建筑工程
周 勃1, 宋胜波1, 董立国2
(1. 沈阳工业大学 建筑与土木工程学院, 沈阳 110870; 2. 特灵空调系统(中国)有限公司, 沈阳 110013)
摘 要:为了研究不同送风方式对某办公建筑会议室室内温度场、污染物浓度场及速度场的影响,利用实际测量的会议室尺寸数据建立数学模型,以监测到的相关参数作为软件模拟的边界条件,通过CFD软件对会议室采用不同送风方式进行数值模拟.分析和比较不同送风方式对会议室内温度场、污染物浓度场和速度场的影响,得出顶送风方式下温度处于23.7~25 ℃之间,甲醛浓度基本低于0.1 mg/m3,风速大部分处于0.013~0.093 m/s之间.结果表明,顶送风方式的送风效果优于侧送风方式.
关 键 词:会议室; 温度场; 甲醛; 速度场; CFD软件; 数值模拟; 顶送风; 侧送风
随着我国经济的不断发展,人们对室内空气品质的要求不断提高.大量分析表明,人的一生中有超过80%的时间是在室内度过的[1],室内空气品质的优劣与人类健康密切相关,因此,选择合适的送风方式对办公类建筑室内热舒适性和空气品质的控制特别重要.
近些年来,计算流体力学(CFD)技术在室内环境模拟方面得到了重大发展[2-6].利用计算流体力学技术进行数值模拟具有投资费用少和所用时间短等特点.关于甲醛污染物分布情况前人做了许多工作[7-9].本文以沈阳市某办公类建筑中一会议室为研究对象,利用计算流体力学技术对会议室内环境进行数值模拟,在不同送风方式下对室内温度场、污染物(甲醛)浓度场和速度场分布情况进行了数值分析.
会议室在不同送风方式下物理模型如图1、2所示,其空间结构为:长度为X=7.5 m,宽度为Y=6.8 m,高度为Z=2.7 m,北墙为外墙,东、南、西墙为内墙.窗户在北墙上,窗户尺寸为高×宽=1.7 m×0.9 m.本文着重分析同侧上送风下回风和顶送风下回风两种不同送风方式对室内环境的影响情况.模拟工况中,人员、桌子、送风口和回风口尺寸等相关参数如表1所示.

图1 侧送风房间的几何模型
Fig.1 Geometrical model for side air supply room

图2 顶送风房间的几何模型
Fig.2 Geometric model for top air supply room
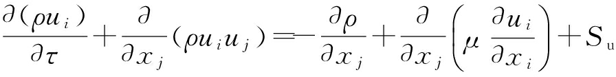
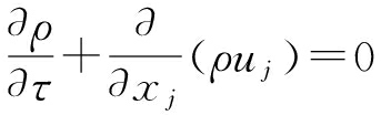
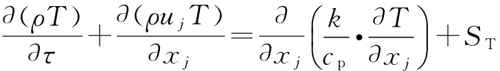
本文使用CFD软件进行数值模拟,计算过程中不考虑空气与室内各面摩擦情况,会议室内空气为稳态湍流,不可压缩且符合Boussinesq假设,采用标准的k-ε模型.会议室内通风的数学模型控制方程包括连续性方程、动量方程和能量方程[10],其表达式如下所示.
表1 室内人员、桌子、送风口、回风口的相关参数
Tab.1 Relevant parameters for indoor personnel,desk,air supply outlet and return air inletm

连续性方程:
(1)
动量方程:
(2)
能量方程:
(3)
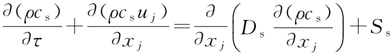
由于本文模拟了污染物(甲醛)从桌子表面向会议室内扩散的过程,应用到组分传输模型,因此,控制方程还应包括组分质量守恒方程,其表达式为
(4)
影响室内空气品质的因素有很多,包括送回风口的位置、数量、形式以及送风口的风速和送风温度等.本文主要研究影响会议室内热舒适性和空气品质的主要因素,即送风口位置的变化对会议室内温度场、污染物(甲醛)浓度场和速度场的影响.本文截取Z=1.2 m(距离地面1.2 m为会议室内人员正坐时呼吸区域的高度)和X=3.75 m截面来分别显示会议室水平面和立面上温度、污染物(甲醛)浓度和风速的分布情况,通过对比分析选择出相对较好的空调系统送风方式.
图3~6分别为侧送风方式和顶送风方式下Z=1.2 m、X=3.75 m截面处的温度场分布情况.由图3可知,侧送风情况下Z=1.2 m截面上温度场分布相较顶送风方式下差异性较大,局部区域温度低于23 ℃,会议室内人员会有明显冷感;靠近北墙一侧由于受室外温度影响,温度分布趋于均匀.由图4可知,顶送风情况下室内温度较均匀,会议室内活动区域温度保持在23.7~25 ℃的范围内,室内舒适性较好.虽然存在局部区域温度低于23 ℃,但范围较小,对整体的影响不会太大.由图5、6可知,采用侧送风方式,在X=3.75 m截面上会议室内西墙附近温度较低,会议室后排就坐的人员会有明显的冷感,不满足ISO7730中规定的当人在固定位置从事轻工作时,有效温度为23~26 ℃的要求.而顶送风方式下,由于送风口直接将空气送至教室中间,因此,送风口下方部分区域温度会稍低一些.由于顶送风情况下会议室内温度大部分处于23.9~25.5 ℃范围之内,因此满足室内舒适性要求.

