强钢; 纵向磁场; 力学性能; 先共析铁素体; 针状铁素体; 侧板条铁素体; 冲击韧性; 抗拉强度
作为一种高强度、高韧性的钢材,低合金高强钢广泛应用于工程机械、桥梁和汽车船舶等领域.相比其他钢材,低合金高强钢在节能减排、降低能耗和可持续发展等方面优势明显,因而受到越来越多的关注[1].然而,在焊接状态下,低合金高强钢因受到热循环作用,其组织和性能会发生变化,因而限制了其使用范围.因此,解决低合金高强钢在焊接过程中的相关问题,提高焊接接头的质量,对于进一步扩大低合金高强钢的使用范围而言显得十分重要.
相比传统焊接方法,磁控焊接法能更好地控制焊接接头的质量,因而享有“无损焊接”的美誉.利用外加磁场对焊接中的熔滴过渡、熔池金属流动、熔池结晶形核及结晶生长等过程进行有效地干预,能够使焊缝金属的一次结晶组织得到细化,减小化学不均匀性,提高焊缝金属的塑性和韧性,降低结晶裂纹和气孔的敏感性,从而提高焊缝金属的性能,全面改善焊接接头的质量[2].外加纵向磁场焊接技术因具有附加装置简单、投入成本低、效益高、环保等优点,在冶金、化工、压力容器、电力、航空和航天等领域得到了广泛应用[3-4].本文通过相关试验与分析,研究了在纵向磁场作用下,低合金高强钢焊接接头性能及组织的变化与机理.
试验母材为WQ960,其抗拉强度为980 MPa,且规格为200 mm×60 mm×6 mm.选用JM-100为填充焊丝,其抗拉强度为715 MPa,直径为1.2 mm.母材和焊丝的化学成分分别如表1、2所示.
表1 母材的化学成分(w)
Tab.1 Chemical composition of base metal(w) %

表2 焊丝的化学成分(w)
Tab.2 Chemical composition of welding wire(w) %

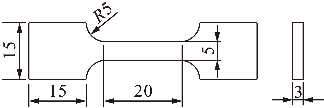
焊接接头采用V形坡口平板形式对接,板材试样尺寸如图1所示(单位:mm).其中,坡口角度为60°;钝边宽度为2 mm;板间距为3 mm.坡口采用机械加工方法制备,焊前需要对坡口进行除锈打磨.为了减小热输入对试验结果产生的影响,试板焊前不需要进行预热处理,采用单层单道焊的焊接方法.保护气体选用Ar与CO2的混合气体(Ar与CO2的体积分数比为4∶1),气体流量为16~17 L/min,焊接电压为24 V,焊接电流为220 A,焊接速度为4 mm/s.焊接时施加的磁场电流分别为1、1.5、2、2.5和3 A,施加的磁场频率分别为5、10、15、20和25 Hz.
试验中采用外加纵向磁场辅助MAG焊的焊接方法,试验装置示意图如图2所示.焊接磁控系统主要由磁场电源和励磁线圈组成,且励磁线圈套于焊枪上.在焊接过程中,可以通过调节磁场电源的电流和频率,改变作用于焊接熔池的磁场参数.

图1 板材试样的尺寸
Fig.1 Size of plate specimen

图2 试验装置示意图
Fig.2 Schematic test device
完成焊接后,将焊件制备成相应的试件,并进行拉伸和冲击力学试验.根据GB/T 2649-1989的规定,应在垂直于焊缝方向获取拉伸试件,且拉伸试件尺寸如图3所示(单位:mm).利用电子万能试验机对试件进行拉伸试验,设定拉伸速率为5 mm/min,拉伸试验应进行至试样断裂为止.结合计算机分析,可以得到焊接接头的拉伸性能参数.在相同条件下,对每组试验分别进行3次,取其平均值作为该组试验的测定值.根据金属材料力学性能取样标准,在垂直于焊接方向上截取冲击试件,去除焊缝余高后,制得尺寸为5 mm×10 mm×55 mm的非标准冲击试件.冲击试件的缺口深度为2 mm,V型角度为45°,试验温度为-20 ℃.采用OLNMPUS BX-6型光学显微镜对焊接接头进行显微组织观察与分析.

