光伏并网逆变器LCL滤波器参数优化设计 *

雒向东,崔剑波

(兰州城市学院 培黎工程技术学院,甘肃 靖远 730070)

摘 要:针对光伏并网逆变器LCL滤波器的大纹波电流和高频谐波损耗问题,分析了电感之和、电感比值和滤波电容值、谐振频率以及入网电流之间的关系,提出了一种LCL滤波器参数最优设计方法.分析了LCL滤波器的传递特性并建立了谐波等效模型,研究了滤波参数对谐振频率以及并网电流的影响,根据LCL滤波器的设计约束条件和光伏并网逆变器实例设计了一组最优参数,并进行了仿真研究.结果表明,提出的优化方案不仅能够有效抑制开关频率的高频纹波,还能减小电感取值和阻尼损耗.

关 键 词:光伏并网逆变器;LCL滤波器;纹波;损耗;优化设计;谐波等效模型;约束条件

随着能源危机的日益加剧,光伏发电作为一种资源丰富、无污染的可再生能源获取方式受到国内外学者的高度重视 [1-2].光伏并网逆变器是光伏阵列和电网的连接装置,可实现直流电与交流电的转换,其性能的好坏直接影响光伏发电并网系统的高效稳定运行,因此,对并网逆变器的深入研究具有实际意义 [3-4].并网逆变器由电力电子器件构成,其工作过程需采用高频脉宽调制(PWM),这样会产生大量的开关高频谐波,对电网带来较大干扰影响,因此,需要在并网逆变器输出侧串联无源滤波器来抑制高频谐波.

应用于光伏并网逆变器的无源滤波器一般可以分为L型、LC型和LCL型三种 [5-6].其中单电感L滤波器结构简单,但抑制高频能力较差且体积大,不利于成本控制,影响系统动态性能;LC滤波器是二阶系统,很难消除输出电流的高频分量,由于其电网阻抗角是未知的,从而会降低滤波效果;LCL型滤波器则在高频段具有很好的滤波作用,只需较小的电感就能滤波输出电流的高频分量,并且能够在一定程度上抑制电网侧的冲击电流,因此,LCL滤波器对光伏并网逆变器并网的电流谐波具有更好的抑制性能 [7-8].然而LCL是三阶系统,滤波参数的影响不可忽视,它不仅影响闭环控制系统的运行特性,还会影响并网逆变器的输出功率,因此,获取良好的滤波器参数也是一项至关重要的工作.

本文基于应用于光伏并网逆变器中的LCL拓扑结构,首先建立了LCL滤波器的谐波等效模型,分析了电流传输特性,其次分析了电感之和、电感之比和滤波电容对系统谐振频率和输出电流幅值的影响,最后根据LCL滤波器的设计约束条件和光伏并网逆变器并网性能要求实例,设计了一组最优参数并进行了仿真研究.

1 并网逆变器LCL滤波器分析

图1是含LCL滤波器的光伏并网逆变器结构图,LCL滤波器是并网逆变器与电网的接口.图1中,U p为逆变器逆变桥侧输出电压,L 1为逆变桥侧电感,L 2为网侧电感,C为滤波电容,i L2为并网逆变器的入网电流.

图1 含LCL滤波器光伏并网逆变器结构图
Fig.1 Structure diagram of photovoltaic grid-connected inverter with LCL filter

1.1 LCL滤波器滤波性能

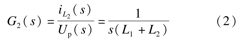
根据图1求出并网逆变器输出电流i L2到逆变桥侧输出电压U p的传递函数为

令L=L 1+L 2,即采用相同电感量的单L滤波器输出,则电流i L2到逆变桥侧输出电压U p的传递函数为

函数G 1(s)和G 2(s)的伯德图如图2所示,从图2中可以看出,LCL滤波器在高频段的衰减特性明显优于单电感L滤波器,所以在达到相同滤波效果的前提下,LCL滤波器的体积要小得多,损耗自然也小一些.