图3 Z=1.2 m侧送风温度分布
Fig.3 Temperature distribution under sideair supply mode with Z=1.2 m

图4 Z=1.2 m顶送风温度分布
Fig.4 Temperature distribution under topair supply mode with Z=1.2 m
室内甲醛污染带来的危害已经越来越被人们所熟知[11].图7、8分别为侧送风和顶送风方式下在Z=1.2 m截面处的甲醛污染物浓度分布情况.由图7可知,人员在会议室开会时的呼吸区域和其他局部区域内甲醛污染物浓度均未超过0.1 mg/m3,室内甲醛污染物浓度满足《室内空气质量标准》(GB/T18883)规定的室内空气中甲醛含量不得超过0.1 mg/m3限值的情况.由于侧送风方式空气在送达西墙后出现下沉,室内空气循环扰动从而带动局部甲醛污染物运动,因此,可以明显看出会议室内西墙附近区域内甲醛污染物浓度值低于东墙侧污染物浓度值.由图8可知,顶送风方式下Z=1.2 m截面上甲醛污染物浓度分布情况相对优于侧送风方式,室内污染物浓度最高1.055×10-7mg/m3,且相对高浓度区域较侧送风要小.两种送风方式下靠近北墙一侧甲醛污染物浓度明显高于靠近南墙一侧,这是因为北墙一侧与室外空气接触,有热量透过北墙传入室内,从而加速了室内靠近北墙一侧桌子内污染物(甲醛)的散发.图9、10分别为侧送风和顶送风方式下在X=3.75 m截面处的甲醛污染物浓度分布情况.从图中可以看出,两种送风方式基本上均能够满足室内空气中对甲醛污染物含量的要求.由于甲醛污染物是从桌子表面散发出来,因此从图中可知桌子表面甲醛浓度较大,随着与桌面距离的不断增大,甲醛浓度逐渐减少.

图5 X=3.75 m侧送风温度分布
Fig.5 Temperature distribution under sideair supply mode with X=3.75 m

图6 X=3.75 m顶送风温度分布
Fig.6 Temperature distribution under topair supply mode with X=3.75 m

图7 Z=1.2 m侧送风甲醛浓度场
Fig.7 Formaldehyde concentration under sideair supply mode with Z=1.2 m

图8 Z=1.2 m顶送风甲醛浓度场
Fig.8 Formaldehyde concentration under topair supply mode with Z=1.2 m

图9 X=3.75 m侧送风甲醛浓度场
Fig.9 Formaldehyde concentration under sideair supply mode with X=3.75 m
本文对室内甲醛污染物浓度的模拟结果与前人对室内空气中甲醛污染物浓度的监测和调查结果进行了比较[12-13],结果基本吻合.
会议室工作区域内送风速度分布情况的好坏是衡量热舒适性的一个重要指标.如果工作区域内气流运动速度过快,不仅会影响工作区域内温度的分布,而且会使人有明显吹风感,但是会提高甲醛的稀释速度.图11~14分别为两种送风方式下Z=1.2 m、X=3.75 m截面处的风速分布情况.

