曹艳玲, 袁义宏
(华南理工大学 设计学院, 广州 510009)
摘 要:针对当前以人工智能为基础的墙体裂缝识别主要以图像识别为主,容易受到裂痕特征分布不均匀的影响,识别精度不高的问题,提出基于特征分布和高斯混合模型的建筑墙体裂缝图像识别方法.采用Harris角点检测算法对墙体图像进行角点求解处理,对建筑墙体图像进行预处理;通过选择掩模平滑法对墙体图像进行增强处理,将特征分布和高斯混合模型相结合,实现对建筑墙体裂缝图像的高精度识别.结果表明,该方法识别精度较高且识别时间短,预处理效果明显增强.
关 键 词:墙体裂缝; 图像识别; 增强处理; 局部直方图均衡法; 高斯混合; Harris角点检测算法
近年来,随着建筑工程技术领域快速发展,人们对建筑质量的要求也越来越严格[1].在工程实践及现代工程材料的质量研究中,建筑结构最常见的质量问题主要是墙体表面的裂缝问题,而建筑墙体的损坏总是从裂缝开始的[2-4],小的裂缝会干扰建筑的安全性,大的裂痕会破坏构造整体性,缩短建筑使用寿命,导致安全事故,危害人民的生命和财产安全,会产生严重的后果.建筑墙体产生裂缝无法避免,但是可以通过及时识别降低建筑裂缝对建筑的危害水平[5-6].当前建筑裂缝有害和无害的边界主要是依据工程建设标准和基本的生活经验确定的,针对一些特殊工程还要考虑心理及美观的需求.因此,有害及无害墙体裂缝的界定对不同区域工程是变化的.随着建筑越来越高,一些裂缝如何避免在外界干扰下实现非人工识别成为该领域亟待解决的问题[7].研究发现通过识别建筑墙体裂缝图像,可提前分析裂缝像素特征,有效识别建筑墙体裂缝,降低人工成本.
很多研究人员对传统的图像模式识别方法进行了改进研究.文献[8]通过颜色特征区分法进行裂缝图像识别,该方法通过梯度与交叉累积剩余熵相结合的配准算法配准两个不同的裂缝图像,采用像素比值法进行建筑墙体裂缝图像的识别,但是该方法在光照不定的条件下识别精度较差;文献[9]主要通过SITF算法提取建筑墙体裂缝图像特征,并保存XML特征文献,通过创建图像特征数据库,保存特征文件信息及图像的基本信息,最后利用GPS匹配和SITF特征匹配相结合的方式对建筑墙体裂缝图像进行识别,但该方法受到GPS限制,识别耗时较长;文献[10]提出了一种支持向量机法,该方法利用Canny算子获取建筑墙体裂缝的边缘图像,采用霍夫变换算法提取出裂缝边缘图像中的直线,然后检测各直线之间的位置关系,并通过局部化原理进行检测,根据直线之间的位置关系生成直线关系图,最后遍历直线关系图得到封闭几何图形,实现建筑墙体裂缝图像识别,但是该方法存在耗时长、误差大的问题.
针对上述问题,本文提出基于特征分布和高斯混合模型的建筑墙体裂缝图像识别方法.通过引入特征分布和高斯混合模型相结合的方法,实现对建筑墙体裂缝图像的识别.实验结果表明,采用改进的方法,无论在预处理效果,还是识别时间及准确度均优于传统的识别方法,具有一定的优势.
在对墙体裂缝图像进行判断的过程中,第一步是对采集的建筑墙体裂缝图像进行预处理,为建筑墙体裂缝图像的识别提供较好的、可识别的依据.由于采集条件很难做到无干扰,因此采集的建筑墙体裂缝图像包含很多颜色信息,可被存储成RGB形式.根据RGB形式对墙体图像设置了图像里每个像素色彩的分量数值,并存储成三维数据矩阵的形式,如果直接处理该形式的建筑图像,计算量会显著增加,效率降低.因此,需要在不干扰建筑墙体裂缝识别精度的前提下对其进行简化,而干扰最小的简化法就是将RGB格式图像转化为灰度图像,其转换公式为
Intensity=0.3R+0.59G+0.11B
(1)
式中:Intensity为建筑墙体裂缝图像中各像素灰度值;R、G、B分别为RGB形式图像中各像素红、绿、蓝3个颜色的分量数值,其权值根据经验设定.
