曹庆奎, 赵丽飞, 任向阳, 梁武超
(河北工程大学 管理工程与商学院, 河北 邯郸 056038)
摘 要:针对物流企业中资源不能有效地分配到不同客户手中,难以实现物流企业经济效益最大化的问题,基于客户关系管理理论,在考虑客户价值的情况下,从客户、物流配送运营商以及物流配送员三方面对物流配送系统的扰动建立了车辆调度干扰管理模型,并结合免疫算法设计了改进的种子群优化算法对模型进行求解.结合具体实例,对考虑客户价值的干扰管理模型与未考虑客户价值的干扰管理模型进行比较,结果表明,考虑客户价值的干扰管理模型能够获得更大的客户满意度.
关 键 词:车辆调度; 客户价值; 干扰管理; 改进种子群优化算法; 免疫算法; 自适应机制; 客户满意度; 路径偏离量
近年来,随着科学技术和社会经济的飞速发展,物流配送在人们生活中扮演着越来越重要的角色.为了更大化物流企业的经济效益,需要对客户进行判断、分类及管理,提高顾客满意度,使企业经济效益最大化.
车辆调度问题可定义为运输车辆从一个或多个设施到多个地理上分散的客户点,优化设计一套货物流动的运输路线,同时要满足一系列的约束条件.车辆调度的前提条件是客户点位置和道路情况已知,由此确定一套车辆运输路线,以满足目标函数的要求,通常的目标函数是总费用最低.Pillac等针对动态车辆调度问题,从信息质量和变化的角度,在提供一个一般描述的动态路径基础上,引入动态程度的概念,并全面回顾动态车辆路径问题及解决方案,提出了完善车辆路径问题可以从提高服务质量着手[1];Tas等研究了具有灵活时间窗的车辆路径问题,通过构造禁忌搜索算法对模型进行求解,提出了一种线性规划模型对客户路径进行详细优化的方法[2];马冬青等研究了物流配送双向车辆调度问题,参照经典车辆路径模型,考虑了车辆配送里程和用户数等限制,建立了双向车辆调度模型,将爬山算法引入粒子群算法当中设计出改进的粒子群算法,对模型进行求解,提高了算法的局部搜索能力[3];刘艳秋等针对已存在的供应链环境下较少考虑补货配送问题中分组配送策略,结合大量零售商对单一产品需求量不同等特点,构建了带有配送中心能力约束的补货配送优化模型,并利用改进的遗传算法对该模型求解[4].
自从干扰管理的思想被提出以来,国内外学者对此进行了研究.在计划实施过程中存在很多不确定信息,经常在执行计划过程中出现突发事件,这些突发事件会对原始的计划产生影响,需要对干扰事件发生以后的车辆调度状况进行分析研究,迅速、准确地生成对于整个配送系统扰动最小的车辆调度方案.物流配送中常见的干扰事件有车辆故障、道路阻塞、客户时间窗变动和客户需求量变动等.干扰管理与传统的不确定决策理论以及重调度理论有着本质的区别,车辆调度干扰管理主要侧重于干扰事件发生以后如何避免对于初始配送计划的扰动,是对原始车辆调度方案的局部调整.车辆调度干扰管理的目标是对原始计划产生最小的扰动.胡祥培等人叙述了干扰管理理念的形成与发展过程,总结了目前干扰管理的模型及算法,并指出现阶段干扰管理仍存在的问题和今后的研究方向[5];闫卓楠等人从客户不满意度、配送成本以及路径偏离程度三个方面来度量物流配送系统中的扰动,建立字典序多目标干扰管理模型,并利用启发式算法对模型进行求解[6];丁秋雷等人结合行为科学中对人行为感知的研究方法与运筹学中的定量研究方法,提出了基于前景理论的扰动度量方法,构建了字典序多目标干扰管理模型,并利用改进的蚁群算法求解该模型,针对物流配送中的干扰事件,提出了对不同客户采用不同的扰动策略[7];文献[8]对干扰模型进行扰动分析,并且建立了车辆调度的干扰模型,在度量客户不满意度时分别采用不同的方法来区分客户的重要程度.
