张明理1,宋卓然1,梁 毅1,史 喆1,叶 鹏2
(1.国网辽宁省电力有限公司 经济技术研究院,沈阳 110180;2.沈阳工程学院 电力学院,沈阳 110136)
摘 要:针对城市中长期发展过程中的电网规划问题,提出一种基于饱和负荷密度的城市远景空间负荷预测方法.基于粗糙集和元胞自动机理论模拟城市不同类型的用地动态变化过程,根据不同用地类型的土地转换规则预测规划区域内未来的土地使用类型及面积变化;基于logistic饱和负荷预测模型预测出不同用地类型的饱和负荷密度曲线;最终根据不同用地类型的饱和负荷密度曲线及面积预测出城市远景空间负荷分布,并通过案例验证所提出方法的有效性,为城市空间负荷预测的研究提供了理论参考.
关 键 词:负荷密度;城市电网;空间负荷预测;曲线模型;用地规划;粗糙集;元胞自动机;土地类型
随着我国工业化、城镇化进程的逐步加快,受城市土地资源和环境容量等限制,城市电网发展与城市经济发展之间的协调问题越来越突出.随着城市的快速发展,城市电网若缺乏长远规划则有可能引发大量、频繁的改扩建工作.城市饱和负荷是城市电网规划中确定电网发展最终规模的关键性指标[1],是近年来城市电网规划中提出的新概念,与传统的针对具体年限的负荷预测方法不同,城市饱和负荷预测的时间跨度往往较大,且涉及面较为广泛,包括城市的功能定位、能源资源条件等多个方面.通过对城市饱和负荷的分析和预测确定城市电网最终规模,并以远景电网规划为目标指导近期电网规划与建设,有利于促进城市电网建设与城市经济社会发展相适应、与城市规划相协调.因此,开展城市饱和负荷预测工作,对未来电网建设和城市建设具有重要的指导意义和实用价值.
文献[2-3]基于Logistic曲线模型进行城市电力饱和负荷的研究;文献[4]以天津市中心城区为例,采用基于人均用电量法和城市负荷密度法对天津市中心城区电力饱和负荷进行研究与预测;文献[5]采用基于情景分析法进行城市电力负荷的中长期预测研究;文献[6]采用改进Verhulst模型来进行饱和负荷预测;文献[7]考虑影响城市饱和负荷的多种因素,通过采用滚动多维度预测模型来进行饱和负荷预测.上述文献所提出的方法大都针对饱和负荷特性和预测等方面展开研究,未考虑电力负荷的空间特性对城市电力饱和负荷预测结果的影响.
空间负荷预测对城市电网的未来规划产生重大的影响.城市空间负荷预测的过程主要可细化为3个阶段:1)城市空间地理位置等各方面信息的收集;2)土地使用决策及转化准则;3)城市空间负荷的变化预测.
在上述的3个阶段中,土地使用决策及转化准则是城市空间负荷预测的核心.文献[8-9]提出在传统的负荷预测中,土地使用决策及转化准则主要依靠专家判断,根据专家判断对规划城区内每块土地的使用类型及发展程度进行规划评估,根据规划评估得分的高低来制定规划城区未来各块土地的发展情况;文献[10]提出了基于混沌时间序列的Elman神经网络模型的工业用电预测;在空间负荷预测中,为减小转化规则由专家制定而带来的负荷预测误差,文献[11]引入基于模糊粗糙集和支持向量机理论的参数,并训练系统规则;文献[12]采用模糊粗糙集理论模型进行用地决策的相关属性约简分析,但存在数据离散化过程准确性差的问题.上述文献中有关负荷预测方法虽然考虑了负荷分布的时空特性,但没有考虑负荷饱和特性对预测结果的影响.
本文在分析上述文献缺陷的基础上,提出了一种新的城市空间饱和负荷预测方法.首先,基于粗糙集和元胞自动机理论模拟城市不同类型的用地动态变化过程,根据不同用地类型的土地转换规则预测规划区域内未来的土地使用类型及面积变化;其次,基于logistic饱和负荷预测模型预测出不同用地类型的饱和负荷密度曲线;最后,根据不同用地类型的饱和负荷密度曲线及不同用地类型的面积预测出城市远景空间负荷分布,并通过案例验证所提出方法的有效性,为城市空间负荷预测的研究提供理论参考.
饱和负荷指城市建设发展到一定阶段后,受人口、土地、环境等因素的影响,城市用电总负荷的增长速度放缓甚至停滞的一种状态.饱和负荷密度的影响因素主要包括人均GDP、人口密度、用地性质和区域的经济规划布局等.随着城市经济指标体系的变化,饱和负荷密度的总体走势呈现出先发展后趋于饱和的“S”型状态.某一地区的负荷增长曲线如图1所示,曲线增长呈现为“S”型曲线.由图1分析可知:负荷首先经历平伏增长阶段,然后在经过快速增长阶段后,进入低速平缓增长阶段,即饱和负荷阶段.在区域供电中由于供电设备的容量有限,且可利用的土地面积有限,故研究区域的面积越小,“S”型曲线的特征越明显.