图10 X=3.75 m顶送风甲醛浓度场
Fig.10 Formaldehyde concentration under topair supply mode with X=3.75 m

图11 Z=1.2 m侧送风速度场
Fig.11 Velocity field under side air supplymode with Z=1.2 m

图12 Z=1.2 m顶送风速度场
Fig.12 Velocity field under top air supplymode with Z=1.2 m
在侧送风方式下,气流从侧送风口射出沿射流方向送至人员工作区域,由图11可知,由于气流速度随输送距离的增加逐渐减小,再加上受重力影响,在气流到达西侧墙体时送风速度普遍小于0.089 84 m/s,Z=1.2 m截面上最大风速为0.251 5 m/s,工作区域内风速均小于0.3 m/s,符合空调室内有关速度的设计要求.为了与侧送风方式下室内的速度分布情况进行对比,本文截取了顶送风方式下Z=1.2 m截面模拟图.顶送风情况下气流从送风口直接送至会议室内人员工作区,工作区域内气流的速度处于0.026 74~0.147 1 m/s之间,远远低于0.25 m/s,符合ASHRAE国际标准.由图13、14对比分析可以得出,X=3.75 m截面上顶送风方式下送风速度更为均匀且均小于0.3 m/s.

图13 X=3.75 m侧送风速度场
Fig.13 Velocity field under side air supplymode with X=3.75 m

图14 X=3.75 m顶送风速度场
Fig.14 Velocity field under top air supplymode with X=3.75 m
两种不同送风方式下室内温度场、污染物(甲醛)浓度场及速度场的数值对比如表2所示.
表2 不同送风方式下不同参数值的对比
Tab.2 Comparison in different parameter values under different air supply modes