由于建筑墙体裂缝图像在采集过程中会受到各种因素的影响,从而产生噪声,而噪声会直接影响图像处理的效果.因此,采用中值滤波法对图像进行去噪处理是预处理的一个重要部分.
中值滤波法主要针对以单独点模式展现的图像噪声,且所占像素数较少,建筑墙体裂缝图像是由多个像素在一个比较大的面积内构成的[11],因此,中值滤波法对一个区域D里的全部像素灰度值实行排序处理,取排序结果的中间值当作区域D中心点的像素灰度值,其数学表达式为
g(c,r)=Intensity·med(p(c,r),(c,r)∈D)
(2)
式中:p(c,r)为排序结果的中间值;(c,r)为建筑外墙区域D的中心点;med(·)为符号函数.采用Harris角点检测算法对裂缝图像进行角点求解,其表达式为
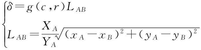
(3)
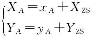
式中:(XA,YA)为角点A在建筑墙体裂缝图像坐标系中的坐标;(xA,yA)为角点A在观测区域坐标系中的坐标;(XZS,YZS)为所设置观测区域左上角在整个图像坐标系中的坐标.
对建筑墙体图像的像素进行标记,可以实现角点检测处理.像素标记是为了得到建筑墙体裂缝图像里像素边长的真实长度δ,单位为mm.由于在制作观测标志时,观测特征的实际尺寸已知,因此在对建筑墙体图像像素进行标记时,是经过邻域有用角点间的真实长度和像素数进行比较获取的[12],其表达式为

(4)
式中:LAB为邻域有用角点A、B间的真实间隔;(xB,yB)为角点B在观测区域坐标系中的坐标.
在对建筑墙体裂缝图像进行预处理的基础上,可采用选择掩模平滑法进行区域增强处理,为建筑墙体裂缝图像识别提供基础依据.在预处理过程中,影响阈值去噪因素主要有分解尺度、阈值函数和阈值,在进行图像增强处理时,主要考虑阈值函数中的软阈值函数对建筑外墙图像的干扰,其数学表达式为
(5)
式中:sgn()为符号函数;wj,k为小波系数;λ为所选阈值.当|wj,k|≥λ时,将wj,k设置为λ+1;当|wj,k|<λ时,将wj,k设置为λ-1;当-λ<wj,k<λ时,将wj,k设置为0,由此可知,在sgn(wj,k)(|wj,k|-λ)Z|wj,k|≥λ的情况下,会造成初始建筑区域图像的信号和重构信号间误差增加,导致失真,其中,Z为图像噪声干扰临界值.但是软阈值函数持续性好、光滑且无间隔点,在处理图像信号的过程中会产生附加的振动,需要采用选择掩模平滑法实行裂缝边缘增强处理.
选择掩模平滑法不但能够实现滤波,而且不会损坏边界边缘的细则.如果以建筑墙体裂缝图像f(x,y)的待识别中心像素(x,y)为中心点,选择5×5的疑似裂痕区域,在此区域内以这个中心像素为中心点,植被9个掩模.图1为邻域掩模类型,图中包含1个正方形掩模、4个五边形掩模和4个六边形掩模,分别计算各掩模均值μi及方差
依据方差实行排序,最小方差相应掩模灰度均值就是需要处理像素(x,y)的输出值,其表达式为
(6)
(7)
式中:Q为建筑区域图像各掩模像素点数量;rj′为第j′个训练样本图像对应的子图像.由于包括尖锐边缘的邻域,其方差较大,而这种特质不包括边缘,边缘的灰度均匀,邻域方差较小.方差越小,相应的掩模灰度就越平均,像素(x,y)选取这个掩模的可能性越大;如果(x,y)是边缘点,则用最小方差的灰度均值替换(x,y)的灰度值,不会损坏裂缝图像边缘的清晰度;如果(x,y)是一噪声点,使用该方法能起到平滑功效,达到对裂缝边缘图像的增强处理.
为了解决全局直方图均衡化不能局部处理的缺陷,提高建筑墙体裂缝图像整体识别性能,采用局部直方图均衡法,其原理是对建筑墙体裂缝图像里的每个像素在其邻域里实行直方图平衡处理,经过部分运算叠加自适应增强图像局部信息,增强墙体图像部分较小区域里的裂痕细节.

