电气工程
杨玉颀
(国网辽宁省电力有限公司 葫芦岛供电公司, 辽宁 葫芦岛 125001)
摘 要:针对专变用户数量激增引起的用电配给管理问题,提出一种分段线性模型来预测专变用户月平均用电占比数据,实现节能配给的目标.采用N点长数据分段更新生成分段线性模型,从而估计得到下一个月的平均用电占比数值.讨论分析了分段点长N分别取4~8时,分段线性模型预测精度的差异.针对某专变用户2015年以来的实际用电数据进行预测分析,比较验证了预测数值和实际数据之间的误差.结果表明,当最优建模点长N=6时,模型的平均预测误差最小.
关 键 词:分段线性模型; 电能配给; 预测; 用电管理; 节能; 回归估计; 参数选择
随着电能需求的日益提高,各种企业以及单位综合考虑提升服务效能和可靠性,选择使用专变(专用变压器)进行电能管理.伴随着专变用户数量激增,用电供求之间的矛盾更加突出,同时,专变用电的管理问题也越来越多受到电力供应企业关注和研究.
专变用电与一般公众用电区别显著,主要表现在三个方面:首先是用电品质较高,对于电压以及电流的稳定性要求高于普通公众用电;再者是用电频率和时间分布与公众不同,一般主要依据单位内的设备或者业务进行,产生分时段的高峰电能消耗;最后是其设备和线路的具体参数区别公众用电,对检修和维护人员都有更专业的要求.例如,城市轨道交通电能供给和保障是市政交通管理基础建设不可或缺的部分,这是因为地铁电力系统建设考虑的重点是用电的安全性和稳定性.尤其是列车牵引设备、车站动力与照明设备、信号收发设备及温控、升降运输设备等,这些用电供应配置均直接关系到地铁正常运行和乘客生命财产.其它专变用户还包括大型医疗机构,医院电力系统建设,特别针对大型医疗器械设计的,包括放疗加速器、核磁检查设备、CT以及PET等各种临床器械,这些设备的能源供应稳定直接影响病人治疗的安全性.
为了更好地对专变用户用电进行针对性以及个性化管理,提升专变用户电能使用的满意度[1-4],分析专变用户的用电时空分布规律,把握其能源需求的周期规律特点,发现容易诱发故障的各种因素,是目前解决专变用户管理效能低下的关键所在[5-8].具体而言,需要对专变用户的用电模式统计建模分析,进行电能需求预测,明晰其电能消耗的差异性,减少因超载或者长时间空置带来的负载电器损耗、线路老化,从而实现提高变压装置使用寿命,降低基础维护和保养费用的目的[9-11].
本文考虑专变用户的用电特点,基于专变用户月平均用电占比数据,通过分段线性估计方法[12-13],结合专变用户的用电特点进行电能需求的供给预测研究.专变用户的月平均用电数据与普通居民用电数据之间存在函数关系,方法在预测专变用户用电数据的同时,能够对公众用电与专变用户用电进行动态调节和平衡,借助分段错峰用电,更好地科学管理和优化用电.
专变用户的电能需求可以被理解为一个随机变化的时间序列,挖掘这个随机序列的波动趋势规律可以了解其内在本质[14-15].专变用户月平均用电占比数据可以被理解为几种不同趋势的叠加组合,体现为整体涨幅的趋势项、季节迁移影响的天气项以及每个月实际随机变化产生的影响.上述多种影响之间相互交叠,本文通过对原始数据进行分段,在不同的时间尺度基于其各自的波动特点进行对应性的预测,再将预测的结果整合,从而实现精确地趋势分析和预测.
现有的分析趋势技术主要基于人工神经网络方法[16],其对于数据的趋势预测能力最强.最简单的神经网络只有一个隐层,隐层中具有隐单元Vj,j=1,2,…,J,其向前连接输入单元ξk,k=1,2,…,K,向后得到输出单元Oi,i=1,2,…,I.wjk表示从输入单元ξk到隐单元Vj的连接权,从隐单元到输出单元Oi的连接权为Wij,则ω={W,w}表示权重矩阵.
神经网络算法使用调整的重点在于隐含层的数目、每层隐含层中具有的神经元个数以及每个神经元与其上下层之间的连接关系.隐含层的数目决定了将输入和输出联系起来的非线性映射的复杂度;每层神经元的数目则是确定每个隐含层空间的维度,数目越多其可能表征的隐层空间的准确度就越大,但相应的计算复杂度也越大,效率越低.神经网络算法对于模型本身的可解释性不强,对于数据需求量较大,存在数据过度拟合风险.
另一种趋势分析技术可以采用自回归滑动平均模型(ARMA),这类模型对随机时间序列进行假设,要求序列整体是一个二阶的平稳过程.其对于未来数据点的预测可以通过前一段时间的输出以及当前的输入进行加权求和得到,ARMA(p,q)数学模型可以表示为
yt=c+φ1yt-1+…+φpyt-p+
εt+θ1εt-1+…+θqεt-q
(1)
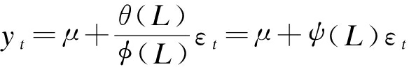
式中:c为常数项;φi为输出权重项;θi为输入权重项.在式(1)中引入算子L,使Liyt=yt-i,一个p阶的模型可以由算符L的多项式函数表达为φ(L)=1-φ1L-…-φpLp,则对于信号y在时刻t的条件期望估计,可以将ARMA(p,q)简化表达为
φ(L)yt=c+θ(L)εt
(2)
进一步在式(2)两侧同除以φ(L),可以得到
(3)
式中:μ为信号的极点分布,确定了自回归模型;ψ(L)为信号的零点分布,确定滑动模型.然而,ARMA模型对于建模数据量的要求较高,且平稳随机过程的假设在实际环境中难以实现,预测的准确度不高.
而通过变换域的方法,例如快速傅里叶变换、离散余弦变换及小波变换,虽然可以有效地估计波动特点以及周期性的时变规律,然而其整体都属于基于全部数据点的分析方法,难以进行短时或者近期的预测或者分析.其它一些分析方法,例如灰色模型、模糊数学或者系统辨识类方法,尽管可能在短时预测上贴合实际情况,对于预测数据实际物理含义的解释以及模型的使用环境上都有各自的局限性.
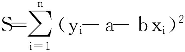
本文采用的分段线性回归方法是基于回归的分析方法.回归模式是一种基于最小二乘方法的最优化建模方法,通过对原始数据进行分段,在不同的尺度对数据进行线性拟合,再对比多个不同的线性预测结果.每个分段尺度只表达出系统的一部分特性,所以需要通过对比多个分段预测的结果来得到完整的预测数据.
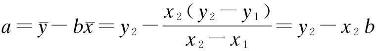
设专变用户月平均用电数据与时间之间存在线性相关关系,则每个月观测得到的点将散布在一个一阶多项式附近,多项式可表示为y=a+bx.利用最小二乘法估计参数a,b,设参数服从正态分布,然后分别求
对a和b的偏导数,考虑一阶偏导数为零,则可以得到