由于价值不同的客户为企业创造的经济效益是不同的,为了将物流企业有限的资源运用到不同的客户中,使物流企业的经济效益最大化,现有的研究对于客户价值在车辆调度干扰管理方面的研究并不完善.本文在现有车辆调度干扰管理问题的基础上,综合考虑客户的价值,建立了考虑客户价值的多目标车辆调度干扰管理模型,并设计改进种子群优化算法对模型进行求解.
本文中数学模型问题描述如下:原始配送方案为最优方案;每辆车都从配送中心出发,把装载的货物配送到指定的客户后,返回配送中心;每辆车可以服务多个客户,但是每个客户只能有一辆车提供服务;每辆车配送货物的总量不能超过其装载能力,为了简化问题,假设每辆车的装载能力相同;客户对货物不准时送达有一定的容忍限度,但是无论何时送达,均不会拒收,并且本文中客户的不满意程度只与送货时间有关;当扰动发生以后,假设配送车辆所在位置为虚拟配送中心,是扰动后配送的起点,初始配送中心为配送的终点,并且在扰动发生以后,配送中心没有多余的车辆进行救援,只能使用原有的配送车辆完成配送任务;要求合理安排车辆的配送线路和行车时间,使得目标函数最优.
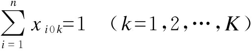
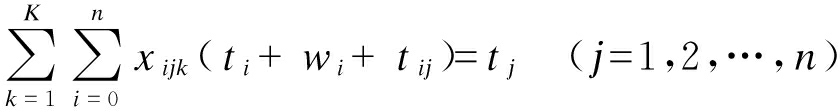
参数基变量说明如下:V为客户点集合,V=(v0,v1,v2,…,vn),其中,v0为配送中心,其余的为客户点;vm+1,vm+2,…,vm+K为当前配送车辆所在位置,即虚拟配送中心;K为配送车辆集合;Cij为车辆从vi到vj的配送成本;tij为车辆从vi到vj的行驶时间;qi为vi的需求量;Q为车辆的装载能力;[ETi,LTi]为vi的时间窗,其中,ETi为客户要求的最早到货时间,LTi为客户要求的最晚时间;ti为车辆到达vi的时间;wi为车辆对vi的服务时间![]()
为未完成配送任务客户总数量;DS为未被服务的客户;DP为对货物到达的不满意程度;DF为物流配送运营商对配送成本的不满意程度;DN为配送业务员即货车司机对路径偏离量的不满意程度;VC为虚拟客户点集;RT=VC∪DS;tijk为路径偏离参数,且tijk=
.
根据上述条件,建立初始方案模型如下:
(1)
(2)
(3)
(4)
(5)
(6)
(7)
(8)
ti≥ETi(i=1,2,…,n)
(9)
ti+wi≤LTi(i=1,2,…,n)
(10)
上述模型中,式(1)中Z为目标函数,表示总的配送成本最低;式(2)表示每辆车的装载量不超过其装载能力;式(3)表示每辆车均从配送中心出发;式(4)表示所有客户都能得到服务,并且只有一辆车对其进行服务;式(5)表示车辆对客户进行服务后,返回配送中心;式(6)~(8)表示变量之间的关系;式(9)、(10)表示应当满足客户的时间窗要求.
在衡量扰动事件对物流配送系统的扰动之前,首先应该根据客户的价值对客户进行等级划分.结合专家打分法,利用云模型中的正态云模型对客户进行等级划分.
1.4.1 客户价值评价指标体系的构建
针对物流企业的特点,考虑到客户具有主观能动性特征,在以往客户价值评价指标体系构成要素的基础上,引入了客户关系价值.在进行物流企业客户分类时,将客户价值分为客户当前价值、客户潜在价值和客户关系价值三个维度构建客户价值评价指标体系.将客户价值评价指标体系分为两个层次,即3个一级指标,11个二级指标,具体如表1所示.
表1 客户价值评价指标体系
Tab.1 Evaluation indexes for customer value