图1 邻域掩模类型
Fig.1 Neighborhood mask type
首先定义一个M×M大小的墙体裂痕邻域,一般是矩形范围,把此范围的中心从一个像素点转移至另一个像素点,在每个像素点(x,y)上,先计算设置区域里的局部直方图累积分布函数,其表达式为
(8)
式中:nj′为图像尺度参数;pr为图像结构元素权值;β为图像像素调节因子.在对图像进行局部统计增强时,最有效的方法就是根据局部反差程度来增强图像的细节信息,增强后的图像可以表示为
T=Si+k[u(i,j)-d(i,j)]
(9)
式中:u(i,j)为输入图像在点(i,j)处的灰度值;d(i,j)为以点(i,j)为中心且k>1时的全局放大因子.当k>1时,若u(i,j)>d(i,j),此时该像素点(i,j)的灰度被增强;当k<1时,若u(i,j)<d(i,j),此时该像素点(i,j)的灰度被减弱.
针对传统图像特征局部对比度增强时,不能调节扩大系数的问题,本文采用局部标准差来动态调节放大系数,对不同区域的对比度同时增强.自适应局部对比度增强算法可表示为
(10)
式中:η为自适应增强系数;Eg为图像的均值;σs为局部标准差;A(i,j)为图像在点(i,j)处的分辨率.
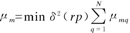
在对裂缝图像进行对比度增强的基础上,构建马科维茨模型,使墙体裂缝边缘和墙体各自的内部颜色差异最小,而墙体内部的颜色差异最大.马科维茨模型表达式为
minδ2(rp)=H(i,j)∑∑2πcov(ri,rj)
(11)
式中:ri为裂缝边缘颜色变化增益;rj为墙体颜色变化增益;cov(ri,rj)为裂缝边缘颜色与墙体颜色变化增益间的协方差.依据马科维茨模型,在实行颜色通道融合时,其数学表达式为
(12)
式中:N为颜色通道的个数;μmq为在颜色区域m上颜色通道q的期望;μm为在经过N个通道线性组合之后的第m个颜色区域的期望值.采用特征分布法确定建筑墙体裂缝图像特征,其表达式为
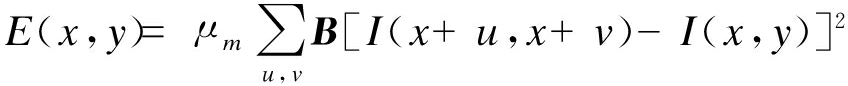
(13)
式中:B为图像像素矩阵;I(x+u,x+v)为图像降噪的平滑窗口;I(x,y)为点(x,y)的像素值;u、v为偏移坐标.以此为基础,将样本进行改进非负矩阵分解,权值矩阵为C,此时特征向量为WT.根据识别系数x0的稀疏条件,通过NMF压缩识别法与最小l0范数(计算向量中非零元素的个数)来进行求解,获得的图像识别系数为
(14)
引入高斯混合模型的聚类方法实现对建筑墙体裂缝图像的识别,其表达式为
(15)
式中:ms为分量s的均值;ws为分量s的混合系数;σs为协方差矩阵.
为了验证改进裂缝图像识别方法的有效性及可行性,需要进行实验对比分析.实验对改进方法与传统方法分别进行预处理,其结果如图2~5所示.

图2 原始图像
Fig.2 Original image
![]()
图3 支持向量机方法预处理结果
Fig.3 Pretreatment results with support
vector machine method
![]()
图4 改进方法预处理结果
Fig.4 Pretreatment results with improved method
![]()
图5 颜色特征区分法预处理结果
Fig.5 Pretreatment results with color feature
discrimination method
由此可以看出,在以裂缝吻合程度、清晰度、纹路重合程度及显示的裂缝宽度为指标的情况下,采用颜色特征区分法时,其处理效果清晰度较低,裂缝线路不清楚,与原始图像吻合度也很差,裂缝宽度与原图裂缝宽度也未准确显示;而采用支持向量机方法进行预处理时,其处理效果较好,与原始图像裂缝纹路重合度较低,且未完全表示出裂缝宽度的问题;采用改进方法时,其处理效果清晰度较高,裂缝线路清晰,与原始图像吻合度较好,裂缝宽度与原图裂缝宽度非常接近.