(4)
解得

(5)
式中:

在分段线性回归算法中,首先确定用于分段的区间长度N,然后利用最小二乘估计算法计算得到a和b,预测专变用电数据.
根据专变用电的性质特征,以实测数据的均值作为划分界限,将待预测随时变化的电能数据划分为n个区间,n等于待分析数据总点数除以N.将不同划分区间的数据整合应用到对应的实测数据中,从其各自所述区间进行相应的数据预测分析,然后带入回归方程,计算拟合系数,即

(6)
(7)
通过对a,b计算估计,进一步代入回归方程得到接下来的数据预测值.
本文分析数据实际来源于南方电网某专变用户的月平均用电占比,数据的起始时间为2014年9月,分析截止时间为2016年12月.分段线性模型分析计算得到不同数据段的趋势,再将其进行整合用于趋势预测估计,结合预测误差大小分析算法性能.预测主要针对下一个月的用电占比进行,通过每个月用电数据进行逐月预测分析,从而得到具体数值.采集得到的用电数据趋势如图1所示.

图1 专变用户月用电趋势
Fig.1 Trend of monthly electricity consumptionfor specific transformer user
图1中反映出专变用户的用电存在一定的波动变化情况,其整体经历了一个由低到高的变化过程.用电占比随时间表现出了明显的波动特点,前5个月的用电占比最低,之后用电占比整体稳定在0.4的水平.
通过平均预测误差,分段线性模型可以用于确定每个用户的最佳预测估计模型,并计算得到计算误差以及对应的预测数据.通过实验确定分段点长N取4的预测/实测数据对比图如图2所示.

