王海军1, 王子山1, 刘红钊1, 魏 华1, 吴德强2
(1. 沈阳工业大学 建筑与土木工程学院, 沈阳 110870; 2. 中铁十五局集团 第五工程有限公司, 天津 300000)
摘 要:为了准确施加斜拉桥的恒载初始索力,提出了一种基于ANSYS平台控制温度索力迭代施加的方法,从而精确施加斜拉桥初始成桥索力.以设计索力作为目标值,考虑斜拉桥几何非线性因素,初始索力以初始温度的形式施加到斜拉索上,运用APDL二次开发软件编制了斜拉桥成桥索力迭代计算程序,并将该程序应用于双塔双索面钢
混凝土叠合梁斜拉桥结构分析中.结果表明,桥塔两侧斜拉索的计算索力与目标索力误差均在5%以内,该初始索力迭代方法具有方便快捷和效率高的优点.
关 键 词:初始索力; ANSYS平台; 迭代方法; 设计索力; 初始温度; 二次开发; 计算程序; 结构分析
ANSYS软件提供了二次开发的参数化语言,可以模拟拉索的单元主要有Link8、Link10与Link180[1].拉索是斜拉桥的关键构件,对于拉索初始恒载索力的准确施加成为后续斜拉桥分析的重要基础[2-4].初始索力的施加可分为不同的方式,目前,ANSYS中初始索力的施加方法主要有三种:初应变法、生死单元法与循环迭代法.
初应变法适用于拉索点固定不变的情况,将拉索索力换算成为拉索初应变,将初应变赋予单元,相当于给单元施加了已知的索力,此时索力是相当准确的.该方法的缺点是在几何非线性的影响下,拉索锚固点必然会产生移动,此时并不能得到准确的拉索索力.
生死单元法通过对拉索节点施加集中力,利用软件自带的生死单元功能将其杀死,除去集中力后将其激活,此时便得到了初始索力,对多根索力的施加其原理一致[5].该方法的缺点是拉索索力在变形前后始终与拉索端点的连线一致,并不是方向不变,因此,该方法并不能得到准确的初始索力.
循环迭代法分为初应变迭代法和初始温度迭代法.基于初应变的迭代法将拉索索力换算为初应变,在ANSYS中需要将其分解为竖向与横向的初应变,计算结果很准确,该方法的缺点是计算量庞大且容易产生计算错误.基于初始温度的迭代法将拉索索力换算为初始温度的形式进行迭代计算,计算过程相对初应变法简单,且不容易产生计算误差,克服了上述方法中的不足,使计算结果更精确有效.
大跨度斜拉桥的非线性因素包括斜拉索的大位移效应、垂度效应和梁
柱效应[6-7].斜拉桥相应上部结构的几何位置变化相对显著,将平衡方程建立在变形后的位置形状上用以考虑结构梁
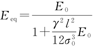
柱效应和大位移效应.在ANSYS中,利用单根直线单元来模拟曲线斜拉索使得斜拉索垂度没有得到充分考虑,需要使用等效弹性模量法来更合理地考虑拉索的垂度效应,称其为Ernst公式,其表达式为

(1)
式中:Eeq为Ernst修正后的弹性模量;E0为拉索的弹性模量;γ为单位体积斜拉索的重量;σ0为恒载作用下斜拉索的应力;l为斜拉索水平投影的长度.
本文假定设计院提供的设计斜拉索成桥索力为成桥恒载作用下的斜拉索索力,考虑斜拉桥的几何非线性效应,反复计算并调整施加斜拉索的初始索力值,直至在恒载作用下计算所得到的斜拉索索力值与设计提供的成桥索力值的相对误差在工程允许的范围内.实例证明,以设计院提供的斜拉桥恒载作用下的成桥索力通过温度循环迭代进行索力的迭代计算,可以得到较为精确的结果,加快成桥索力的准确施加速度,并保证其在工程误差5%的范围内,索力的计算公式为
(2)
式中:w为索力的迭代误差;T迭代为经过迭代计算后的索力;T设计为设计院提供的初始索力.
利用ANSYS提供的参数化设计语言对其进行二次开发,在ANSYS中实现斜拉桥初始索力的确定方法[8-10].由于ANSYS不能直接输入初始索力,因此,初始索力按照考虑垂度效应Ernst公式修正弹性模量求出相应温度变化,以改变初始温度的形式加到斜拉索上,流程图如图1所示.图1中,T0为初始温度;F0为目标索力;F为提取索力;A为拉索断面;α为温度膨胀系数.