1.4.2 基于云模型的客户细分流程
基于云模型的客户细分流程如下:
1) 利用逆向云发生器结合专家打分法确定指标的权重;根据客户的实际情况,咨询了十位专家的意见后,采用云模型对评价指标的权重进行了修正.以客户周期服务费用为例,在第一轮的专家意见咨询中,专家对各指标权重的意见不太统一,相应的评分比较分散,熵和超熵都比较大,需进行再次评分.将上次评分得出的结果递交给各位专家,各位专家根据上次的结果修改自己的评分,随着不断地改善与反馈,打分情况逐渐统一,云模型对专家打分的修正过程如图1所示.

图1 专家打分情况
Fig.1 Expert scoring situations
经过多轮打分后,确定了各二级指标的评分数据,如表2所示.
表2 客户指标评分数据
Tab.2 Scoring data for customer indexes

2) 利用正向云发生器进行客户等级概念的划分,本文定义物流企业客户的评语集为:V=(v1,v2,v3),其中,v1(85~100分)表示重要客户;v2(40~85分)表示较为重要客户;v3(0~40分)表示一般客户,通过正态云模型进行概念划分,将等级概念几何化,并由此得出等级概念云,如图2所示.

图2 等级概念云
Fig.2 Hierarchical concept cloud
3) 利用逆向云发生器得出云的三个数字特征[Ex,En,He],分别选取某物流企业的8个客户的十位专家作为评分样本,利用逆向云发生器求得各个客户总评价云模型的三个数字特征,如表3所示.
4) 利用X条件云发生器确定各个客户的隶属度进行客户等级划分.由于偶然性的存在,在分界处的等级评价有可能会不同,但总的趋势趋于稳定.该物流企业的8个客户评价云模型的10次模拟结果以及评价结果如表4所示.
1.4.3 客户扰动的度量及模型的建立
本文主要从三个方面衡量物流配送系统的扰动,分别为客户整体满意度、物流配送成本以及货车司机满意度.单一客户的满意度同时满足软时间窗和硬时间窗的要求,其惩罚函数[9]为
表3 客户云模型指数
Tab.3 Cloud model indexes for customer

表4 客户等级云评价结果
Tab.4 Cloud evaluation results of customer grades


(11)
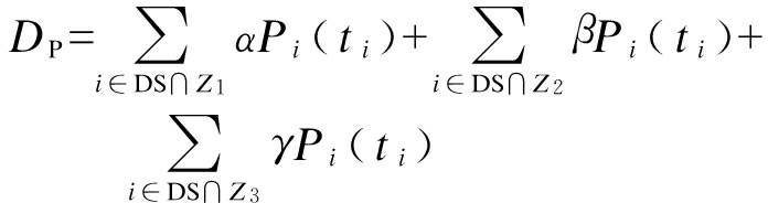
采用客户分级策略对整体的扰动大小进行度量,在进行客户等级划分时采用云模型对客户进行动态等级划分,客户整体不满意度度量公式为