为了进一步验证改进方法在识别建筑墙体裂缝图像方面的有效性及可行性,在识别样本量不定的情况下,以识别系数作为参考进行实验对比分析,结果如图6~8所示.图中实线部分为图像识别基准,即图像“船”,圆点为非零元素.

图6 改进图像识别方法
Fig.6 Improved image recognition method
由图6~8可知,采用改进方法时,从图像可以看出非零元素非常稀疏,大多数近似为0,且非零项并没有分布在各类上,主要集中在图像“船”上,最大的系数值也对应在此图像“船”上,识别效果较好;采用颜色特征区分法时,用随机的高斯矩阵和NMF得到WT作为测试样本在该区域的系数,再通过最小范数进行求解.非零项分布在各类上,大系数比较多,很难判断出系数对应在哪一类中,识别的效果不明显.

图7 颜色特征区分法
Fig.7 Color feature distinction method

图8 支持向量机法
Fig.8 Support vector machine method
为了进一步验证改进方法在识别建筑墙体裂缝图像方面的有效性及可行性,在识别量不定的情况下,以识别所需时间、识别率及拒识率为指标进行实验对比分析,结果如表1所示.
表1 不同算法下时间、识别率及拒识率对比
Tab.1 Comparison in time,recognition rate andrejection rate with different algorithms

由表1可知,采用改进图像识别方法时,其识别率为99.4%,拒识率为0.6%,所需时间为10 min,相比支持向量机法、颜色特征区分法,其识别率分别提高了54.1%、49.2%,拒识率分别降低了54.1%、49.2%,所需时间分别降低了46、25 min,其识别率较高,拒识率较低,所需时间较短;采用支持向量机法时,其识别率为45.3%,拒识率为54.7%,所需时间为56 min,其识别率较低的同时,时间过长,识别性能较差;采用颜色特征区分法,其识别率为50.2%,拒识率为49.8%,所需时间为35 min,虽然相比支持向量机法识别率增加,拒识率降低,时间缩短,但还是与改进方法相差很多,无太大优势.
本文提出一种基于特征分布和高斯混合模型的建筑墙体裂缝图像识别方法.采用Harris角点检测算法对裂缝图像进行角点求解处理,通过选择掩模平滑法对图像进行增强处理,以此为基础,采用局部直方图均衡法对局部图像信息进行增强,并将特征分布和高斯混合模型相结合,实现对建筑墙体裂缝图像的识别.实验结果表明,采用改进的方法,无论在预处理效果,还是识别系数及识别率,计算方法的复杂度方面均要优于传统的识别方法,具有一定的优势.
参考文献(References):
[1] 陈沛.建筑施工中墙体裂缝防治对策论述 [J].华东科技,2015,36(12):49.
(CHEN Pei.Discussion on prevention and treatment of wall cracks in building construction [J].East China Science & Technology,2015,36(12):49.)
[2] 王睿,漆泰岳,朱鑫,等.隧道检测裂缝的图像处理研究 [J].铁道标准设计,2014,32(10):93-96.
(WANG Rui,QI Tai-yue,ZHU Xin,et al.Study on tunnel crack detection based on image processing [J].Railway Standard Design,2014,32(10):93-96.)
[3] 吴迅,王艺桥,赵柏岩.预应力混凝土桥底板纵向裂缝控制 [J].沈阳工业大学学报,2012,34(2):215-219.
(WU Xun,WANG Yi-qiao,ZHAO Bo-yan.Coutrol for longitudinal crack on bottom plate of pre-stressed concrete bridge [J].Journal of Shenyang University of Technology,2012,34(2):215-219.)
[4] 刘娜,宋伟东,赵泉华.形态学和最大熵图像分割的城市路面裂缝检测 [J].辽宁工程技术大学学报(自然科学版),2015,20(1):57-61.
(LIU Na,SONG Wei-dong,ZHAO Quan-hua.Morphology and maximum entropy imge segmentation based urban pavement cracks detection [J].Journal of Liaoning Technical University(Natural Science),2015,20(1):57-61.)
[5] 朱力强,白彪,王耀东,等.基于特征分析的地铁隧道裂缝识别算法 [J].铁道学报,2015,37(5):64-70.