图3 拉伸试样的尺寸
Fig.3 Size of tensile specimen
2.1 焊接接头的组织与力学性能
图4为焊接接头的显微组织.其中,Im为励磁电流;f为磁场频率.由图4a可见,当未施加外磁场时,焊接接头的显微组织主要由针状铁素体(AF)、先共析铁素体(PF)和侧板条铁素体(FSP)构成.先共析铁素体沿奥氏体晶界(AGB)析出,并完全将其覆盖;侧板条铁素体由奥氏体晶界向晶内生长;奥氏体晶内主要由相互交织分布的针状铁素体构成.由图4b可知,当励磁电流为2 A、磁场频率为20 Hz时,焊接接头显微组织中的针状铁素体数量明显增加;奥氏体晶界上仅存在少量断续分布的先共析铁素体;侧板条铁素体数量也明显减少,且与无磁场作用下焊缝的显微组织相比,侧板条铁素体的晶粒尺寸大幅度减小.由图4c可知,当励磁电流为2.5 A、磁场频率为25 Hz时,焊接接头显微组织中的先共析铁素体基本消失,与图4b中焊缝的显微组织相比,其奥氏体晶界处侧板条铁素体的尺寸和数量均有所增加.

图4 焊接接头的显微组织
Fig.4 Microstructures of welded joint
试验测得当未施加纵向磁场时,焊接接头的抗拉强度和低温(-20 ℃)冲击功分别为717 MPa和58 J.焊接接头的抗拉强度与低温冲击功随磁场频率的变化曲线分别如图5、6所示.由图5、6可知,当励磁电流小于2.5 A且磁场频率小于20 Hz时,焊接接头的抗拉强度和低温冲击功均随着励磁电流和磁场频率的增加而有所增加.当励磁电流达到2.5 A,磁场频率达到20 Hz时,焊接接头的抗拉强度和低温冲击功均达到最大值,且分别为839 MPa和72 J,相比未施加纵向磁场时的数值分别提高了17.01%和24.14%.由图5、6还可以观察到,若继续增加励磁电流和磁场频率,焊接接头的抗拉强度和低温冲击功反而有所降低.

图5 焊接接头的抗拉强度随磁场频率的变化
Fig.5 Change of ultimate tensile strength with magnetic field frequency for welded joint

图6 焊接接头的低温冲击功随磁场频率的变化
Fig.6 Change of low temperature impact energy with magnetic field frequency for welded joint
结合焊接接头的显微组织分析可知,低合金高强钢焊接接头抗拉强度的提高主要归因于磁场作用引发的晶粒细化现象.随着励磁电流的增加,当电磁阻尼作用占据磁场作用的主导地位时,熔池的对流现象会受到抑制,同时热量传导也会受到抑制,使得熔池金属的过冷度减小,针状铁素体的形核率下降,从而导致晶粒变得粗大.当外加磁场频率增大到一定程度时,由于磁场方向变化过快,熔池内液态金属的交替运动也随之变快,导致液态金属在未发生大范围移动时就会受到磁场方向改变所产生的反向电磁力的作用,使得液态金属的移动受到限制,并从某种程度上削弱了电磁搅拌作用.因此,焊接接头组织又出现了粗化现象,且其抗拉强度也有所降低.虽然在磁场作用下,焊接接头中夹杂物的数量、尺寸和分布也会发生变化,但抗拉强度和屈服强度主要受其显微组织的影响,而夹杂物的尺寸、分布和形态主要影响焊接接头的塑性[5].
磁场对焊接接头低温冲击功的影响较为复杂,需要结合断口进行进一步分析.冲击断口通常由纤维区、放射区和剪切唇组成.其中,断口的放射区属于脆断区,且该区所消耗的能量相比发生塑性断裂的纤维区要少很多,这是因为裂纹扩展功主要消耗在经过塑性变形形成的韧窝上[6].因此,本文主要针对焊接接头的纤维区进行分析.
图7为低合金高强钢焊接接头的低温冲击断口的微观组织.由图7可见,焊接接头断口形貌为典型的等轴韧窝,且韧窝底部为夹杂物或微孔,表明韧窝的产生机理为微孔聚集型断裂.当未施加纵向磁场时,焊接接头断口的韧窝较浅且尺寸较小(见图7a).当励磁电流为2 A、磁场频率为20 Hz时,焊接接头断口中大韧窝数量明显增多,且韧窝深度也有所增加(见图7b).