图2 LCL与L滤波器的伯德图对比
Fig.2 Comparison in Bode diagram between LCL and L filters

1.2 LCL滤波器谐波等效模型

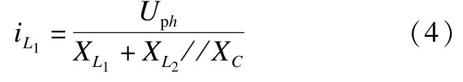
在光伏并网发电系统中,并网逆变器的开关频率远远大于电网频率,逆变桥侧输出电压中除了基波分量之外,还含有大量开关频率及其倍数的高次谐波.将LCL滤波器电路分解为基波等效电路和高频谐波等效电路,其中谐波等效电路如图3所示.

图3 LCL滤波器谐波等效电路
Fig.3 Harmonic equivalent circuit of LCL filter

根据图3可以求得并网电流i L2谐波含量与逆变桥侧输出谐波电压U p h的传递函数为

式中,h为输出电压谐波.由图3可得逆变器侧电感L 1的电流i L1表达式为

式中,X L1、X L2、X C分别为L 1、L 2、C阻抗值.

由式(4)可知,电流i L1的大小主要由逆变桥侧电感X L1、网侧电感X L2与滤波电容X C并联阻抗X L2//X C共同决定.因为在高频段X L2//X C的取值非常小,所以X L2、X C的并联接入对电流i L1的影响不是很大,电流i L1大小主要是由X L1决定,因此,整个并网逆变器输出电流的大小主要由逆变桥侧电感L 1的大小决定.

2 LCL滤波参数与输出特性关系

本文以某并网逆变器开关频率f c=20 kHz的实例进行分析,则在逆变桥侧输出电压的主要谐波为h=20 000 kHz/50 kHz=400次的高频谐波.

为了深入分析LCL滤波器各参数之间的相互影响特性,假设在 的条件下,对L 1/L 2、L 1+L 2、滤波电容C三者之间的关系进行了频域分析,关系曲线如图4所示.从图4中可以看出,在L 1/L 2不变的条件下,随着滤波电容C取值的不断增大,L 1+L 2的取值将会减小,从而能够有效节省滤波电感的体积,减轻系统质量,且节省了成本.

图4 L 1/L 2、L 1+L 2和滤波电容C之间的三维图
Fig.4 Three-dimensional diagram among L 1/L 2
L 1+L 2and filtering capacitance C

根据式(3)可求出LCL滤波器的谐振频率为

当总电感量L 1+L 2的取值为定值时,LCL滤波器固有的谐振频率ω res与L 1/L 2、滤波电容C的三维关系曲线如图5所示.从图5中可以看出,当保持滤波电容C的取值大小不变时,LCL滤波器的固有谐振频率随着L 1/L 2取值不断增大而呈现增加的趋势.而当保持L 1/L 2的取值固定不变时,LCL滤波器的谐振频率随着滤波电容C取值的增大而减小.当LCL滤波器的谐振频率较小时,会对系统的中低频信号进行放大而带来较大危害.

图5 ω res、L 1/L 2和滤波电容C之间的三维图
Fig.5 Three-dimensional diagram amongω res,L 1/L 2and filtering capacitance C

假设总电感量 L 1+L 2取值保持不变,在 h=400,谐波电压为单位幅值条件下,根据式(3)可以求得i L2、L 1/L 2与滤波电容C的关系曲线如图6所示.从图6可以看出,当滤波电容C的取值保持不变时,L 1/L 2取1~2时i L2的取值最小,且会随着L 1/L 2取值的不断增大而呈现增大的趋势.综合考虑取L 1/L 2的值为1.5时,LCL滤波系统具有最佳的滤波效果.

图6 i L2、L 1/L 2和滤波电容C之间的三维图
Fig.6 Three-dimensional diagram among i L2
L 1/L 2and filtering capacitance C

3 LCL滤波器参数优化设计

通过上文分析可知,逆变桥侧滤波电感的设计依赖于电感的纹波电流,一般情况下纹波电流取为额定并网电流的10%~20% [9].本文选取纹波电流为额定电流的15%,即可得

式中:P为并网发电系统额定功率;E g为电网电压;η为发电效率.

