胡水平,吴国刚
(北京科技大学 高效轧制国家工程研究中心,北京 100083)
摘 要:为了降低锯片基体生产成本并提高产品质量,以特定Si-Mn系试验钢为研究对象,采用TMCP工艺对新型锯片基体材料进行了研究.利用扫描电子显微镜、拉伸试验机等试验设备对基体材料的组织和力学性能进行了分析测试.结果表明,当轧后冷速为32.3 ℃/s时,可以获得以细小束状贝氏体为主的显微组织,且该冷速下基体材料的抗拉强度、屈服强度可以分别达到1 315与1 030 MPa,冲击吸收功可以达到53.9 J,同时试验钢的弹性模量与弹性极限分别为198.5 GPa和915.4 MPa.此外,经过8万次循环载荷作用后,试验钢的三点弯曲永久变形高度为0.21 mm,试验钢表现出较好的综合机械性能.采用非调质工艺生产的Si-Mn系贝氏体钢可以用作锯片基材.
关 键 词:TMCP工艺;锯片;贝氏体相变;轧后冷速;弹簧钢;弹性模量;弹性极限;机械性能
锯片基体材料需要具有较高的抗拉强度、弹性极限、屈强比、冲击韧性与抗疲劳性能.传统锯片基体材料65Mn钢是采用调质工艺进行生产的,如何保证在淬火过程中既能使基体完全淬火,又能控制变形与开裂倾向的产生,从而使得加工后的基体具有良好的塑韧性、耐磨性是有待解决的问题[1].贝氏体型非调质钢可以在生产中取消淬火、回火工艺,因而不仅可以简化工艺、节约能耗,而且避免了淬火引起的变形、开裂、氧化、脱碳等热处理缺陷[2],同时得到的贝氏体组织具有良好的韧性,因此,贝氏体型非调质钢越来越受到国内外学者的关注,应用范围也越来越广泛[3].目前,非调质钢已经应用于抽油杆[4]等诸多领域.Caballero等[5-6]研究发现,无碳贝氏体钢的抗拉强度可以达到1 600~1 800 MPa,经过特定处理获得的细小板条贝氏体组织的强度可以达到2 300 MPa.Gao等[7]制备得到的贝氏体钢的强塑积可以达到42.4 GPa%.由于热机械控制(TMCP)工艺不需要添加过多的合金元素,也无需复杂的后续热处理,因而该工艺是一种节约能源并有利于环保的工艺.轧后通过对冷速进行控制,不仅可以抑制晶粒长大,而且可以获得高强度、高韧性的贝氏体组织[8].本文通过对特定Si-Mn系试验钢在不同冷却工艺参数下的组织和性能进行研究,以期通过非调质工艺生产出满足锯片基材性能要求的材料.
试验用钢由25 kg真空感应熔炼炉冶炼得到,试验钢的主要化学成分如表1所示.
表1试验钢的主要化学成分(w)
Tab.1Mainchemicalcompositionofteststeel(w) %

1.2.1 动态CCT曲线测定
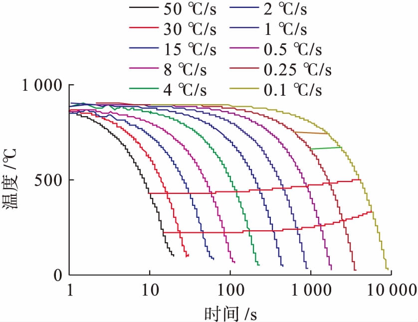
利用Gleeble 3500型热模拟试验机测定试验钢的动态CCT曲线.将试样以10 ℃/s的速率加热到1 100 ℃并保温5 min,然后以5 ℃/s的速率冷却至1 000 ℃后,以2 mm/s的应变速率进行首道次压缩,压缩变形量为30%.之后再以5 ℃/s的速率将试样冷却至900 ℃,并以相同的应变速率进行第二道次压缩,压缩变形量为40%.随后分别以0.1、0.25、0.5、1、2、4、8、15、30和50 ℃/s的速率将试样冷却至室温.通过记录冷却过程中试样的膨胀量绘制试验钢的温度
膨胀量曲线,并结合试样硬度和金相组织绘制试验钢的动态CCT曲线,结果如图1所示.