图1电力负荷“S”型增长曲线
Fig.1“S”typeofincreasingcurveforpowerload
当某一区域的电力负荷趋于饱和状态时,该区域通常具有以下特征:1)电力负荷由原来的快速增长变为持续低速平稳增长;2)该区域的各大产业结构的发展比例较为合理,经济规模较大且发展均衡;3)如果某地区城市高低负荷密度的土地转变较少,在忽略其他因素的条件下可认为该地区已经暂时进入饱和阶段.
“S”型曲线通常采用逻辑斯蒂(logistic)模型拟合得到,逻辑斯蒂函数模型的表达式为
![]()
(1)
式中:t为时间变量;yt为电力负荷值;a、b、k为常数且k>0,a>0,b<0.
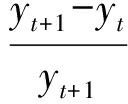
logistic曲线中常数a、b、k的求解及确定可采用尤拉法,尤拉法求解logistic曲线中常数a、b、k的过程为:
首先利用
和
的关系推导出
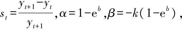
=1-eb-k(1-eb)yt
(2)
然后,令
则式(2)可简化为
st=α+βyt(t=1,2,…,N-1)
(3)
式(3)中的系数α、β可以通过最小二乘法来确定,当系数α、β确定之后,即可通过换算求出b、k的值,从而通过式(4)求出a的值,即
(4)
通过以上过程可以确定logistic曲线模型的所有参数.
配电网空间负荷预测通常采用基于粗糙集和元胞自动机的预测方法.元胞自动机主要功能是根据规划城市自身的实际情况,在规划区域内进行土地使用类型的模拟,以确定迭代时间和转换规则调整时间;在迭代时间和转换规则调整时间确定后,采用粗糙集理论确定动态元胞的自动机转换规则.通过粗糙集和元胞自动机理论确定规划区域内未来土地不同使用类型的面积,将规划区域内不同土地类型的预测面积si乘以该规划区域内不同土地类型的负荷密度ρi可得到小区j(j=1,2,…,m,m为划分小区总数)未来负荷wj的预测值.
元胞自动机的主要组成部分包括元胞及状态、元胞空间、邻居、转换规则和时间[13].元胞自动机的基本构成如图2所示,图中黑色部分表示中心元胞,灰色部分表示邻居.组成部分的主要说明如下:
1) 元胞及状态.元胞分布在离散的1维、2维或多维欧几里德空间的晶格点上,元胞状态可以用二进制或者整数形式的离散集表示[13].
2) 元胞空间.元胞在空间网点上分布的集合构成元胞空间,目前,关于元胞自动机的研究大多针对1维和2维.
3) 元胞邻居.一维元胞自动机通常以半径来确定邻居类型.二维元胞自动机的邻居类型通常有Von Neumann型、Moore 型和扩展的Moore型3种形式[13].Von Neumann型、Moore型和扩展的Moore型3种邻居形式的邻居个数分别为4、8和2(2r+1)-1.通常不同类型二维元胞自动机的选取是根据城市规划区域的实际情况进行选择.由于篇幅有限,有关Von Neumann型、Moore型和扩展的Moore型数学模型及约束条件可参考文献[13].
4) 转换规则.转换规则是根据当前中心元胞及其邻居元胞的状态确定下一时刻中心元胞状态的一个状态转移函数f.状态转移函数[14]可定义为
![]()
(5)
式中:
为t时刻中心元胞i的状态;
为t时刻邻居元胞的状态;f为元胞自动机的状态传递函数.
5) 时间.元胞自动机是一个时间维离散的动态系统,时间t是一个连续等间距的整数值.