(12)
物流配送运营商的配送成本扰动公式为
(13)
货车司机的满意程度主要由路径偏离量引起,因此用路径偏离量来代替货车司机的满意度,则路径偏离量扰动公式为
(14)
以上述三个干扰度量函数为基础,采用字典序多目标规划方法,构建基于客户等级划分的干扰管理模型如下:
min Lex=(P1∶DP,P2∶DF,P3∶DN)
(15)
P1≥P2≥P3
(16)
(17)
(18)
(19)
(20)
ti≥ETi(i=1,2,…,m)
(21)
ti+wi≤LTi(i=1,2,…,m)
(22)
式(11)是对单一客户不满意度的度量,对于配送系统中整体不满意度的度量,本文采用客户分级策略对整体的扰动大小进行度量,其中,M为非常大的数,ai、bi、mi和ni为惩罚系数;式(12)为客户整体不满意度,其中,Z1、Z2和Z3表示客户所属等级的集合,α、β和γ为这三类客户重要程度相关系数;式(13)为物流运营供应商配送成本扰动度量公式;式(14)为路径偏离量扰动公式;式(15)为目标函数表达式,表示在考虑客户等级划分的情况下调整方案与原始方案的偏离程度最小,即对系统扰动程度最小;式(16)为不同目标的优先级,决策者可以根据实际情况进行适当调整,本文模型中客户扰动最小化为第一级目标,物流配送运营商扰动最小化为第二级目标,物流配送员即货车司机扰动最小化为第三级目标;式(17)为车辆装载的货物量不能超过其装载能力;式(18)为每辆车都从虚拟配送中心出发;式(19)为车辆对客户服务结束以后,返回初始的配送中心;式(20)为各变量之间的关系;式(21)、(22)为满足客户时间窗.
在种子群算法初始化过程中,父代种群的随机选择可以借鉴免疫算法中记忆细胞的原理,即根据先验知识来判断,若之前有过类似问题出现,则可以从数据库中提取该类问题的记忆细胞,作为初代父种选择的基础.在种子群优化算法中,初始化得到的N个初代父种用实值向量来表示,即
X1={x11,x12,x13,…,x1e}
X2={x21,x22,x23,…,x2e}
X3={x31,x32,x33,…,x3e}
⋮
XN={xN1,xN2,xN3,…,xNe}
其中,N的大小由待求问题的规模来决定,e为后代种群的个数.
免疫算法的执行效率很大程度上取决于疫苗的选取和接种疫苗的位置,优良的疫苗是免疫算子有效发挥作用的基础和保障.在提取疫苗的特征信息时,不同于以往的传统方法,对于疫苗的提取设计了自适应机制来保证疫苗特征信息的提取率以及疫苗接种点的控制.
疫苗特征信息的提取率不仅可以使每一代最优父种的特征信息被最大限度的保留,而且保证了适应度值较小的父种得到一定进化,提高了其空间搜索能力.对于较大适应度值,采用较大的特征信息提取率;对于较小适应度值,采用较低的特征信息提取率.自适应特征信息提取概率的公式为
(23)
式中:fmax为最大适应度值或者依据先验知识预先设定的最大适应度值
为父种的平均适应度值;f′为用于交叉的父种的适应度值.
特征信息提取的概率依据父种的适应度值不断调整,当父种的适应度值较大时,特征信息提取的概率为1,当父种的适应度值低于平均适应度值时,特征信息提取概率会随着适应度值的减小而减小.
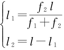
标准免疫算法的疫苗接种点是随机选取的,当群体中的基因类似时,免疫算子的影响力就会削弱,使得算法的搜索效率降低.为改变由于接种点的随机性和盲目性所带来的影响,本文设计了依据父种的适应度值来控制接种点位置的方法,适应度值大的父种接种到其他父种的疫苗的特征信息就多,反之就少.接种点的长度公式为

(24)
式中:l为父种分量的个数;f1为最优父种的适应度值;f2为其他待接种疫苗的适应度值.最优父种的疫苗特征信息的接种按照式(24)中的l2来接种,根据式(24)可知,当被接种疫苗的父种适应度值较小时,该父种分量改变的长度就会较长,对应分量的个数就较多,反之,如果被接种父种的适应度值较大,那么接种疫苗时,所保留的疫苗特征信息就会较少,即父种分量的个数参与接种的较少.
将接种疫苗后父种的适应度与之前未接种的种子适应度进行比较,如果接种疫苗之后种子的适应度值大于接种疫苗之前,并且种群间的距离符合给定的阈值,则采用接种后的种子作为下一代父种,否则,舍弃接种疫苗之后的种子,将原有的种子作为父种.
判断是否达到终止条件.将每次迭代的最优父种记为PBEST,将全局迭代产生的最优父种记为GBEST,当得到了理想的GBEST或者GBEST的值不再变化时,结束运行,输出结果.改进种子群算法的流程图如图3所示.