图1试验钢的动态CCT曲线
Fig.1DynamicCCTcurvesofteststeel
在试验设定的冷速下,当试验钢经双道次变形后的冷速低于0.25 ℃/s时,所得到的贝氏体组织中出现了先共析铁素体(F);当冷速为0.25 ℃/s时,冷却后得到的微观组织以贝氏体为主,同时夹杂少量铁素体组织;当热变形后的冷速大于0.25 ℃/s时,铁素体组织消失;当冷速继续增大到50 ℃/s时,此时得到的微观组织仍以贝氏体为主,同时含有少量马氏体和残余奥氏体组织.
1.2.2控轧控冷试验
利用北京科技大学轧制中心的φ350 mm热轧机进行控轧控冷试验.将尺寸为60 mm×60 mm×60 mm的钢坯加热到1 100 ℃并保温40 min,然后在奥氏体再结晶和非再结晶区两个阶段进行控制轧制处理,轧制规程为60 mm→48 mm→38 mm→28 mm→21 mm→16 mm→12 mm→10 mm,其中前3道次在奥氏体再结晶区轧制,之后4道次在非再结晶区轧制,终轧温度控制在820 ℃左右.随后采用不同的冷却制度将试验钢冷却至室温,其轧制工艺如图2所示.

图2试验钢的轧制工艺
Fig.2Rollingprocessofteststeel
在轧后试验钢的中间位置沿轧制方向切取拉伸和冲击试样.依据GB/T 228.1-2010制备直径为5 mm的圆棒状拉伸试样,利用CMT-4105型万能试验机进行拉伸试验.依据GB/T 229-2007制备标准V型缺口冲击试样,试样尺寸为7.5 mm×10 mm×55 mm,冲击试验在JB-30B型冲击试验机上进行,试验温度为室温.在轧后试验钢的中间位置切取金相试样,将金相试样打磨抛光后,利用硝酸酒精溶液将其腐蚀,并利用ZEISS Axiovert 40 MAT与ZEISS Ultra-55型场发射扫描电子显微镜观察其组织.利用Origin软件将拉伸试验得到的试验钢应力、应变数据进行线性拟合,得到试验钢的弹性模量,并以产生0.01%范性形变的应变作为弹性极限,采用三点弯曲疲劳试验方法进行疲劳试验.依据GB/T 19844-2005钢板弹簧中给定的最大应力、应力幅和寿命要求,利用CMT-4105型万能试验机进行疲劳试验.试样长度L为130 mm,跨距l为100 mm,厚度a为5 mm,宽度为10 mm.三点弯曲试验示意图如图3所示.

图3三点弯曲试验示意图
Fig.3Schematicthree-pointbendingtest
将编号为1#~4#的试验钢进行热轧后,将1#试验钢空冷至室温.通过控制水冷过程中的水流量控制冷却速度,将2#~4#试验钢水冷至380 ℃,然后将2#~4#试验钢放入加热炉中随炉冷却.试验钢的实测冷速如表2所示;轧后不同冷速下的试验钢显微组织如图4所示.
表2试验钢的实测冷速
Tab.2Measuredcoolingratesofteststeel℃·s-1

由图4可见,轧后试验钢的显微组织是由粒状贝氏体、板条贝氏体、部分残余奥氏体和马奥岛组织组成的.通过对比分析可知,随着试验钢轧后冷至贝氏体相变区的冷速的增大,显微组织中较为细小的板条贝氏体所占比例变大,试验钢中马奥岛组织数量明显增多.当冷速为16.8 ℃/s时,试验钢的显微组织中可以观察到大量粒状贝氏体的存在,且粒状贝氏体较为粗大,使得原有板条界面产生扭转,表明试验钢的显微组织已经发生了较大幅度的回复(见图4b).当以24.1 ℃/s的冷速进行冷却时,试验钢的显微组织开始出现比例较少的板条状贝氏体,且可以较为清楚地观察到一些原始奥氏体晶界,显微组织中马奥岛组织体积变小,同时含量最多的粒状贝氏体组织也变得相对细小(见图4c).当冷速为32.3 ℃/s时,试验钢的显微组织中的一些板条贝氏体特征变得较为明显,板条贝氏体含量增多,可以较明显地观察到原始奥氏体晶界上分布着块状马奥岛组织(见图4d).