图2元胞自动机的组成
Fig.2Compositionofcellularautomata
粗糙集理论是一种研究不精确和不确定知识的数学工具,属性约简是粗糙集理论的核心内容之一.属性约简的具体步骤为:1)生成分辨矩阵;2)由分辨矩阵推导出分辨函数;3)根据分辨函数的性质求出决策表的关键属性[15].
决策表分辨矩阵是一个n阶对称方阵,可表示为
M(C)=(mi,j)n×n
(6)
式中,mi,j为区别对象xi和xj的所有属性的集合,mi,j={a∈C∶f(xi,a)≠f(xj,a)},i,j∈[1,2,…,n],a为条件属性集C中的单个条件属性,则分辨矩阵可表示为

(7)
决策表的分辨函数是分辨矩阵的一个布尔函数,它是由分辨矩阵中所有元素的合取式(用∧表示)构成[15].分辨函数γ的函数表达式为
![]()
(8)
空间饱和负荷预测的步骤主要包括:1)空间信息的提取;2)元胞样本数据表的建立;3)元胞自动机动态转换规则的获取;4)各用地类型的饱和负荷密度预测;5)空间饱和负荷预测.
在GIS仿真平台上对城市空间信息进行提取.通常情况下城市空间信息提取的具体过程如下:1)将规划区域数字化后的地图分成若干图层;2)在规划区域内利用GIS仿真平台生成一个由元胞组成的元胞空间层,并通过元胞自动机对规划区域内未来的土地使用类型进行动态模拟;3)根据规划区域内的实际发展情况提取规划区域的空间信息,例如,C1表示与最近主干道或高速公路的距离,C2表示与市中心的距离,C3表示与城市核心区域的距离,C4表示与最近的工业区的距离,C5表示与最近的居民区的距离,C6表示与最近的学校的距离,C7表示元胞邻居中相同土地使用类型的元胞数.
通过GIS平台获取元胞的空间分布和相关属性数据并生成数据表.在GIS平台上采用分级聚类法对条件属性进行离散及初步约简,把样本值模糊离散化为4个定性的属性值(用1、2、3、4分别代表“很近”、“近”、“较远”和“远”)及土地分类决策属性D(用1、2、3、4分别表示工业、商业、居民和市政用地类型).为提高不同土地使用类型决策转换规则精度和效率,针对一些通常在规划年内用地类型不会发生变化和负荷值很低的元胞,通常在数据表中给予剔除,部分离散化的决策表如表1所示.
通过粗糙集理论对优化元胞样本数据表进行属性约简获取规划区域内土地使用决策的转换规则.然而,在城市的中长期规划发展过程中,当前状态确定的土地使用决策可能无法适应城市未来的中长期规划发展,所以需要不断调整元胞自动机的动态转换规则.
在进行城市空间饱和负荷预测的过程中,需要根据不同产业的用电特性和用地类型将电力用户进行合理分类.为了简化研究,在忽略其他因素影响的条件下,通常将城市用地类型简单地划分为:市政用地、商业用地、工业用地和居民用地.由于不同的用地类型具有不同的负荷密度特性,在饱和负荷密度曲线的求取中,本文先根据电力负荷历史数据得出不同的用地类型的负荷密度,然后采用logistic曲线模型,利用负荷密度值的历史数据预测出各类负荷的负荷密度曲线.
表1部分离散化后的决策表
Tab.1Decisiontableafterpartialdiscretization

本文以规划区域为例说明城市空间饱和负荷预测的求解过程.通过粗糙集和元胞自动机理论确定规划区域内未来土地不同使用类型的面积,将规划区域内不同土地类型的预测面积si乘以该规划区域内不同土地类型的负荷密度ρi可得到小区j(j=1,2,…,m,m为划分小区总数)未来负荷wj的预测值,即
wj=siρi
(9)
根据空间饱和负荷预测的具体步骤可得城市空间饱和负荷预测方法的总体流程如图3所示.
本文以规划城区为例进行空间电力负荷预测的研究.在进行小区空间电力负荷预测的过程中,主要完成两部分工作:1)根据历史电力负荷密度数据,利用logistic曲线模型预测出不同用地类型的各类负荷的负荷密度曲线;2)基于粗糙集和元胞自动机理论,预测出小区未来不同用地类型的土地使用情况及面积变化.之后,根据不同用地类型的各类负荷密度曲线及面积变化可得到该小区未来空间电力负荷的变化情况.