图1 温度迭代流程图
Fig.1 Flow chart for temperature iteration
具体实现过程如下:
1) 在ANSYS通用软件平台上建立桥梁的有限元模型,定义施加重力场与二期恒载以及边界约束条件.
2) 定义并输入可变更参数数组,将初始索力对应的初始温度差导入软件平台中,作为可修改的参数存储在数组内.
3) 通过调节ANSYS平台自带设置开关调整相关参数以考虑斜拉桥的几何非线性(包含结构大位移和梁
柱效应).
4) 利用ANSYS平台的循环命令开关进行迭代求解计算,并将每一次求解的索力结果与提供的成桥恒载索力进行误差分析,将其误差控制在5%的工程接受误差范围内.如果误差超限,则把索力差值换算为温差ΔT,令T=T+ΔT,继续计算,直至计算索力满足要求.
以通用软件ANSYS平台为基础,每次经过静力计算,提取对应斜拉索索力值,并且每次提取的索力值都会与设计院提供的初始索力值进行对比,将每次提取得到的索力与初始索力的差值转换为等大的索力值继续施加到斜拉索上,通过循环计算的方式达到准确施加初始索力的目的.
赣江二桥工程起于S324省道(清宜公路)与工业四路交叉口,经工业四路,在荷湖馆张家村跨袁河合流处赣江北支,经誉家洲后跨赣江南支,在伞头村方家西侧跨赣东大堤上岸,经湖头村,终点与药都大道相交,路线全长4.188 km,其中桥梁长 2 529 m,主桥为双塔400 m跨斜拉桥.
主桥采用双塔双索面结合梁斜拉桥方案,边跨设置一个辅助墩.主桥钢结构桥全长(54+114)×2+400 m,梁底横向水平设置,桥面设置双向2%横坡,道路中心线为横向最高点,梁高3 m,桥面总宽29.2 m,为钢框架结构.钢桥总重6 920.2 t.斜拉索采用空间扇形双索面布置,全桥共21×4×2=168根斜拉索,斜拉索采用PESC7-109、PESC7-121、PESC7-139、PESC7-151、PESC7-187、PESC7-199、PESC7-253共七种规格.斜拉索钢丝的抗拉标准强度Rby=1 670 MPa,最长索214.808 m(无应力索长),最短索55.656 m,单根索最大重量17.62 t(含PE和锚具重量),顺桥向梁上基本索距9 m,塔上索距1.3~2.2 m,采用扭绞型平行钢丝拉索.塔端采用张拉端冷铸锚具,梁端采用固定端冷铸锚具.拉索布置图如图2所示(单位:m).

图2 拉索布置
Fig.2 Cable location
该斜拉桥为双塔双索面结构,复杂的结构形式使得斜拉索之间相互影响程度加大,通过往常以手动的形式来调整施加的索力,不但工作任务量大,而且还不一定能够得到满意的结果.由于斜拉桥结构复杂,有限元模型规模巨大,累计节点数多达上万个,ANSYS完成一次响应的索力施加计算往往就需要较长时间,计算人员不能离开,比较耗费时间.按照本文提出的准确施加初始索力的方法,利用APDL参数化设计语言进行二次开发,很方便地使ANSYS自动完成该斜拉桥初始索力的施加过程.施加索力用到的1/2斜拉桥有限元模型与全桥有限元模型如图3、4所示.

图3 1/2有限元模型
Fig.3 1/2 finite element model
索力计算结果对比如表1所示.表1中,B为边跨,Z为中跨.由于斜拉桥结构复杂,斜拉索数量较多,表1中只给出了1/2斜拉索初始索力施加的迭代计算结果.ANSYS计算结果与设计索力的对比柱状图如图5所示.图5中拉索从左侧边跨到跨中的索号即为表1中索号.

图4 整体有限元模型
Fig.4 Whole finite element model
由表1和图5可知,15次循环迭代计算后,计算所得到的索力值足够接近设计院提供的设计索力值,并且相对误差很小,所得到的成桥状态时恒载作用下的迭代索力与设计院提供的设计成桥索力误差在5%以内,证明了本文方法具备迭代计算速度快、计算结果精度高、人工参与程度小的优势.
表1 索力计算结果
Tab.1 Calculation results of cable force


