黄志强, 刘 鑫, 皮新萌
(沈阳工业大学 建筑与土木工程学院, 沈阳 110870)
摘 要:针对混凝土的早期开裂问题,设计了PVA-尾矿砂水泥基复合材料三点弯曲梁试验,研究了尾矿砂掺量、缝高比、纤维掺量以及使用条件对断裂韧度和断裂能的影响规律.通过试验得出P-δ曲线和P-COMD曲线,并计算断裂韧度和断裂能.结果表明:断裂韧度与缝高比成反比,且随着纤维掺量的增加而增加,但尾矿砂对断裂韧度的影响却很小;断裂能随纤维掺量的增加而增加,随尾矿砂掺量的增加而降低;正常使用条件下的断裂能、断裂韧度计算值比腐蚀使用条件下的断裂能、断裂韧度计算值均增大约10%.
关 键 词:三点弯曲; 水泥基复合材料; 纤维掺量; 尾矿砂掺量; 缝高比; 起裂断裂韧度; 失稳断裂韧度; 断裂能
自从1961年Kaplan进行了断裂韧度试验,首次将断裂力学的概念应用于混凝土中,随后有关学者针对混凝土的断裂性能进行了大量的试验研究工作,断裂力学被逐渐应用于研究混凝土的断裂特性,成为继弹性力学和塑性力学之后第三个指导混凝土结构设计的力学依据.1980年潘家铮提出断裂力学可能是水工设计中的一种有用的工具,利用断裂力学分析了水工结构裂缝,同年,于骁忠和居襄发表了混凝土断裂韧度的试验研究成果.继此,国内学者[1-7]对混凝土断裂特性的研究也陆续展开,并取得了重要研究成果,大连理工大学教授徐世烺[8-10]等人在大量试验的基础上,于2005年制定了《水工混凝土断裂试验规程》[11],统一了混凝土断裂韧度的测试方法,为混凝土坝的断裂试验提供了统一的标准.但是,目前关于将断裂力学用于PVA-尾矿砂水泥基复合材料的研究仍比较少,因此,本文基于三点弯曲梁试验,利用断裂力学的研究方法,分析了采用不同骨料、纤维掺量、缝高比和使用条件等因素对材料力学性能的影响,找到力学性能的最优化配合比.
试验中采用42.5硅酸盐水泥、Ⅰ级粉煤灰、西卡减水剂,细骨料采用粒径为0.15 mm尾矿砂和粒径为0.3 mm天然砂,其中尾矿砂为本溪红透山铁矿尾矿砂,PVA纤维为泰安同伴PVA纤维.PVA纤维特性如表1所示.部分试验材料如图1所示.
表1 PVA纤维特性
Tab.1 Features of PVA fiber


图1 部分试验材料
Fig.1 Sectional experimental materials
水泥基复合材料的投料与搅拌工艺如图2所示,试件尺寸为100 mm×100 mm×400 mm的三点弯曲梁.试件分为两部分:常态养护条件下三点弯曲;盐化腐蚀使用条件下三点弯曲,此条件下试件需正常养护28 d后,再放入5%氯化钙溶液进行浸泡盐化腐蚀28 d.尾矿砂的掺量为0%、50%和100%,纤维的掺量为1.5%和2%,预制裂缝的制作方法采用锯切裂缝,缝宽控制在(3±1) mm,缝高为2、3和4 cm,即缝高比分别为0.2、0.3和0.4,水灰比为0.32,粉煤灰的替代率为54.5%,减水剂为高效减水剂,掺量为0.75%.

图2 投料与搅拌工艺
Fig.2 Material feeding and stirring process
试件编号可描述为:W代表尾矿砂百分比;X代表纤维掺量;F代表缝高比;Z代表正常使用条件;Y代表盐化使用条件.如WXFZ-0-1.5-2代表正常使用条件下,尾矿砂掺量为0%,纤维掺量为1.5%,预制裂缝高度为2 cm.
图3为三点弯曲试验示意图.用电液伺服结构试验系统对试件进行加载,采用等速位移控制,加载速度为0.08 mm/min.利用计算机采集系统记录试件破坏全程的数据,同时利用非接触式视频测量仪进行全程录像,采集位移、应变、挠度和缝宽的变化情况.