图3城市空间饱和负荷预测方法流程图
Fig.3Flowchartofforecastingmethodforurbanspatialsaturationload
本文利用规划区内不同用地类型的各类负荷密度数据作为历史数据,根据logistic曲线模型对规划区域内2005~2029年不同用地类型的负荷密度发展演变进行模拟拟合.其中,式(1)、(3)中的具体参数取值为a=5,b=-4,k=2,α=0.98,β=-1.96.基于logistic曲线的市政、工业、商业、居民的电力负荷密度曲线分别如图4所示.

图4基于logistic曲线不同用地类型电力负荷密度曲线
Fig.4Powerloaddensitycurvesbasedonlogisticcurvewithdifferentlandusetypes
由图4可知,当城市发展到一定阶段时,市政、工业、商业、居民的电力负荷密度曲线走势将呈现稳定状态(即电力负荷密度达到饱和状态).为了验证logistic曲线模型的有效性,本文利用规划区域内2005~2012年的数据对2013年、2014年的负荷密度进行预测,并将得到的预测值与实际值进行误差绝对值分析,分析结果如表2所示.
由表2可知,2013、2014年不同用地类型电力负荷密度的误差绝对值均低于5%,满足负荷预测的误差精度要求.结合图4以及表2分析可知,基于logistic曲线的电力负荷密度预测方法具有一定有效性.
为了方便下文研究,根据图4中市政、工业、商业、居民的电力负荷密度曲线分别求出2017、2029年市政、工业、商业、居民对应的电力负荷密度值如表3所示.
为准确获取土地使用决策转换规则,本文以元胞为例来说明不同用地类型的面积确定过程,其确定过程如图5所示.
表2电力负荷密度预测值及误差绝对值分析
Tab.2Forecastingvaluesofpowerloaddensityandanalysisonerrorabsolutevalue

表3各用地类型电力负荷密度预测值
Tab.3Forecastingvaluesofpowerloaddensitywithdifferentlandusetypes


图5不同用地类型的土地面积确定
Fig.5Determinationoflandareawithdifferentlandusetypes
在图5中,以居民区为中心,M1、M2、M3表示要确定的未来用地类型;r1、r2、r3分别表示待定的用地类型M1、M2、M3到居民区的距离.根据城市规划的某些准则,靠近居民区的未来用地类型只能是商业用地或者市政用地,工业用地应远离居民区;而离居民区距离较远的未来用地类型则可能是商业用地、市政用地或者工业用地.因此,图5中,M1未来用地类型最可能为商业和市政用地;M2、M3未来用地类型最可能为工业用地,其次可能是商业用地,而最终用地类型的确定则主要由政府规划决定.基于粗糙集的决策表、元胞自动机原理及待定的用地类型转换应满足以下规则[16]:1)IFC1=1 andC2=3 andC3≠1 andC5≠1,ThenD=1;2)IFC1≠3 andC2=1 andC5≠3 andC7≥2,ThenD=2;3)IFC1=2 andC2=2 andC4=3 andC6≠3 andC7≥2,ThenD=3;4) IFC2=1 andC3=1 andC5=1,ThenD=4.
为了研究方便,本文根据某规划城区的部分小区,结合政府长期规划目标,在GIS平台上基于粗糙集和元胞自动机理论规划出2017、2029年规划区域各用地类型面积的发展情况,如图6所示.