本文所采用的光伏逆变并网发电系统的参数分别为:电网额定电压220 V,光伏逆变发电系统额定功率 3 kW,直流侧电压500 V,发电效率为90%.将这些参数代入式(6)可得

又已知

时,ΔI L1有最大值,即

代入式(9)可得

因此,在实际电路中取 L 1=3mH.

对于滤波电容 C的选取不仅要考虑上述分析的滤波参数影响特性,还要考虑其无功功率影响.滤波电容 C的取值越大,则产生的容性无功功率就越多,会引起电感 L 1具有较大的流通电流;若滤波电容 C取值较小,则要提升滤波效果就需要增加电感值,会增大滤波系统体积和成本.根据约束条件可知,滤波电容所消耗无功功率的大小一般要小于并网发电系统额定功率值的5%,则可得

滤波电容可取值C=10μF.

又根据约束条件知:光伏并网逆变系统的输出电流35次及以上的谐波含量应低于0.3%,则电感 L 2的取值应满足

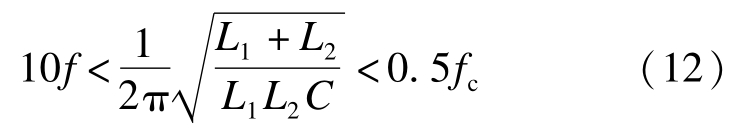
对LCL滤波器而言,其谐振频率应大于10倍的电网电压基波频率且小于主电路开关频率的一半 [10],则可得

根据前面的分析可知,L 1/L 2取1.5为最佳,结合式(11)和式(12)计算可得出网侧电感的最优取值为L 2=2 mH.根据光伏并网发电系统实例,可优化求得LCL滤波器的各参数最佳取值,具体如表1所示.

根据表1的参数搭建了单相光伏并网逆变器仿真模型,图7分别是单电感L、LC和LCL滤波条件下的输出电压电流波形.从图7中可以看出,在保持相同滤波参数的条件下,采用LCL滤波的光伏并网逆变器输出电流具有更小的谐波和畸变,表明LCL滤波器能够有效抑制高频谐波,且在滤波效果相同时,LCL滤波器具有更小的体积和损耗.

表1 参数取值
Tab.1 Parameter values

图7 输出电压电流仿真波形
Fig.7 Simulation waveform of output voltage and current

4 结 论

本文根据LCL滤波器的传递特性建立了其等效谐波模型,分析了滤波电感之和、滤波电感比值、滤波电容取值、谐振频率和并网电流之间的变化关系,得出了电感比值和电容值的合适取值范围.结合光伏并网逆变器的实际和约束条件,设计了一组最优参数并进行了仿真研究,仿真结果表明,该方案可提高并网电流质量,降低阻尼损耗,具有一定的实际应用价值.

参考文献:

References:):

[1]李俊峰,王斯成,常瑜,等.中国光伏发展报告[M].北京:中国环境科学出版社,2011:1-110.(LI Jun-feng,WANG Si-cheng,CHANG Yu,et al. China development report of PV[M].Beijing:China Environmental Science Press,2011:1-110.)

[2]熊燕,刘鑫,马胜红.中国城市规模化光伏发电应用条件分析[J].可再生能源,2012,30(1):123-126.(XIONG Yan,LIU Xin,MA Sheng-hong.Application condition analysis for scaled PV power generation in urban area of China[J].Renewable Energy Resources,2012,30(1):123-126.)

[3]曾正,杨欢,赵荣祥,等.多功能并网逆变器研究综述[J].电力自动化设备,2012,32(8):5-15.(ZENG Zheng,YANG Huan,ZHAO Rong-xiang,et al.Overview of multi-functional grid-connected inverters[J].Electric Power Automation Equipment,2012,32(8):5-15.)

[4]王湘明,张玮玮,王卫鑫.并网逆变器功率合成谐波阻抗联合控制策略[J].沈阳工业大学学报,2016,38(2):127-132.(WANG Xiang-ming,ZHANG Wei-wei,WANG Wei-xin.Combined control strategy of power and synthetic harmonic impedance for grid connected inverter[J].Journal of Shenyang University of Technology,2016,38(2):127-132.)