图7 低温冲击断口的SEM图像
Fig.7 SEM images of low temperature impact fracture surfaces
结合焊接接头的显微组织分析可知,在磁场作用下,低合金高强钢焊接接头的针状铁素体明显增加,而先共析铁素体的生长则受到了抑制.因为裂纹在晶界先共析铁素体中的扩展速度较快,其消耗的能量相对较少,因而所形成的韧窝相对小而浅.由于晶内针状铁素体属于大角度晶界,彼此之间可以形成相互交织的结构,导致裂纹扩展的路线增加,焊接接头对裂纹扩展的抵抗能力增强,使得裂纹扩展所产生的塑性变形与所消耗的能量均较大,因而形成的韧窝相对大而深[7].此外,晶粒细化导致晶体中晶界的数量大量增加,晶界的存在也进一步阻碍了裂纹的扩展,使得焊缝金属的冲击功增大,且冲击韧性得到了提高.
2.2 纵向磁场对焊接接头的影响
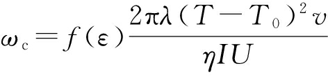
纵向磁场主要从冷却速度和夹杂物两个方面影响焊接接头的组织和性能[8].根据Villafuerte[9]提出的理论可知,先共析铁素体在奥氏体晶界形核后,会以平面方式进行生长,其生长速度取决于界面前沿奥氏体中碳的扩散速度.焊缝金属的瞬时冷却速度可以表示为
![]()
(1)
式中:f(ε)为修正系数;T为瞬时温度;T0为预热温度;v为焊接速度;I为焊接电流;U为焊接电压;η为热效率;λ为导热系数.
在试验过程中,v和U均恒定不变.由于试验环境相对稳定,也可将f(ε)视为常数.一方面,在纵向磁场作用下,电弧发生旋转,从而导致实际焊接电流减小[10].因此,随着磁场频率的增加,实际焊接电流将减小,从而使冷却速度增加.另一方面,电磁搅拌作用将加速熔池热量的散失,从而可以进一步加快冷却速度.由于碳来不及向奥氏体晶界外扩散,使得先共析铁素体的生长受到了抑制.若磁场频率继续增加,将使实际焊接电流变得更小,且热量散失得更快,冷却速度将进一步增大,而冷却速度过大将促进侧板条铁素体的生长,导致焊接接头的晶粒发生粗化.
针状铁素体可在晶内夹杂物或在已形成的针状铁素体上形核(感生形核),但是并不是所有夹杂物都能成为针状铁素体的形核基底,只有尺寸介于0.2~0.6 μm的夹杂物才有利于针状体素体的形核,而夹杂物尺寸过大将降低焊接接头的韧性.在冲击试验中,由于韧窝底部的空穴通常在大尺寸夹杂物附近形成,从而降低了焊接接头的冲击韧性.在磁场的电磁搅拌作用下,熔池金属发生搅动,增加了熔池金属与保护气体中的氧化性气体CO2的接触机会,从而促进了氧化物的形成,增加了夹杂物的数量.熔池金属在洛伦兹力作用下,可以加剧熔池金属的对流.根据Ostwald理论可知,较大的夹杂物将通过碰撞吞噬较小的夹杂物,从而形成更大的夹杂物.由于夹杂物的密度远低于液态金属的密度,夹杂物倾向于向液态金属表面上浮而形成熔渣,并最终被去除.假设熔池金属为理想溶液,根据Stockes定律可知,夹杂物上升速度可以表示为
![]()
(2)
式中:ρm为液态金属的密度;ρz为夹杂物的密度;r为夹杂物的半径;ηm为熔池金属的粘度;g为重力加速度.根据式(2)可知,尺寸较大的夹杂物更容易上浮到焊接接头表面,而尺寸较小的夹杂物将留在焊接接头中,并作为针状铁素体的形核基底.此外,由于在洛伦兹力作用下,熔池金属将产生剧烈搅拌,机械搅拌将有助于破损先期形成的大晶粒,而破碎的晶粒又可以作为焊缝金属的形核基底,从而增加形核率,进一步细化焊接接头的显微组织,并提高焊缝金属的抗拉强度和冲击韧性.
通过以上试验分析,可以得到如下结论:
1) 随着励磁电流与磁场频率的增加,焊接接头的晶粒尺寸先减小后增大,相应的抗拉强度与冲击韧性则呈现出先增大后减少的趋势;
2) 当励磁电流为2.5 A、磁场频率为20 Hz时,焊接接头的抗拉强度和低温冲击功均达到最大值,且分别为839 MPa和72 J,相比未施加磁场时分别提高了17.01%和24.14%;
3) 在焊接过程中,纵向磁场的施加可以改善焊接接头的显微组织,使得先共析铁素体和侧板条铁素体相应减少,而形成更多的针状铁素体;
4) 施加纵向磁场后,焊缝金属低温断口纤维区的韧窝变得相对大而深.
参考文献(References):
[1]许红,李亚江,马群双.980 MPa级高强钢焊接性的研究现状 [J].现代焊接,2012(4):5-7.
(XU Hong,LI Ya-jiang,MA Qun-shuang.Present situation of the study on the weld ability of 980 MPa grade high strength steel [J].Modern Welding Technology,2012(4):5-7.)
[2]刘政军,陆璐,苏允海,等.纵向磁场对TIG焊电弧形态的影响 [J].沈阳工业大学学报,2015,37(1):34-38.
(LIU Zheng-jun,LU Lu,SU Yun-hai,et al.Effect of longitudinal magnetic field on arc profile of TIG welding [J].Journal of Shenyang University of Technology,2015,37(1):34-38.)
[3]苏允海,蒋焕文,吴德广,等.镁合金磁控 TIG 焊工艺参数的优化设计 [J].焊接学报,2012,33(12):85-88.
(SU Yun-hai,JIANG Huan-wen,WU De-guang,et al.Optimum design of magnesium alloy welding parameters with TIG under magnetic field [J].Tran-sactions of the China Welding Institution,2012,33(12):85-88.)
[4]江淑园,张学武,陈焕明.外加纵向磁场对GTAW焊接不锈钢接头宏观形貌及组织的影响 [J].上海交通大学学报,2010,44(增刊):89-91.
(JIANG Shu-yuan,ZHANG Xue-wu,CHEN Huan-ming.Effect of external longitudinal magnetic field on weld formation and microstructure in GTAW welding [J].Journal of Shanghai Jiaotong University,2010,44(Sup):89-91.)
[5]苏允海,温小波,刘铎,等.磁场电流对镁合金焊接接头疲劳性能的影响 [J].焊接学报,2011,32(4):79-82.