图6不同用地类型面积的发展情况
Fig.6Developmentsituationofareawithdifferentlandusetypes
根据2017、2029年规划区域各用地类型面积的发展情况,在GIS平台上可以分别计算出2017、2029年市政、工业、商业、居民的用地面积,如表4所示.
表4规划区域各用地类型面积值
Tab.4Areavaluesofdifferentlandusetypesinplanningarea

根据表3、4数据和式(9)可计算出2017、2029年规划区域各用地类型电力负荷预测值.2017、2029年规划区域各用地类型电力负荷预测值如表5所示.
本文提出了城市空间负荷预测的研究方法.基于粗糙集和元胞自动机理论模拟城市土地利用动态发展过程,从而预测规划区域各土地的未来使用类型及面积;基于logistic饱和负荷预测模型预测出不同用地类型的饱和负荷密度曲线.根据不同用地类型的饱和负荷密度曲线及不同用地类型的面积预测出城市远景空间负荷分布,并通过案例验证所提出方法的有效性,为城市空间负荷预测的研究提供理论参考.
表5规划区域各用地类型空间负荷预测值
Tab.5Forecastingvaluesofspatialloadforeachlandtypeinplanningarea

参考文献(References):
[1] 刘杰锋,程浩忠,韩新阳,等.多维度饱和负荷预测方法及其应用 [J].电力系统及其自动化学报,2015,27(2):44-50.
(LIU Jie-feng,CHENG Hao-zhong,HAN Xin-yang,et al.Forecasting method and application of multi-dimensional saturated load [J].Proceedings of the CSU-EPSA,2015,27(2):44-50.)
[2] 肖欣,周渝慧,张宁,等.城市电力饱和负荷分析技术及其应用研究 [J].电力自动化设备,2014,34(6):146-152.
(XIAO Xin,ZHOU Yu-hui,ZHANG Ning,et al.Survey of saturated load analysis technology for urban power system and its application [J].Electric Power Automation Equipment,2014,34(6):146-152.)
[3] Jia Y D,Li S H,Tan Y,et al.Improved parametric estimation of logistic model for saturated load forecast [C]//Asia-Pacific Power and Energy Engineering Conference.Shanghai,China,2012:112-116.
[4] 崔凯,张丽娟,李敬如,等.天津市中心城区饱和负荷分析与预测 [J].电力技术经济,2008,20(5):32-36.
(CUI Kai,ZHANG Li-juan,LI Jing-ru,et al.Analysis and forecast of saturated load for the central city district of Tianjin [J].Electric Power Technologic Economics,2008,20(5):32-36.)
[5] 陈屹东,程浩忠,黄锦华,等.情景分析在饱和负荷预测中的应用 [J].电力系统及其自动化学报,2016,28(6):7-13.
(CHEN Yi-dong,CHENG Hao-zhong,HUANG Jin-hua,et al.Application of scenario analysis in saturation load forecasting [J].Proceedings of the CSU-EPSA,2016,28(6):7-13.)
[6] 尚芳屹,杨宗麟,程浩忠,等.改进 Verhulst 模型在饱和负荷预测中的应用 [J].电力系统及其自动化学报,2015,27(1):64-68.
(SHANG Fang-yi,YANG Zong-lin,CHENG Hao-zhong,et al.Application of improved Verhulst model in saturation load forecasting [J].Proceedings of the CSU-EPSA,2015,27(1):64-68.)
[7] 赵会茹,周佳,李娜娜,等.滚动多维度城市饱和负荷预测研究 [J].中国电力,2015,48(3):21-26.
(ZHAO Hui-ru,ZHOU Jia,LI Na-na,et al.Study on urban saturated power load forecasting based on rolling multi-dimension method [J].Electric Power,2015,48(3):21-26.)
[8] 尚芳屹.组合预测在区域级饱和负荷预测中的应用 [D].上海:上海交通大学,2013.
(SHANG Fang-yi.Application of a combination model in regional saturation load forecasting [D].Shanghai:Shanghai Jiaotong University,2013.)
[9] 杨修宇.基于负荷密度指标的空间负荷预测方法研究 [D].吉林:东北电力大学,2014.
(YANG Xiu-yu.Study on spatial load forecasting method based on the load density index [D].Jilin:Northeast Dianli University,2014.)
[10]李媛,武岩岩,王思琪.基于混沌时间序列的 Elman 神经网络工业用电预测 [J].沈阳工业大学学报,2016,38(2):196-200.
(LI Yuan,WU Yan-yan,WANG Si-qi.Elman neural network for forecasting industrial electricity consumption based on chaotic time series [J].Journal of Shen-yang University of Technology,2016,38(2):196-200.)
[11]赵慧材,陈跃辉,陈瑞先,等.结合模糊粗糙集和支持向量机的电力负荷短期预测方法 [J].中国电力,2015,48(2):45-48.