(ZHU Li-qiang,BAI Biao,WANG Yao-dong,et al.Subway tunnel crack identification algorithm based on feature analysis [J].Journal of the China Railway Society,2015,37(5):64-70.)
[6] 王耀东,余祖俊,白彪,等.基于图像处理的地铁隧道裂缝识别算法研究 [J].仪器仪表学报,2014,35(7):1489-1496.
(WANG Yao-dong,YU Zu-jun,BAI Biao,et al.Research on image processing based subway tunnel crack identification algorithm [J].Chinese Journal of Scientific Instrument,2014,35(7):1489-1496.)
[7] 蔡兴泉,柳静华.建筑物图像识别系统设计与实现 [J].现代计算机,2015(21):18-20.
(CAI Xing-quan,LIU Jing-hua.Design and implementation of building image recognition system [J].Modern Computer,2015(21):18-20.)
[8] 张永梅,季艳,马礼,等.遥感图像建筑物识别及变化检测方法 [J].电子学报,2014,29(4):653-657.
(ZHANG Yong-mei,JI Yan,MA Li,et al.A recognition and change detection method for buildings in remote sensing images [J].Acta Electronica Sinica,2014,29(4):653-657.)
[9] 游应德,李成大.一种边界梯度组合的图像识别技术与分割方法 [J].湘潭大学自然科学学报,2014,36(2):99-103.
(YOU Ying-de,LI Cheng-da.A image recognition and segmentation’s method of boundary and gradient composition [J].Natural Science Journal of Xiangtan University,2014,36(2):99-103.)
[10]庞广桦,纪寿庆,王阳萍.基于霍夫变换的全景图中建筑物识别方法 [J].兰州交通大学学报,2014,30(6):6-10.
(PANG Guang-hua,JI Shou-qing,WANG Yang-ping.Building figure detection in panorama based on Hough transform algorithm [J].Journal of Lanzhou Jiaotong University,2014,30(6):6-10.)
[11]毛文涛,王文朋,蒋梦雪,等.基于局部特征过滤的快速火焰图像识别方法 [J].计算机应用,2016,36(10):2907-2911.
(MAO Wen-tao,WANG Wen-peng,JIANG Meng-xue,et al.Fast flame recognition approach based on local feature filtering [J].Journal of Computer Applications,2016,36(10):2907-2911.)
[12]王永强,李庆利.基于颜色特征的卫生陶瓷缺陷图像识别 [J].计算机系统应用,2015,24(6):258-261.
(WANG Yong-qiang,LI Qing-li.Defect image recognition of sanitary ceramics based on color features [J].Computer Systems & Applications,2015,24(6):258-261.)
CAO Yan-ling, YUAN Yi-hong
(School of Design, South China University of Technology, Guangzhou 510009, China)
Abstract:Aiming at the problem that the current wall crack identification based on artificial intelligence is mainly composed of image recognition, which is easily affected by the uneven distribution of crack feature, and the identification accuracy is not high, a building wall crack image recognition method based on both the feature distribution and Gaussian mixture model was proposed. The corner solution processing for the wall image was carried out with the Harris corner detection algorithm, and the building wall image was preprocessed. Through selecting the mask smoothing method, the enhancement processing for the wall body image was performed. Through combining the feature distribution and Gaussian mixture model, the high-precision recognition of building wall crack image was realized. The results show that the proposed method has higher recognition precision and shorter identification period, and the pretreatment effect is obviously enhanced.
Key words:wall crack; image recognition; enhanced processing; local histogram equalization method; Gauss mixture; Harris corner detection algorithm
收稿日期:2016-11-07.
基金项目:广东省教育厅本科高校教学质量与教学改革工程立项建设基金资助项目(粤教高函〔2015〕133号); 华南理工大学中央高校基本科研业务费资助项目(2015BS09).
作者简介:曹艳玲(1986-),女,安徽天长人,讲师,博士,主要从事建筑工程学等方面的研究.
* 本文已于2018-02-26 13∶11在中国知网优先数字出版. 网络出版地址: http:∥kns.cnki.net/kcms/detail/21.1189.T.20180226.0919.038.html
doi:10.7688/j.issn.1000-1646.2018.02.21
中图分类号:TN 911
文献标志码:A
文章编号:1000-1646(2018)02-0235-06
(责任编辑:钟 媛 英文审校:尹淑英)