图4轧后不同冷速下试验钢的显微组织
Fig.4Microstructuresofteststeelatdifferentcoolingratesafterrolling
另外,随着冷速的增大,马奥岛组织的分布均匀性变差,这是由于在快冷、终冷温度确定的情况下,未转变奥氏体的过冷度会随着试验钢冷速的增大而增大,从而导致显微组织中奥氏体的相变驱动力增大,新相形核率提高.此外,当冷速增大时,冷却过程会抑制贝氏体晶核的长大,在后续冷却过程中一些有利取向的晶核迅速长大,并向周围组织进行排碳,从而导致周围组织中的奥氏体碳含量升高,使得组织稳定性增加,因而在后续冷却过程中不易发生转变.冷速越大,过冷度越大,导致试验钢的冷却时间越短,进而抑制碳原子在高温下发生扩散,提高了后续贝氏体转变的形核点数量,从而使生成的组织变得细小.同时,冷速越快,奥氏体由于变形而存在的畸变能越能得到大量保存,奥氏体发生的回复程度越小.相变前奥氏体内存在很多的位错结构和变形带,较大的畸变能可以增加相转变能量,促进更多相变点的生成,从而起到细化组织的作用.
由于热轧后试验钢的冷却速度不同,造成试验钢显微组织上的差异,进而使得试验钢在力学性能方面表现出不同的倾向.经试验测定,试验钢在不同冷速下的力学性能如表3所示.
表3不同冷速下试验钢的力学性能
Tab.3Mechanicalpropertiesofteststeelatdifferentcoolingrates

轧后冷速对试验钢力学性能的影响如图5~7所示.由图5~7可见,经热轧后,当在高温段快速水冷至贝氏体转变区时,随着冷速的增大,试验钢的抗拉强度先增大后减小,而伸长率、断口收缩率和冲击吸收功则先减小后增大,屈服强度随着冷速的增加而增加.当轧后冷速为32.3 ℃/s时,试验钢的屈服强度达到1 030 MPa,比冷速为16.8 ℃/s的情况提高了210 MPa.通过对轧后冷速进行控制,能够有效提高试验钢的屈服强度和冲击吸收功.
通过对比1#试验钢轧后空冷组织和2#~4#试验钢轧后快速水冷组织可以发现,空冷后的组织主要为束状贝氏体和少量粒状贝氏体,束状贝氏体形态为平行板条状,且被残留奥氏体分割形成亚单元,而残留奥氏体以薄膜形式存在[9].相比快速水冷工艺,空冷过程中的冷速较慢,容易造成组织粗化,但由于存在大量贝氏体板条组织,试验钢的抗拉强度、屈服强度、冲击性能在空冷后均得到了显著提高.束状贝氏体相比粒状贝氏体表现出较高的韧性,这主要是因为束状贝氏体中的铁素体为平行板条状,同时板条组织被残留奥氏体分割为更为细小的单元,因而组织的晶粒尺寸小于粒状贝氏体的有效晶粒尺寸,束状贝氏体组织的基体界面增多,可以有效地阻碍裂纹扩展,使裂纹发生分支和钝化,从而表现出更高的韧性.此外,束状贝氏体中的薄膜状残留奥氏体具有较高的热稳定性和机械稳定性,可以在应变诱发的相变过程中吸收更多能量,从而使得试验钢的冲击韧性显著提高[10].

图5轧后冷速对试验钢抗拉强度和屈服强度的影响
Fig.5Effectofcoolingrateafterrollingonultimatetensileandyieldstrengthsofteststeel

图6轧后冷速对试验钢伸长率和断口收缩率的影响
Fig.6Effectofcoolingrateafterrollingonelongationandareareductionofteststeel