(ZHAO Hui-cai,CHEN Yue-hui,CHEN Rui-xian,et al.A short-term power load forecasting method based on fuzzy rough sets and support vector machine [J].Electric Power,2015,48(2):45-48.)
[12]肖白,刘庆永,房龙江,等.基于模糊粗糙集理论和时空信息的空间负荷预测 [J].电力建设,2017,38(1):58-67.
(XIAO Bai,LIU Qing-yong,FANG Long-jiang,et al.Spatial load forecasting based on fuzzy rough set theory with spatial and temporal information [J].Electric Power Construction,2017,38(1):58-67.)
[13]刘自发,庞铖铖,王泽黎,等.基于云理论和元胞自动机理论的城市配电网空间负荷预测 [J].中国电机工程学报,2013,33(10):98-105.
(LIU Zi-fa,PANG Cheng-cheng,WANG Ze-li,et al.Spatial load forecasting for distribution network based on cloud theory and cellular automata [J].Proceedings of the CSEE,2013,33(10):98-105.)
[14]杨丽徙,王金风,陈根永,等.基于元胞自动机理论的电力负荷空间分布预测 [J].中国电机工程学报,2007,27(4):15-20.
(YANG Li-xi,WANG Jin-feng,CHEN Gen-yong,et al.Load spatial distribution forecasting model on cellular automata theory [J].Proceedings of the CSEE,2007,27(4):15-20.)
[15]龙丹丽,黎静华,韦化.粗糙集法解多环境因素影响的母线负荷预测问题 [J].电网技术,2013,37(5):1335-1340.
(LONG Dan-li,LI Jing-hua,WEI Hua.Solution of multi environmental factor-influenced bus load forecasting by rough set method [J].Power System Technology,2013,37(5):1335-1340.)
[16]周湶,李健,孙才新,等.基于粗糙集和元胞自动机的配电网空间负荷预测 [J].中国电机工程学报,2008,28(25):68-73.
(ZHOU Quan,LI Jian,SUN Cai-xin,et al.Spatial load forecasting for distribution networks based on rough sets and cellular automata [J].Proceedings of the CSEE,2008,28(25):68-73.)
ZHANG Ming-li1, SONG Zhuo-ran1, LIANG Yi1, SHI Zhe1, YE Peng2
(1.Economic Technology Research Institute, State Grid Liaoning Electric Power Co.Ltd., Shenyang 110180, China; 2.School of Electric Power, Shenyang Institute of Engineering, Shenyang 110136, China)
Abstract:Aiming at the power grid planning problem in the medium and long term development of cities, a forecasting method for urban prospective spatial load based on saturated load density was proposed.Based on the rough set and cellular automata theory, the dynamic change process of land use with different types in the cities was simulated, and the future type and area change of land use in the planning area were predicted according to the land conversion rules of different land use types.Based on the logistic saturated load forecasting model, the saturated load density curve of different land use types was predicted.According to the saturated load density curves and the area of different land use types, the urban prospective spatial load distribution was forecasted, and the validity of the proposed method was verified with examples, which could provided a theoretical reference for further research of urban spatial load forecasting.
Key words:load density; urban power grid; spatial load forecasting; curve model; land use planning; rough set; cellular automata; land type
收稿日期:2016-11-29.
基金项目:辽宁省自然科学基金指导计划资助项目(201602534).
作者简介:张明理(1978-),男,辽宁沈阳人,高级工程师,博士,主要从事电力系统运行与控制等方面的研究.
* 本文已于2017-10-25 21∶13在中国知网优先数字出版.网络出版地址:http://kns.cnki.net/kcms/detail/21.1189.T.20171025.2113.044.html
doi:10.7688/j.issn.1000-1646.2018.01.03
中图分类号:TP 273
文献标志码:A
文章编号:1000-1646(2018)01-0012-07
(责任编辑:景 勇 英文审校:尹淑英)