图3 三点弯曲试验示意图
Fig.3 Schematic three point bending test
尾矿砂水泥基复合材料属于韧性材料,试件在弯曲过程中会出现许多裂缝现象,应变会发生硬化,本文分别采用了断裂韧度和断裂能的概念来进行韧性评价.
3.1 三点弯曲试验现象与试验曲线分析
荷载随位移增加成线性增加,观察试件表面有极微小的裂纹在裂缝尖端出现,此时进入试件的起裂阶段,这时的裂纹并不明显,但试件已有一定的挠度,在位移
荷载曲线中,荷载随位移继续增长.随着时间的推移,裂纹自下向上扩展,荷载随位移不再线性变化,增长幅度下降,曲线平缓,慢慢的裂纹扩展至试件高度的一半,此时进入峰后阶段,裂纹已很明显,纤维断裂的声音较之前更快更密集,荷载随位移增加开始下降,直到试件最终彻底断裂,如图4所示.WXF-0-1.5-3组试件,在正常养护条件下的起裂荷载为5.75 kN,最大荷载平均值为7.07 kN,最大荷载对应挠度值为0.89 mm,CMOD(裂缝口张开位移)值为0.70 mm;在腐蚀使用条件下起裂时的荷载为3.66 kN,最大荷载平均值为6.19 kN,最大荷载时对应的挠度值为0.55 mm,CMOD值为0.88 mm,试件的最大挠度为5.86 mm.
3.2 断裂韧度计算及分析
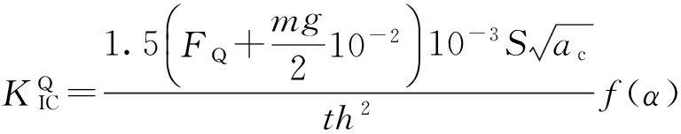
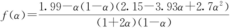
起裂断裂韧度
的计算公式为

(1)![]()
(2)
![]()
(3)
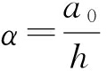
式中:FQ为起裂荷载;m为试件支座间的质量;g为重力加速度;S为试件两支座间的跨度;ac为有效裂缝长度;t为试件厚度;h为试件高度;a0为初始裂缝长度.
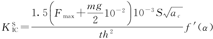
失稳断裂韧度
的计算公式为

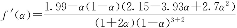
(4)![]()
(5)
式中,Fmax为最大荷载.断裂韧度的计算结果如表2所示.

图4 不同使用条件下WXF-0-1.5-3荷载
挠度及荷载-CMOD曲线
Fig.4 Load-deflection and load-CMOD curves for WXF-0-1.5-3 under different working conditions
图5为断裂韧度
尾矿砂掺量的关系.由图5可知,在同一缝高比、同一种纤维掺量、正常使用条件下,尾矿砂掺量为50%相比于尾矿砂掺量为0%时起裂断裂韧度增大约3%,尾矿砂掺量为100%相比于尾矿砂掺量为50%时起裂断裂韧度减小约15%,随着尾矿砂的含量增大,失稳断裂
表2 断裂韧度计算结果
Tab.2 Calculated results of fracture toughness MPa·m1/2

韧度增大幅度较小,一般为0.9%~5%.由表2可知,在腐蚀使用条件下,起裂断裂韧度变化规律同正常使用条件下相似,尾矿砂含量多少对失稳断裂韧度影响并不十分明显,约为2%.