本文利用计算流体力学技术模拟沈阳市某办公类建筑中一会议室内不同送风方式下的温度场、污染物(甲醛)浓度场和速度场,并对模拟结果进行比较分析,得出以下结论:
1) 顶送风情况下所得室内温度场分布绝大部分处于23.7~25 ℃之间,满足夏季室内人员舒适度要求.但侧送风方式会造成会议室内西墙附近温度偏低,局部区域内温度低于23 ℃,不利于会议室内工作人员的思考和注意力的集中.
2) 会议室采取顶送风和侧送风两种送风方式都未出现会议室内局部区域甲醛污染物浓度超出限值0.1 mg/m3的情况,在顶送风方式下Z=1.2 m截面上甲醛污染物浓度最高为1.055×10-7mg/m3,相比较而言顶送风方式下室内甲醛浓度分布较为均匀,顶送风更有利于维持室内良好的空气品质.
3) 侧送风与顶送风两种送风方式下室内风速均小于0.3 m/s,但顶送风方式下会议室内空气流速更趋于均匀,室内风速基本处于0.013~0.093 m/s之间,会议室内人员感觉更舒适.
综上所述,会议室内采用顶送风方式可更好地为室内人员创造舒适良好的环境.
参考文献(References):
[1] 张寅平.室内空气质量控制:新世纪的挑战和暖通空调人的责任 [J].暖通空调,2013,43(12):1-7.
(ZHANG Yin-ping.Indoor air quality control:the challenges and responsibilities of HVAC researchers in the new century [J].Journal of HV&AC,2013,43(12):1-7.)
[2] 刘婷婷.某数据机房气流组织模拟及运行优化 [J].暖通空调,2015,45(3):71-75.
(LIU Ting-ting.Air distribution simulation and operation optimization for a data room [J].Journal of HV&AC,2015,45(3):71-75.)
[3] 王烨,张文霞,胡文婷.室内环境参数对室外气象参数瞬时变化的动态响应研究 [J].重庆大学学报,2015,38(3):8-14.
(WANG Ye,ZHANG Wen-xia,HU Wen-ting.Dynamic response study of the indoor environmental parameters for variable outdoor meteorological conditions [J].Journal of Chongqing University,2015,38(3):8-14.)
[4] 吕洁,张琼,周勃,等.自然通风作用下计算机房夏季热环境数值模拟 [J].沈阳工业大学学报,2016,38(1):115-120.
(LÜ Jie,ZHANG Qiong,ZHOU Bo,et al.Numerical simulation of summer thermal environment in compu-ter room under action of natural ventilation [J].Journal of Shenyang University of Technology,2016,38(1):115-120.)
[5] 秦怡,李丽,周孝清,等.送风速度对层式通风房间空气品质影响的数值模拟 [J].制冷与空调,2016,30(3):350-354.
(QIN Yi,LI Li,ZHOU Xiao-qing,et al.Numerical simulation on the influence of different supply air velocity on air quality under stratum ventilation [J].Refrigeration and Air-Conditioning,2016,30(3):350-354.)
[6] 吕洁,吴亚平,周勃,等.低屋面横向通风牛舍倾斜挡风板流场数值模拟 [J].沈阳工业大学学报,2015,37(6):700-704.
(LÜ Jie,WU Ya-ping,ZHOU Bo,et al.Numerical simulation for flow field of sloping wind deflector in low profile cross ventilated cow barn [J].Journal of Shenyang University of Technology,2015,37(6):700-704.)
[7] 岳高伟,陆梦华,贾慧娜.室内污染物扩散的通风优化数值模拟 [J].流体机械,2014,42(4):81-85.
(YUE Gao-wei,LU Meng-hua,JIA Hui-na.Numerical simulation of indoor pollutant diffusion on ventilation optimization [J].Fluid Machinery,2014,42(4):81-85.)
[8] 骆伟,刘荣华,邱汉峰.自然通风作用下室内甲醛浓度分布数值模拟分析 [J].制冷与空调,2013,27(5):504-508.
(LUO Wei,LIU Rong-hua,QIU Han-feng.Numerical simulation and analysis of indoor formaldehyde concentration distribution under the action of nature ventilation [J].Refrigeration and Air-Conditioning,2013,27(5):504-508.)
[9] 张金萍,于水静,宋梦堃.家具和服装市场室内甲醛和PM2.5污染水平的测试研究 [J].建筑科学,2016,32(6):21-26.
(ZHANG Jin-ping,YU Shui-jing,SONG Meng-kun.Study on the pollution level of formaldehyde and PM2.5 in indoor environment of furniture and clothing markets [J].Building Science,2016,32(6):21-26.)
[10]周俊杰.FLUENT工程技术与实例分析 [M].北京:中国水利水电出版社,2010.
(ZHOU Jun-jie.FLUENT engineering technology and case analysis [M].Beijing:China Water & Power Press,2010.)
[11]王罡.室内装修空气污染现状与防治措施 [J].山西建筑,2014,40(26):196-197.
(WANG Gang.The status and prevention measures of indoor decoration air pollution [J].Shanxi Architecture,2014,40(26):196-197.)
[12]刘延秋,唐功臣,陶勇,等.某部营房室内空气中甲醛污染状况调查 [J].解放军预防医学杂志,2008,26(1):35-36.
(LIU Yan-qiu,TANG Gong-chen,TAO Yong,et al.Investigation on formaldehyde pollution in indoor air of a certain barracks [J].Journal of Preventive Medicine of Chinese People’s Liberation Army,2008,26(1):35-36.)
[13]崔凯杰,古金霞,侯瑞,等.室内空气甲醛污染状况及其影响因素分析 [J].南开大学学报(自然科学版),2013,46(2):28-31.
(CUI Kai-jie,GU Jin-xia,HOU Rui,et al.Indoor air pollution of formaldehyde and its affecting factors analysis [J].Acta Scientiarum Naturalium University Nankaiensis,2013,46(2):28-31.)
ZHOU Bo1, SONG Sheng-bo1, DONG Li-guo2
(1. School of Architecture and Civil Engineering, Shenyang University of Technology, Shenyang 110870, China; 2. Trane Air Conditioning System (China) Co. Ltd., Shenyang 110013, China)
Abstract:In order to study the effect of different air supply modes on the indoor temperature field, pollutant concentration field and velocity field in the conference room of an office building, the mathematical model was established based on the size of conference room obtained with the actual measurement, the relevant monitored parameters were taken as the boundary condition of numerical simulation, and the conference room under different air supply modes was simulated with the CFD software. The influence of different air supply modes on the temperature field, pollutant concentration field and velocity field in the conference room was analyzed and compared. It is found that the temperature under the top air supply mode is between 23.7 and 25 ℃, the formaldehyde concentration is basically less than 0.1 mg/m3, and the wind speed is mostly between 0.013 and 0.093 m/s. The results show that the effect of top air supply mode is superior to that of side air supply mode.
Key words:conference room; temperature field; formaldehyde; velocity field; CFD software; numerical simulation; top air supply; side air supply
收稿日期:2016-12-16.
基金项目:国家自然科学基金资助项目(51575361); 辽宁省百千万人才工程计划项目(2015049).
作者简介:周 勃(1976-),女,辽宁沈阳人,教授,博士生导师,主要从事供热、供燃气、通风与空调工程等方面的研究.
* 本文已于2018-02-26 13∶32在中国知网优先数字出版. 网络出版地址: http:∥kns.cnki.net/kcms/detail/21.1189.T.20180226.0919.036.html
doi:10.7688/j.issn.1000-1646.2018.02.17
中图分类号:TU 111.1
文献标志码:A
文章编号:1000-1646(2018)02-0213-06
(责任编辑:钟 媛 英文审校:尹淑英)