图3 改进种子群优化算法流程
Fig.3 Flow chart of improved seedoptimization algorithm
对文献[10]中的算例进行实验分析,该算例有8项货物运输任务(编号为1,2,…,8),各任务货运量为gi(单位:t).装货(或卸货)时间Ti(单位:h)以及要求每项任务开始执行的时间范围[ETi,LTi]如表5所示.这些任务由车场0发出的3辆容量为8 t的车辆来完成,车场0与各任务点之间以及各任务点之间的距离如表6所示.本文假设车辆的行驶时间与距离成正比,每辆车的平均行驶速度为50 km/h,则从点i到j的行驶时间为tij=dij/50.把各点之间的距离dij作为费用,则有Cij=dij(i,j=0,1,…,8).
表5 客户点信息
Tab.5 Information of customer points

表6 各任务点之间的距离
Tab.6 Distance between each task pointkm

采用Matlab 7.1编程实现上述算法,相关参数设置如下:父种个数为3,子种群个数为3,最大迭代次数为100,种群规模为100,粒子群中固定参数c1=c2=1.494.初始方案的配送路径以及两种算法运行结果比较分别如表7、8所示,图4为最优解的收敛情况,表明本文设计的改进种子群优化算法能够在较短时间内收敛到全局最优解.
表7 初始配送计划
Tab.7 Initial distribution plan

当t=2时,客户2的需求量变为3,分别利用改进种子群优化算法对考虑客户价值的车辆调度干扰管理模型以及普通的干扰管理模型进行求解,其中,式(12)中的参数采用专家打分法获得,从企业中选取10名专家,分别是物流配送中心工作人员3名,配送中心经理3名以及物流企业管理层4名对不同等级的客户进行打分.根据打分结果分析得出α=2,β=1,γ=0.6.利用普通车辆调度干扰管理模型求解出总的配送成本为945.77元,客户整体不满意度为42.06%,路径偏离量为3;利用考虑客户价值的车辆调度干扰管理模型求解出总的配送成本为944.64元,客户整体不满意度为39.89%,路径偏离量为3.
表8 改进种子群优化算法与粒子群优化算法
Tab.8 Improved seed swarm optimization algorithmand particle swarm optimization algorithm