图5 断裂韧度
尾矿砂掺量的关系
Fig.5 Relationship between fracture toughness and tailing sand content
图6为断裂韧度
缝高比的关系.由图6可知,在同一尾矿砂掺量、同一种纤维掺量、正常使用条件下,缝高比越大,断裂韧度越小,缝高比为0.3的试件的断裂韧度与缝高比为0.2的试件相比,起裂断裂韧度减小量约为18%以上,失稳断裂韧度减小量约为10%以上.缝高比为0.4的试件的断裂韧度与缝高比为0.3的试件相比,起裂断裂韧度减小量约为15%以上,失稳断裂韧度减小量约为5%以上.由表2可知,在腐蚀使用条件下,缝高比越大,断裂韧度越小,缝高比为0.3的试件的断裂韧度与缝高比为0.2的试件相比,起裂断裂韧度减小量约为30%以上,失稳断裂韧度减小量约为7%以上.缝高比为0.4的试件的断裂韧度与缝高比为0.3的试件相比,起裂断裂韧度减小量约为3%以上,失稳断裂韧度减小量约为4%以上.因此,在缝高比逐渐增大的过程中,断裂韧度的减小量逐渐变小.
图7为断裂韧度
纤维掺量的关系,其中,图7b的尾矿砂掺量为100%,缝高比为0.3.由图7可知,在同一尾矿砂掺量、同一缝高比、正常使用条件下,纤维掺量为2%时,断裂韧度较大,与纤维掺量为1.5%相比,起裂断裂韧度和失稳断裂韧度均增大约25%.在腐蚀条件下,纤维掺量在2%时断裂韧度最大,与纤维掺量为1.5%相比,起裂断裂韧度、失稳断裂韧度均增大约20%.因此,由于腐蚀条件的作用,起裂断裂韧度的减小程度较大.

图6 断裂韧度
缝高比的关系
Fig.6 Relationship between fracture toughness and crack-depth ratio

图7 断裂韧度
纤维掺量的关系
Fig.7 Relationship between fracture toughness and fiber content
图8为WXF-0-1.5-2的断裂韧度与使用条件的关系图.由图8可知,在尾矿砂掺量相同、纤维掺量相同、缝高比相同、正常使用条件下,断裂韧度与腐蚀使用条件下相比,起裂断裂韧度大40%,失稳断裂韧度大20%.

图8 断裂韧度与使用条件的关系
Fig.8 Relationship between fracture toughness and working conditions
3.3 断裂能计算及分析
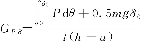
通过测量P-δ曲线,计算断裂能,其表达式为

(6)
式中:δ0为荷载P下降到接近零时对应的位移;a为裂缝高度.表3为断裂能计算结果.
表3 断裂能计算结果
Tab.3 Calculated results of fracture energy

图9为纤维掺量为1.5%、缝高比为0.3时断裂能与尾矿砂掺量变化关系.由图9可知,在同一缝高比、同一种纤维掺量、正常使用条件下,随着尾矿砂含量的增加,断裂能基本呈现逐渐减少的趋势,减小量约为25%以上;在腐蚀使用条件下,断裂能减小量约为10%以上.其中有几组的变化趋势不是很明显,主要原因是一方面为裂缝的预制过程中人工控制可能会出现一些偏差,但偏差并不是很大,另一方面为纤维的分布方式也会影响断裂能的大小.

图9 断裂能与尾矿砂掺量变化关系
Fig.9 Relationship between fracture energy and tailing sand content
图10为尾矿砂掺量为0%、纤维掺量为2%时断裂能与缝高比变化关系.由图10可知,在同一配合比、同一种纤维掺量、正常使用条件下,随着缝高比的增加,断裂能逐渐降低,降低大小为3%~20%;在腐蚀养护条件下,断裂能降低为5%~30%.因此,缝高比越大,断裂能越小.

图10 断裂能与缝高比变化关系
Fig.10 Relationship between fracture energy and crack-depth ratio
在同一缝高比、正常使用条件下,对于尾矿砂掺量为0%、50%、100%的三组试件,随着纤维掺量的增大,其断裂能增大量分别约为100%、25%、100%;在同一缝高比、腐蚀使用条件下,对于尾矿砂掺量为0%、50%、100%的三组试件,随着纤维掺量的增大,其断裂能增大量分别约为80%、30%、80%.图11为尾矿砂掺量为50%、缝高比为0.2的断裂能与纤维掺量变化关系.