图2 N=4时专变用户月平均用电占比预测对比
Fig.2 Comparison in forecast error of monthly average electricity consumption ratio for specific transformer user with N=4
图3~6分别展示了当N取5~8时预测误差的变化情况.预测数据误差趋势首先逐步收敛,之后逐步增加,出现了局部最小值.根据实际得到的不同分段长度所对应的模型预测平均误差可以得出结论:当N等于6时,模型整体的平均绝对误差值达到最小,这里估计参数a的取值范围为-3.53~4.43,对应b的取值范围为-0.12~0.47.本文同时用相同的数据对比了基于直接线性回归以及ARMA模型预测的结果,上述两个模型的预测平均误差都明显高于本文提出的算法.

图3 N=5分段线性预测误差
Fig.3 Forecast error of piecewiselinear model with N=5

图4 N=6分段线性预测误差
Fig.4 Forecast error of piecewiselinear model with N=6

图5 N=7分段线性预测误差
Fig.5 Forecast error of piecewiselinear model with N=7
6个月的分段周期说明了用户的用电节律变化整体保持在半年一次,季度性以及单月电能的变化并不显著,针对其用电设备的保养和维护也可以考虑每半年进行一次.针对不同的专变用户,可以通过参数选择的方式来调整得到最优的预测参数,从而实现个性化的预测分析.