图4 最优解收敛
Fig.4 Convergence of optimal solution
针对干扰模型的求解,本文设计了改进的种子群优化算法,并与粒子群算法相比较,在搜索速度上优于粒子群算法,并且解的稳定性较好,可以有效求解干扰管理过程中的车辆调度问题.对物流企业的客户根据客户价值进行划分,建立了考虑客户价值的车辆调度干扰管理模型.通过具体实例表明在根据客户价值对客户进行等级划分以后,优化所得的干扰管理模型的求解结果与一般的求解结果相比,配送成本虽然没有较大变化,但是客户整体的不满意度降低了2.17%.客户的整体满意度提高,有利于提高客户的忠诚度,通过发掘客户的潜在价值以及客户的关系价值,通过良好的客户关系管理为物流企业带来更多的经济效益,同时,也证明了在干扰管理过程中考虑客户价值的现实意义.
参考文献(References):
[1] Pillac V,Gendreau M,Guéret C,et al.A review of dynamic vehicle routing problems [J].European Journal of Operational Research,2013,225(1):1-11.
[2] Tas D,Jabali O,Van Woensel T.A vehicle routing problem with flexible time windows [J].Computers & Operations Research,2014,52(Part A):39-54.
[3] 马冬青,王蔚.基于改进粒子群算法的物流配送车辆调度 [J].计算机工程与应用,2014,50(11):246-250.
(MA Dong-qing,WANG Wei.Logistics distribution vehicle scheduling based on improved particle swarm optimization [J].Computer Engineering and Applications,2014,50(11):246-250.)
[4] 刘艳秋,曹歌,张颖,等.基于分组策略的补货配送问题优化模型 [J].沈阳工业大学学报,2017,39(2):165-169.
(LIU Yan-qiu,CAO Ying,ZHANG Ying,et al.Optimiza-tion model for replenishment and distribution problems based on grouping strategy [J].Journal of Shenyang University of Technology,2017,39(2):165-169.)
[5] 胡祥培,张漪,丁秋雷,等.干扰管理模型及其算法的研究进展 [J].系统工程理论与实践,2008,28(10):40-46.
(HU Xiang-pei,ZHANG Yi,DING Qiu-lei,et al.Review on disruption management model and its algorithm [J].Systems Engineering-Theory & Practice,2008,28(10):40-46.)
[6] 闫卓楠,王承文,俞虹.城市灾害应急物流配送干扰管理系统模型研究 [J].工程管理学报,2014,28(2):61-65.
(YAN Zhuo-nan,WANG Cheng-wen,YU Hong.Emergency logistics distribution management system of city disaster interference model [J].Journal of Engineering Management,2014,28(2):61-65.)
[7] 丁秋雷,胡祥培,姜洋.基于前景理论的物流配送干扰管理模型研究 [J].管理科学学报,2014,17(11):1-19.
(DING Qiu-lei,HU Xiang-pei,JIANG Yang.A model of disruption management based on prospect theory in logistic distribution [J].Journal of Management Sciences in China,2014,17(11):1-19.)
[8] 丁秋雷,胡祥培,姜洋.物流配送受扰问题的干扰管理两阶段决策方法 [J].运筹与管理,2012,21(6):84-93.
(DING Qiu-lei,HU Xiang-pei,JIANG Yang.Two-stage decision-making method of disruption management for solving delay in distribution [J].Operations Research and Management Science,2012,21(6):84-93.)
[9] 王旭坪,阮俊虎,张凯,等.有模糊时间窗的车辆调度组合干扰管理研究 [J].管理科学学报,2011,14(6):2-15.
(WANG Xu-ping,RUAN Jun-hu,ZHANG Kai,et al.Study on combinational disruption management for vehicle routing problem with fuzzy time windows [J].Journal of Management Sciences in China,2011,14(6):2-15.)
[10]李海涛.基于3G无线通信技术的物流配送车辆优化调度问题 [J].物流技术,2014(15):338-341.
(LI Hai-tao.Study on logistics distribution vehical optimal dispatching based on 3G wireless telecommunication technology [J].Logistics Technology,2014(15):338-341.)
CAO Qing-kui, ZHAO Li-fei, REN Xiang-yang, LIANG Wu-chao
(School of Management Engineering and Business, Hebei University of Engineering, Handan 056038, China)
Abstract:Aiming at the problem that the resources in the logistics enterprises can not effectively be allocated to different customers and the maximization of economic benefits of logistics enterprises is hard to be achieved, based on the customer relationship management theory and with considering the customer value, the disruption management model for vehicle scheduling was established for the disturbance of logistics distribution system from three aspects including the customers, logistics enterprises and logistics staffs. In addition, an improved seed optimization algorithm in combination with the immune algorithm was designed to solve the proposed model. In combination with the specific examples, the disruption management models with and without considering the customer value were compared. The results show that the disruption management model with considering customer value can receive better customer satisfaction.
Key words:vehicle scheduling; customer value; disruption management; improved seed optimization algorithm; immune algorithm; adaptive mechanism; customer satisfaction; path deviation
收稿日期:2016-10-17.
基金项目:河北省社会科学基金资助项目(HB16GL026).
作者简介:曹庆奎(1963-),男,河北唐山人,教授,博士,主要从事供应链管理等方面的研究.
* 本文已于2018-02-26 16∶31在中国知网优先数字出版. 网络出版地址: http:∥kns.cnki.net/kcms/detail/21.1189.T.20180226.0858.022.html
doi:10.7688/j.issn.1000-1646.2018.02.12
中图分类号:TP 301
文献标志码:A
文章编号:1000-1646(2018)02-0185-07
(责任编辑:钟 媛 英文审校:尹淑英)