图11 断裂能与纤维掺量变化关系
Fig.11 Relationship between fracture energy and fiber content
图12为尾矿砂掺量为0%、纤维掺量为1.5%、缝高比为0.2的断裂能与使用条件变化关系.由图12可知,同一种配合比、正常使用条件下比腐蚀使用条件下的断裂能高约30%,但配合比不同,使用条件对断裂能的影响量略有差别,根据表3的数据可知,尾矿砂掺量越高,养护条件对断裂能的影响越小.

图12 断裂能与使用条件变化关系
Fig.12 Relationship between fracture energy and working conditions
通过对PVA-尾矿砂水泥基复合材料三点弯曲试验断裂问题进行研究,可以得出如下结论:
1) 断裂能在正常使用条件下,随纤维掺量的增加而增大,纤维掺量为2%的断裂能较掺量为1.5%大20%以上,随尾矿砂掺量的增大而减小,减小量约为3%~20%.在腐蚀使用条件下,断裂能随着缝高比的增大而减小,减小量约为5%~30%,随纤维掺量的增大而增大,纤维掺量为2%的断裂能较掺量为1.5%大30%以上,随尾矿砂掺量的增大而减小,减小量约为15%.正常使用条件下的断裂能计算值比腐蚀使用条件下的断裂能计算值大约10%.
2) 断裂韧度在正常使用条件下,随缝高比的增大而减小,且其减小量为5%以上,随纤维掺量的增大而增大,纤维掺量为2%的断裂韧度较掺量为1.5%大10%以上,而尾矿砂掺量对其影响很微小.在腐蚀使用条件下,断裂韧度随着缝高比的增大而减小,减小量约为10%以上,随纤维掺量的增大而增大,纤维掺量为2%的断裂韧度较掺量为1.5%大20%以上,而尾矿砂掺量对其影响很微小.正常使用条件下的断裂韧度计算值比腐蚀使用条件下的断裂韧度计算值大约10%.
3) 根据断裂能及断裂韧度的数据分析,可以选择配合比WX-50-2作为最优配合比.
参考文献(References):
[1]沈新普,冯金龙,代树红,等.基于DSCM的混凝土结构变形局部化试验 [J].沈阳工业大学学报,2008,30(2):212-218.
(SHEN Xin-pu,FENG Jin-long,DAI Shu-hong,et al.Experimental study on deformation localization of concrete structures with DSCM [J].Journal of Shenyang University of Technology,2008,30(2):212-218.)
[2]张廷毅,高丹盈,郑光和,等.三点弯曲下混凝土断裂韧度及影响因素 [J].水利学报,2013,44(5):601-607.
(ZHANG Ting-yi,GAO Dan-ying,ZHENG Guang-he,et al.Fracture toughness of concrete and influencing factors under three-point bending [J].Journal of Hydraulic Engineering,2013,44(5):601-607.)
[3]蒋梅玲,金贤玉,田野,等.基于断裂力学和损伤理论的混凝土开裂模型 [J].浙江大学学报(工学版),2011,45(5):948-953.
(JIANG Mei-ling,JIN Xian-yu,TIAN Ye,et al.New concrete cracking model established based on fracture menchanics and damage theoty [J].Journal of Zhejiang University(Engineering Science),2011,45(5):948-953.)
[4]高原,张君,韩宇栋.硫酸盐侵蚀环境下混凝土断裂参数衰减规律 [J].建筑材料学报,2011,14(4):465-472.
(GAO Yuan,ZHANG Jun,HAN Yu-dong.Decay of fracture parameters of concrete under sulfate environments [J].Journal of Building Materials,2011,14(4):465-472.)
[5]罗素蓉,李豪.纤维自密实混凝土断裂能试验研究 [J].工程力学,2010,27(12):119-123.
(LUO Su-rong,LI Hao.Exrerimental investigation on the fracture energy of fiber reinforced self-compacting concrete [J].Engineering Mechanics,2010,27(12):119-123.)
[6]张廷毅,李庆斌,汪自力,等.钢纤维高强混凝土断裂韧度及影响因素 [J].硅酸盐学报,2012,40(5):638-645.
(ZHANG Ting-yi,LI Qing-bin,WANG Zi-li,et al.Fracture toughness of steel fiber reinforced high strength concrete and influencing factors [J].Journal of the Chinese Ceramic Society,2012,40(5):638-645.)
[7]胡少伟,陆俊,范向前.混凝土断裂试验中的声发射特性研究 [J].水力发电学报,2011,30(6):16-19.
(HU Shao-wei,LU Jun,FAN Xiang-qian.Study on acoustic emission technique for normal concrete fracture test [J].Journal of Hydroelectric Engineering,2011,30(6):16-19.)
[8]高淑玲,徐世烺,袁全,等.混杂钢纤维高强混凝土断裂特性研究 [J].大连理工大学学报,2011,51(4):561-566.