图7轧后冷速对试验钢冲击性能的影响
Fig.7Effectofcoolingrateafterrollingonimpactpropertyofteststeel
为了研究试验钢快冷后在空冷和炉冷条件下的力学性能,对5#、6#试验钢进行热轧后,以一定的冷速快冷至贝氏体相变区间,然后在贝氏体相变温度内分别通过炉冷(5#试验钢)和空冷(6#试验钢)手段来分析此阶段冷速对试验钢力学性能的影响,具体结果如表3所示.观察表3中5#、6#试验钢的各项力学性能可以发现,与快冷后炉冷相比,快冷后空冷得到的试验钢的抗拉强度提高了70 MPa,屈服强度提高了135 MPa,冲击韧性也有较大幅度提高,但伸长率变化不大.这是因为虽然束状贝氏体、粒状贝氏体和粒状组织中的铁素体基体均呈现出碳过饱和状态,均具有高密度位错,从而均具有较高强度,但束状贝氏体的有效尺寸小于粒状组织和粒状贝氏体中的马奥岛组织尺寸,从而对位错运动具有更大的阻碍作用,因而束状贝氏体相比粒状组织和粒状贝氏体具有更高的强度.
不同冷却方式下贝氏体相变区的显微组织如图8所示.由图8可见,快速水冷后的冷速对贝氏体的组织和性能具有较大影响,当快冷后随炉冷却时,其组织主要为块状贝氏体,且存在一定的铁素体、残余奥氏体和马氏体组织,而快冷后空冷的组织则主要为条状贝氏体和少量残余奥氏体.此外,对比1#和5#试验钢的组织可以发现,虽然两种组织的组成类似,但条状贝氏体的尺寸显著减小,这是由于在高温段快速水冷可以缩短试验钢在高温段的停留时间,使得奥氏体晶粒来不及粗化,从而起到了组织细化的作用.