图6 N=8分段线性预测误差
Fig.6 Forecast error of piecewiselinear model with N=8
本文通过分段线性模型对专变用户电能分配进行了预测研究,详细讨论和对比了分段模型在进行数据预测时的参数选取以及对应的模型泛化能力.当分段线性模型得到最优建模参数后,对于专变用户用电的预测具有较高的精度和准确度,从而为电力系统进行专变用户电能分配和管理提供有效解决方案.
参考文献(References):
[1] 祝恩国,窦健.用电信息采集系统双向互动功能设计及关键技术 [J].电力系统自动化,2015,39(17):62-67.
(ZHU En-guo,DOU Jian.Bidirectional interactive function design and key technology of power information collection system [J].Automation of Electric Power Systems,2015,39(17):62-67.)
[2] 黄剑文,严宇平.基于聚类集成的用户负荷模式识别 [J].计算机应用与软件,2014,31(12):237-241.
(HUANG Jian-wen,YAN Yu-ping.User load pattern recognition based on clustering ensemble [J].Computer Applications and Software,2014,31(12):237-241.)
[3] 李靖波.宁夏中卫地区用户用电信息采集终端建设可行性研究 [J].电力需求侧管理,2010,12(5):57-58.
(LI Jing-bo.Feasibility study of user power information collection terminal construction in Ningxia central power station [J].Power Demand Side Management,2010,12(5):57-58.)
[4] 吴蔚.基于数据挖掘与关联规则的月度统计线损计算 [D].秦皇岛:燕山大学,2016.
(WU Wei.Monthly statistical line loss calculation based on data mining and association rules [D].Qinhuangdao:Yanshan University,2016.)
[5] 王鹏.计量自动化专变系统数据采集异常分析 [J].机电一体化,2014(4):24-25.
(WANG Peng.Abnormal analysis of data acquisition in measurement automation system [J].Mechatronics,2014(4):24-25.)
[6] 熊淦辉,黎沛坚,徐俊林,等.基于自适应匹配模型的停电管理系统设计与应用 [J].电子设计工程,2015(16):160-163.
(XIONG Gan-hui,LI Pei-jian,XU Jun-lin,et al.Outage management system design and application of adaptive matching model [J].Electronic Design En-gineering,2015(16):160-163.)
[7] 熊德智,粟忠民,黄志刚.特大型专变客户负荷控制方案优化 [J].电力需求侧管理,2013,15(4):24-26.
(XIONG De-zhi,SU Zhong-min,HUANG Zhi-gang.Optimization of customer load control scheme for extra large customer service [J].Power Demand Side Management,2013,15(4):24-26.)
[8] 万忠兵,谢智,王韬.基于本征时间尺度分解和时间序列分析的电能计量误差预测方法 [J].电气应用,2017(2):77-84.
(WAN Zhong-bing,XIE Zhi,WANG Tao.Prediction method of energy metering error based on time scale decomposition and time series analysis [J].Electric Application,2017(2):77-84.)
[9] 范媛媛,桑英军,胡光,等.基于小波变换的电能质量监测 [J].沈阳工业大学学报,2014,36(6):681-687.
(FAN Yuan-yuan,SANG Ying-jun,HU Guang,et al.Power quality monitoring based on wavelet transform [J].Journal of Shenyang University of Technology,2014,36(6):681-687.)
[10]唐毅.电能计量装置远程校验监测系统的设计与实现 [D].成都:电子科技大学,2012.
(TANG Yi.Design and implementation of remote checkout and monitoring system for electric energy metering device [D].Chengdu:University of Electronic Science and Technology of China,2012.)
[11]刘青阳,魏国亮,王永雄.基于模糊理论的永磁同步电机直接转矩弱磁控制 [J].电子科技,2015,28(6): 187-191.
(LIU Qing-yang,WEI Guo-liang,WANG Yong-xiong.Flux-weakening direct torque control of PMSM based on fuzzy logic algorithm [J].Electronic Science and Technology,2015,28(6): 187-191.)
[12]陈昌松,段善旭,殷进军,等.基于发电预测的分布式发电能量管理系统 [J].电工技术学报,2010,25(3):150-156.
(CHEN Chang-song,DUAN Shan-xu,YIN Jin-jun,et al.Distributed generation energy management system based on power generation forecasting [J].Journal of Electrotechnical Technology,2010,25(3):150-156.)
[13]邹永久.电力谐波对电能计量影响的分析 [J].电子科技,2012,25(11):74-75.
(ZOU Yong-jiu.Analysis of the influence of power harmonics on electric energy measurement [J].Electronic Science and Technology,2012,25(11):74-75.)
[14]张有顺,冯岗.电能计量基础 [M].北京:中国计量出版社,2007.
(ZHANG You-shun,FENG Gang.Energy measurement basis [M].Beijing:China Metrology Publishing House,2007.)
[15]Naghizadeh R A,Vahidi B,Hosseinian S H.An adaptive approach for simulation of inrush current in three-phase transformers considering hysteresis effects [J].Electric Power Components & Systems,2016,44(6):673-682.
[16]朱卫云,付东翔,葛懂林.基于RBF神经网络的永磁同步伺服电机控制系统 [J].电子科技,2016,29(1): 161-164.
(ZHU Wei-yun,FU Dong-xiang,GE Dong-lin.PMSM control system based on RBF neural network [J].Electronic Science and Technology,2016,29(1): 161-164.)
YANG Yu-qi
(Huludao Power Supply Company, State Grid Liaoning Electric Power Co.Ltd., Huludao 125001, China)
Abstract:In order to solve the problem of power consumption management for special transformer users, a piecewise linear model was proposed to forecast the monthly average electricity consumption ratio data of special transformer users and to realize the goal of saving the energy consumption. With theNpoint length data segmentation, the piecewise linear model was updated and generated, and the average electricity consumption ratio data for the next month were estimated. When the segmentation point lengthNwas from 4 to 8, the forecast accuracy difference of piecewise linear model was analyzed and discussed. The actual power consumption data for a special transformer user from 2015 onwards were forecasted and analyzed, and the error between the forecast values and actual data was compared and verified. The results show that when the optimal modeling point lengthNis 6, the proposed model has the minimum average prediction error.
Key words:piecewise linear model; electricity consumption; forecast; power management; energy saving; regression estimation; parameter selection
收稿日期:2017-03-02.
基金项目:国家自然科学基金资助项目(61372071).
作者简介:杨玉颀(1981-),男,辽宁锦州人,工程师,硕士,主要从事变电设备和电力系统计算等方面的研究.
* 本文已于2018-03-06 11∶10在中国知网优先数字出版. 网络出版地址: http:∥kns.cnki.net/kcms/detail/21.1189.T.20180306.0900.006.html
doi:10.7688/j.issn.1000-1646.2018.02.01
中图分类号:TM 774
文献标志码:A
文章编号:1000-1646(2018)02-0121-05
(责任编辑:景 勇 英文审校:尹淑英)