(GAO Shu-ling,XU Shi-lang,YUAN Quan,et al.Study of fracture properties of hybrid-steel fiber reinforced high-strenght concrete [J].Journal of Dalian University of Technology,2011,51(4):561-566.)
[9]朱榆,徐世烺.超高韧性水泥基复合材料加固混凝土三点弯曲梁断裂过程的研究 [J].工程力学,2011,28(3):69-77.
(ZHU Yu,XU Shi-lang.Study on fracture process of concrete three-point bending beams retrofitted with UHTCC [J].Engineering Mechanics,2011,28(3):69-77.)
[10]徐世烺,张秀芳,卜丹.混凝土裂缝扩展过程中裂尖张开口位移(CTOD)与裂缝嘴张开口位移(CMOD)的变化关系分析 [J].工程力学,2011,28(5):64-70.
(XU Shi-lang,ZHANG Xiu-fang,BU Dan.Relationship between crack tip opening displacement (CTOD) and crack mouth opening displacement(CMOD) throughtout development of concrete crack [J].Engineering Mechanics,2011,28(5):64-70.)
[11]中华人民共和国国家发展和改革委员会.DL/T5332-2005水工混凝土断裂试验规程 [S].北京:中国电力出版社,2005.
(National Development and Reform Commission.DL/T5332-2005 Norm for fracture test of hydraulic concrete [S].Beijing:China Electric Power Press,2005.)
(责任编辑:钟 媛 英文审校:尹淑英)
HUANG Zhi-qiang, LIU Xin, PI Xin-meng
(School of Architecture and Civil Engineering, Shenyang University of Technology, Shenyang 110870, China)
Abstract:In order to solve the early-stage cracking problem of concrete, the three point bending beam test of PVA reinforced tailing sand cementitious composite was designed. The influence of tailing sand content, crack depth ratio, fiber content and working conditions on the fracture toughness and fracture energy was studied. The fracture toughness and fracture energy were calculated through theP-δ curves and P-COMD curves obtained from the test. The results show that the fracture toughness is inversely proportional to the crack-depth ratio, and increases with increasing the fiber content, but the tailing sand content has little effect on the fracture toughness. The fracture energy increases with increasing the fiber content, while decreases with increasing the tailing sand content. Under the normal working condition, the calculated values of both fracture energy and fracture toughness are 10% larger than those obtained under the corrosion working condition.
Key words:three-point bending; cementitious composite; fiber content; tailing sand content; crack-depth ratio; initial fracture toughness; unstable fracture toughness; fracture energy
收稿日期:2015-10-15.
基金项目:国家自然科学基金资助项目(51474050); 辽宁省教育厅基金资助项目(201344089).
作者简介:黄志强(1971-),男,黑龙江伊春人,副教授,博士,主要从事岩石和混凝土损伤断裂力学问题等方面的研究.
doi:10.7688/j.issn.1000-1646.2016.04.16
中图分类号:TU 528
文献标志码:A
文章编号:1000-1646(2016)04-0450-07
*本文已于2016-03-02 16∶45在中国知网优先数字出版. 网络出版地址: http:∥www.cnki.net/kcms/detail/21.1189.T.20160302.1645.040.html