图8不同冷却方式下贝氏体相变区的显微组织
Fig.8Microstructuresofbainitictransformationregionatdifferentcoolingrates
在连续冷却工艺下,当冷速为32.3 ℃/s时,试验钢的屈强比最高,表现出的综合力学性能最佳,因此,对此工艺下试验钢的弹性模量、弹性极限和疲劳性能进行测试.经计算可知,试验钢的弹性模量为198.5 GPa,弹性极限为915.4 MPa,由于弹性模量主要由材料本身的化学成分决定,与加工过程中的冷热加工方式、热处理和合金化的关系不大,试验测得的试验钢的弹性模量和65Mn钢仅仅相差5%,可以认为试验钢满足实际生产要求.在三点弯曲试验中经过8万次循环应力作用后,试验钢出现了一定幅度的永久变形,经过测量可知变形高度为0.21 mm,满足锯片基材的使用要求.
通过以上试验分析可以得到如下结论:
1) 在试验钢的动态连续冷却过程中,当热变形后冷速小于0.25 ℃/s时,试验钢中出现了铁素体组织,当冷速大于0.25 ℃/s时,可以在较大的冷速范围内获得贝氏体组织.
2) 在试验钢轧后快速水冷至贝氏体相变区的过程中,当冷速达到32.3 ℃/s时,试验钢具有最大屈强比,试验钢的抗拉强度、屈服强度可以分别达到1 315与1 030 MPa,冲击吸收功可以达到53.9 J,试验钢表现出的综合力学性能最好,更符合实际生产需要.
3) 在快冷阶段当冷速为32.3 ℃/s时,试验钢的弹性模量为198.5 GPa,弹性极限为915.4 MPa.经8万次循环应力作用后,试验钢的永久变形高度为0.21 mm,达到锯片使用要求.因此,采用非调质工艺生产的Si-Mn系贝氏体钢可以用作锯片基材.
参考文献(References):
[1] 白永国,王毅坚,索忠源.热处理对65Mn锯片用钢组织及性能的影响 [J].吉林化工学院学报,2015,32(4):30-34.
(BAI Yong-guo,WANG Yi-jian,SUO Zhong-yuan.Heat treatment on 65Mn effect and performance of blade steel [J].Journal of Jilin Institute of Chemical Technology,2015,32(4):30-34.)
[2] 胡芳忠.中碳贝氏体型非调质钢的组织及疲劳破坏行为的研究 [D].昆明:昆明理工大学,2013.
(HU Fang-zhong.Study on microstructure and fatigue failure behavior of medium carbon bainitic non quenched and tempered steel [D].Kunming:Kunming University of Science and Technology,2013.)
[3] 石雪雁.高碳高硅铸钢等温淬火工艺及组织性能研究 [D].长春:长春工业大学,2015.
(SHI Xue-yan.Study on isothermal quenching process and microstructure and properties of high carbon and high silicon cast steel [D].Changchun:Changchun University of Technology,2015.)
[4] 易敏.1 000 MPa 级低碳贝氏体抽油杆用钢的研制开发 [D].沈阳:东北大学,2015.
(YI Min.Research and development of 1 000 MPa grade low carbon bainitic steel for sucker rod pump [D].Shenyang:Northeastern University,2015.)
[5] Caballero F G,Bhadeshia H K D H,Mawella K J A,et al.Design of novel high-strength bainitic steels [J].Materials Science and Technology,2001,17(5):512-515.
[6] Caballero F G,Bhadeshia H K D H.Very strong bainite [J].Solid State and Materials Science,2004,56(8):251-257.
[7] Gao G H,Zhang H,Gui X L,et al.Tempering behavior of ductile 1 700 MPa Mn-Si-Cr-C steel treated by quenching and partitioning process incorporating bainite formation [J].Journal of Materials Science and Technology,2015,31(2):199-204.
[8] 李明保,胡水平.TMCP工艺对Si-Mn系贝氏体钢组织与性能的影响 [J].工程科学学报,2016,38(8):1115-1122.
(LI Ming-bao,HU Shui-ping.Effect of TMCP on the microstructure and mechanical properties of Si-Mn series bainitic steel [J].Chinese Journal of Engineering,2016,38(8):1115-1122.)
[9] Tongbang A N,Zhiling T,Jiguo S,et al.Effect of shielding gas on microstructure and performance of 1 000 MPa grade deposited metals [J].Acta Metallurgica Sinica,2015,51(12):1489-1499.
[10]吴其浩,熊杰,朱娜琼,等.高强度 TRIP 钢中残留奥氏体稳定性 [J].材料热处理学报,2013,34(11):89-92.
(WU Qi-hao,XIONG Jie,ZHU Na-qiong,et al.Stability of retained austenite in high strength TRIP steel [J].Journal of Materials Heat Treatment,2013,34(11):89-92.)
HU Shui-ping, WU Guo-gang
(National Engineering Research Center for Advanced Rolling, University of Science and Technology Beijing, Beijing 100083, China)
Abstract:In order to reduce the manufacturing cost of saw blade and improve the product quality, a new type saw blade matrix material was studied with the TMCP process though taking the special Si-Mn steel as the study object.The microstructure and mechanical properties of matrix material were analyzed and measured with such testing equipment as scanning electron microscope(SEM)and tensile testing machine.The results show that when the cooling rate after rolling is 32.3 ℃/s, the microstructure mainly composed of fine lath bainite can be obtained, the tensile strength and yield strength of matrix material respectively reach 1 315 and 1 030 MPa, and the impact absorbed energy can reach 53.9 J at this cooling rate.At the same time, the elastic modulus and elastic limit of test steel are 198.5 GPa and 915.4 MPa, respectively.In addition, after 80 000 times of cyclic loading, the three-point bending permanent deformation height of test steel is 0.21 mm, and the test steel shows better comprehensive mechanical properties.Furthermore, the Si-Mn series bainite steel produced by the non-quenching and tempering process can be used as the saw blade substrate matrix material.
Key words:TMCP process; saw blade; bainite transformation; cooling rate after rolling; spring steel; elastic modulus; elastic limit; mechanical property
收稿日期:2016-12-09.
基金项目:国家自然科学基金资助项目(51274036).
作者简介:胡水平(1967-),男,湖北武汉人,副教授,博士,主要从事材料加工工艺及设备、材料性能优化等方面的研究.
* 本文已于2017-10-25 21∶13在中国知网优先数字出版.网络出版地址:http://kns.cnki.net/kcms/detail/21.1189.T.20171025.2113.052.html
doi:10.7688/j.issn.1000-1646.2018.01.07
中图分类号:TG 142.1
文献标志码:A
文章编号:1000-1646(2018)01-0037-06
(责任编辑:尹淑英 英文审校:尹淑英)