(SU Yun-hai,WEN Xiao-bo,LIU Duo,et al.Effect of magnetic field current on fatigue properties of magnesium alloy welded joint [J].Transactions of the China Welding Institution,2011,32(4):79-82.)
[6]宗琳,苏允海,刘政军.磁场参数对镁合金焊接接头力学性能的影响 [J].焊接学报,2012,33(9):61-64.
(ZONG Lin,SU Yun-hai,LIU Zheng-jun.Effect of magnetic field parameters on properties of magnesium alloy welded joint [J].Transactions of the China Welding Institution,2012,33(9):61-64.)
[7]蒋庆磊.800 MPa 高强钢 GMAW 接头组织性能及精细结构研究 [D].济南:山东大学,2011.
(JIANG Qing-lei.Investigation of microstructure properties and fine structure of 800 MPa high strength steel joints by GMAW [D].Jinan:Shandong University,2011.)
[8]黄国安,余圣甫,谢明立,等.低合金钢焊缝的针状铁素体微观形貌 [J].焊接学报,2008,29(3):45-48.
(HUANG Guo-an,YU Sheng-fu,XIE Ming-li,et al.Acicular ferrite microstructure of weld metal for low-alloy steel [J].Transactions of the China Welding Institution,2008,29(3):45-48.)
[9]Villafuerte J C,Kerr H W.Electromagnetic stirring and grain refinement in stainless steel GTA welds [J].Welding Journal,1990,69(1):1-13.
[10]刘政军,温小波,苏允海.外加磁场电流对镁合金焊接接头力学性能的影响 [J].沈阳工业大学学报,2012,34(3):258-262.
(LIU Zheng-jun,WEN Xiao-bo,SU Yun-hai.Effect of imposed magnetic field current on mechanical pro-perties of magnesium alloy welded joint [J].Journal of Shenyang University of Technology,2012,34(3):258-262.)
(责任编辑:尹淑英 英文审校:尹淑英)
LIU Zheng-jun, LU Yan-peng, SU Yun-hai, MA Da-hai, CHEN Si-han
(School of Materials Science and Engineering, Shenyang University of Technology, Shenyang 110870, China)
Abstract:In order to study the effect of longitudinal magnetic field on the microstructure, impact toughness and ultimate tensile strength of welded joint, the longitudinal magnetic field was used to assist the MAG welding of WQ960 high strength steel. Through imposing the longitudinal magnetic field, the ultimate tensile strength, impact absorbing energy and impact toughness of welded joint are enhanced, the microstructure of welded joint gets improved, and the microstructure is mainly composed of fine acicular ferrite. The results show that when the exciting current reaches 2.5 A and the field frequency is 20 Hz, both ultimate tensile strength and low temperature impact energy of welded joint can reach the maximum value. And the corresponding values are 839 MPa and 72 J, which increase by 17.01% and 24.14%, respectively. The quantity of proeutectoid ferrite and side plate ferrite relatively reduces, while more acicular ferrite forms.
Key words:high strength low alloy steel; longitudinal magnetic field; mechanical property; proeutectoid ferrite; acicular ferrite; side plate ferrite; impact toughness; ultimate tensile strength
收稿日期:2015-06-29.
基金项目:辽宁省博士启动基金资助项目(20131017); 辽宁省教育厅基金资助项目(201124125).
作者简介:刘政军(1961-),男,黑龙江讷河人,教授,博士生导师,主要从事焊接冶金、特种焊接材料与表面强化等方面的研究.
doi:10.7688/j.issn.1000-1646.2016.04.04
中图分类号:TG 406
文献标志码:A
文章编号:1000-1646(2016)04-0379-05
*本文已于2015-12-07 16∶16在中国知网优先数字出版. 网络出版地址: http:∥www.cnki.net/kcms/detail/21.1189.T.20151207.1616.018.html