图5 索力柱状图
Fig.5 Histogram of cable force
本文通过ANSYS平台的APDL参数化设计语言进行二次开发,实现了初始索力的迭代施加方法,通过利用本文初始索力迭代施加的计算方法,使斜拉桥繁琐的调索过程在ANSYS软件中自动完成.算例表明,通过该方法可以方便快捷地迭代施加、计算斜拉桥拉索索力,从而使索力的施加变得快捷、准确、有效.在参数化的分析过程中,可以修改其中的参数用来反复分析各种不同尺寸、不同恒荷载大小的多种斜拉索索力的施加,为以后其他斜拉桥初始索力的准确施加提供了可利用的命令文件,为相关问题的二次开发提供了参考.
参考文献(References):
[1] 陈颜,高明大.基于ANSYS平台的斜拉桥成桥索力优化方法 [J].山西建筑,2011,36(16):183-184.
(CHEN Yan,GAO Ming-da.Optimization method of cable tensions for stayedcable bridge based on ANSYS [J].Journal of Shanxi Architecture,2011,36(16):183-184.)
[2] 王海军,孔祥宇.格构式钢管混凝土风力机塔架的设计 [J].沈阳工业大学学报,2015,37(3):253-259.
(WANG Hai-jun,KONG Xiang-yu.Design of lattece wind turbine tower using concerte filled steel tube [J].Journal of Shenyang University of Technology,2015,37(3):253-259.)
[3] 周强,杨文兵,杨新华.斜拉桥索力调整在ANSYS中的实现 [J].华中科技大学学报(城市科学版),2005,22(增刊):81-83.
(ZHOU Qiang,YANG Wen-bing,YANG Xin-hua.The realization of cable force adjustment of cable stayed bridge in ANSYS [J].Journal of Huazhong University of Science and Technology,2005,22(Sup):81-83.)
[4] 刘杰.曲线宽箱梁桥梁格模型建立与分析 [D].长沙:中南林业科技大学,2014.
(LIU Jie.The grillage modeling and force analysis of wide curved box girder bridge [D].Changsha:Central South University of Forestry and Technology,2014.)
[5] 张杨永,周云岗,姜海西.基于ANSYS的超大跨度斜拉桥的索力模拟 [J].沈阳建筑大学学报,2009,25(5):909-913.
(ZHANG Yang-yong,ZHOU Yun-gang,JIANG Hai-xi.Cable force simulation for super long-span cable-stayed bridge based on ANSYS [J].Journal of Shenyang Jianzhu University,2009,25(5):909-913.)
[6] 郑莹.自定义截面在ANSYS分析复杂钢架结构中的应用 [J].化学工程与装备,2015(9):134-136.
(ZHENG Ying.Study on the technology of the composite board of the nickel iron chromium alloy and stainless steel [J].Chemical Engineering & Equipment,2015(9):134-136.)
[7] 汪峰,刘沐宇.基于ANSYS平台大跨度斜拉桥非线性成桥初始索力确定 [J].土木工程与管理学报,2013,30(2):37-40.
(WANG Feng,LIU Mu-yu.Analysis of nonlinear bridge-completing cable force of long span cable-stayed bridge based on ANSYS [J].Journal of Civil Engineering and Management,2013,30(2):37-40.)
[8] 朱云仙,真虹.国外并行工程研究与应用进展综述 [J].机械设计与研究,2005,24(4):66-69.
(ZHU Yun-xian,ZHEN Hong.Review on research and application of concurrent engineering in foreign countries [J].Mechanical Design and Research,2005,24(4):66-69.)
[9] 李黎明.ANSYS 有限元分析适用教程 [M].北京:清华大学出版社,2005.
(LI Li-ming.Application tutorial of ANSYS finite element analysis [M].Beijing:Tsinghua University Press,2005.)
[10]金晶.斜拉桥静动力有限元分析 [D].合肥:合肥工业大学,2009.
(JIN Jing.Finite element analysis of the static and dynamic characteristics of cable-stayed bridge [D].Hefei:Hefei University of Technology,2009.)
WANG Hai-jun1, WANG Zi-shan1, LIU Hong-zhao1, WEI Hua1, WU De-qiang2
(1. School of Architecture and Civil Engineering, Shenyang University of Technology, Shenyang 110870, China; 2. The 5th Construction Co. Ltd., China Railway 15th Bureau Group, Tianjin 300000, China)
Abstract:In order to precisely impose the constant load initial cable force for cable stayed bridge, an iteration imposed method for cable force through controlling temperature based on the ANSYS platform was proposed, and thus the initial cable force of cable stayed bridge could be precisely applied at the completed stage of the bridge. The design cable force was taken as the target value, the geometric nonlinear factors of cable stayed bridge were considered, and the initial cable force was imposed to the cable stayed bridge in the form of initial temperature. The iterative calculation program for the cable force of cable stayed bridge at the completed stage was compiled with the APDL two-developed software, and the program was applied to the structure analysis of twin tower double cable plane steel-concrete composite girder cable stayed bridge. The results show that the errors of both calculated and target cable forces for the stayed cable on both sides of bridge tower are within 5%. Therefore, the iteration method for initial cable force has the advantages including the convenience and shortcut as well as high efficiency.
Key words:initial cable force; ANSYS platform; iterative method; design cable force; initial temperature; secondary development; calculation procedure; structure analysis
收稿日期:2016-11-21.
基金项目:沈阳市科学技术计划项目(F16-204-1-09).
作者简介:王海军(1972-),男,辽宁沈阳人,教授,博士,主要从事结构强度等方面的研究.
* 本文已于2017-10-25 21∶12在中国知网优先数字出版. 网络出版地址: http:∥kns.cnki.net/kcms/detail/21.1189.T.20171025.2112.018.html
doi:10.7688/j.issn.1000-1646.2018.02.19
中图分类号:TM 343
文献标志码:A
文章编号:1000-1646(2018)02-0224-05
(责任编辑:钟 媛 英文审校:尹淑英)