[5]杨仁增,张光先.LCL并网滤波器的非线性阻尼控制[J].电工技术学报,2015,30(24):152-159.(YANG Ren-zeng,ZHANG Guang-xian.Nonlinear damping controller for grid-connected LCL filters[J].Transaction of China Electrotechnical Society,2015,30(24):152-159.)

[6]邱燕.三相并网逆变器滤波及锁相技术研究[D].南京:南京航空航天大学,2012:1-66.(QIU Yan.Research on filtering and phase lock method based on three phase grid-connected inverter[D]. Nanjing:Nanjing University of Aeronautics and Astronautics,2012:1-66.)

[7]张正传,刘跃敏,范波,等.LCL滤波的PWM整流器固定开关频率控制研究[J].电源技术,2015,39(2):379-381.(ZHANG Zheng-chuan,LIU Yue-m in,FAN Bo,et al.Research of fixed switching frequency control for PWM rectifier with LCL filter[J].Chinese Journal of Power Sources,2015,39(2):379-381.)

[8]张建,陆庆,郑崇伟,等.基于谐波频谱的LCL滤波器性能分析[J].现代电子技术,2015,38(18):16-18.(ZHANG Jian,LU Qing,ZHENG Chong-wei,et al. Performance analysis of LCL filter based on harmonic spectrum[J].Modern Electronics Technique,2015,38(18):16-18.)

[9]崔文峰,胡森军,李武华,等.基于有源钳位的无变压器型单相光伏并网逆变器[J].电工技术学报,2015,30(16):26-32.(CUI Wen-feng,HU Sen-jun,LI Wu-hua,et al.An active voltage clamp transformerless inverter for singlephase photovoltaic grid-connected systems[J]. Transaction of China Electrotechnical Society,2015,30(16):26-32.)

[10]嵇保健,王建华,赵剑锋.不隔离单相光伏并网逆变器系统输入电流低频纹波抑制[J].电工技术学报,2013,28(7):139-146.(JI Bao-jian,WANG Jian-hua,ZHAO Jian-feng.Reduction of low frequency input current ripple in a nonisolated single phase photovoltaic grid-connecteds inverter[J].Transaction of China Electrotechnical Society,2013,28(7):139-146.)

(责任编辑:景 勇 英文审校:尹淑英)

Parameter optimization design for LCL filter of photovoltaic grid-connected inverter

LUO Xiang-dong,CUIJian-bo
(School of Bailie Engineering&Technology,Lanzhou City College,Jingyuan 730070,China)

Abstract:In order to solve the loss problem of large ripple current and high-frequent harmonic wave in the LCL filter of photo voltaic grid-connected inverter,the relationship among the inductance summation,inductance ratio and filtering capacitance,resonance frequency and grid current was analyzed,and a parameter optimization design method for LCL filter was proposed.The transfer characteristics of LCL filter were analyzed,and the harmonic equivalent model was established.The influence of filter parameters on the resonance frequency and grid current was analyzed.According to the design restriction conditions and the example of photovoltaic grid-connected inverter,a set of optimal parameters were designed,and the simulation analysis was performed.The results show that the proposed optimization method can not only effectively restrain the high frequency ripple of sw itch frequency,but also reduce the inductance value and damping loss.

Key words:photovoltaic grid-connected inverter;LCL filter;ripple wave;loss;optimization design;harmonic equivalent model;constraint condition

中图分类号:TM 135

文献标志码:A

文章编号:1000-1646(2016)06-0601-05

doi:10.7688/j.issn.1000-1646.2016.06.01

收稿日期:2016-04-18.

基金项目:甘肃省自然科学基金资助项目(145RJZA128).

作者简介:雒向东(1965-),男,甘肃靖远人,教授,博士,主要从事光伏技术、电磁场理论等方面的研究.

网络出版地址:11-07 12∶30在中国知网优先数字出版.

网络出版地址:http:∥www.cnki.net/kcms/detail/21.1189.T. 20161107.1230.004.htm l