李福新
(天津中德应用技术大学 新能源系, 天津 300350)
摘 要: 针对高压直流输电系统中换相失败检测问题,提出了一种采用平稳小波分析和BP神经网络的换相失败检测算法.通过平稳小波提取换相失败信号不同尺度的小波能量,作为特征向量输入神经网络中进行训练,并得到能够进行自动化识别的分类模型.在实际采集得到的200组数据集上进行了算法验证,结果表明,文中算法可以有效地区分直流输电系统中的换相失败和正常信号,其平均检测精确度达到95%以上,为进一步系统准确无功补偿提供保障.
关 键 词: 高压直流输电系统; 换相失败; 无功补偿; 平稳小波分析; BP神经网络; 小波能量; 自动检测; 训练
电能换相控制措施不当会妨害换流设备的平稳运转,中断直流功率传输,导致后继换相失败,从而造成电路系统中电流和电压信号之间出现相位异常,引起容性或者感性无功功率不足,造成电能资源浪费,严重时甚至可能威胁系统安全稳定运行[1-5].换相失败是高压直流(HVDC)输电系统频发的故障,伴随产生电压电流异常变化,具体表现为直流电流剧增和直流电压骤降.国内电网输电通道已形成了多交多直流混合模式,未来我国部分地区电网的交直流输电线路将进一步增 加.若同一交流系统中存在多条直流输电线路,换相失败容易导致在同一系统中,上下游的逆变站级联出现故障.为保证HVDC系统安全稳定运 行,高效精确诊断系统换相故障是目前研究的重点[2,5].
针对HDVC系统的换相失败故障识别是一个具有挑战性的问题,主要是因为逆变侧交流系统的故障种类繁多,因素各异,例如误触发、换相电压幅值下降、脉冲丢失、相角前移及脉冲延迟等[4].不同因素引起的换相失败过程信号变化各异,简单的时域分析方法、统计估计或者基于傅里叶分析的频域特征提取均难以准确辨识[5].本文基于平稳小波变换和BP神经网络研究了HVDC系统各种不同故障的动态行为所对应的信号模式,通过平稳小波不同尺度的能量系数特征作为辨识不同故障的依据,再结合神经网络算法对多种不同情况的换相失败进行监测,从而达到保证电能系统稳定运行,降低系统无功补偿目的.
平稳小波变换(SWT)相比于一般的小波变换而言,没有降采样过程[6-7],对于实域的二范数L2(R),定义其尺度函数为
∈Vj (j,k∈Z)
(1)
式中:Z为整数集;t为时间;k为在时间轴上发生的位移.则任意函数f(t)可以表示为
,k∈Z)
(2)
式中,cj,k为尺度系数.不同尺度的尺度函数可由其上一级尺度函数正交线性表达,对应的表达公式为
(3)
式中,h0k为投影系数,进一步得到相应的尺度系数为
,k∈Z)
(4)
平稳小波变换是在传统线性变化的基础上进行补零扩充,从而使变换域的信号出现冗余,保证信号逆变换平移的不变性.对于换相失败故障而言,不同的故障存在时间域的突变,这种突变识别问题是平稳小波分析所擅长的,可以用于识别故障信号的局部特征.
神经网络算法是一种基于多输入加权的信息处理算法,算法采用了模拟神经元处理信息的方式,每一个神经元均可接收来自其他多个神经元传递的信息,并将这些信息进行叠加综合处理,再向后一层输出.最初的神经网络算法是一种简单的前向权重传播算法,这种算法依赖使用者的主观经验,且计算效果差异较大.1986年,Rumelhart提出了著名的误差后向传播算法,其利用样本标签信息和实际分类结果之间的误差,构造误差能量与权重之间的损失函数,并通过误差能量对权重求偏导,结合权重梯度下降算法,实现对于权重的调节,由此才使得神经网络算法成为了一种准确实用的计算模型[8-10].
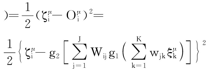
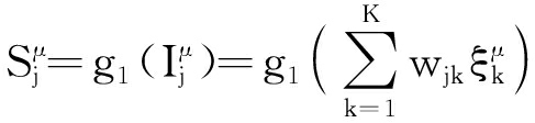
BP算法基于误差能量损失最小原则,通过误差对权重向量求偏导数,结合梯度下降算法进行搜索,实现网络实际输出与期望输出的二范数能量最小.最简单的BP神经网络只有一个隐层,隐层中具有隐单元Sj,j=1,2,…,J,其向前连接输入单元为ξk,k=1,2,…,K,后向输出单元为Oi,i=1,2,…,I.本文采用wjk表示从输入单元ξk到隐单元Sj的连接权,Wij表示从隐单元Sj到输出单元Oi的连接权,ω={W,w}表示权重矩阵.上标μ表示输入模式,P表示输入模式数(μ=1,2,…,P),g1、g2分别为对应激活函数,对于给定的输入模式,定义隐单元j的输入为
,其具体计算公式为
(5)
隐单元j输出为
(6)
输出单元i的输入为
(7)
最终的输出为
(8)
其瞬时误差函数为
Eμ(ω
(9)
式中,
为模式μ对应输出单元i的期望输出.输出单元i总误差能量函数为
E(ω
ω![]()
(10)
对于权重的迭代更新学习,即调整权值ω为ω+Δω,增量Δω使得误差随着迭代减小,利用梯度下降算法收敛到全局极小值.具体迭代梯度下降规则为

(11)
式中,η>0,为学习步长.
利用链式法则可得
Δwjk=-η
η
·
η![]()
(12)
式中,
.
任何一种梯度下降算法均具有梯度下降步长调节因子,该因子可以人为设定,也可以是依据计算自适应调节,例如共轭梯度下降算法、随机梯度下降算法等.神经网络算法使用调整的重点在于隐含层的数目、每层隐含层中具有的神经元个数以及每个神经元与其上下层之间的连接关系.隐含层的数目主要决定了将输入和输出相联系的非线性映射的复杂度,理论上一个百层以上的神经网络几乎可以用于识别所有的事物,只是其后向误差传播计算量将变得过大,且无法保证不陷入到局部最优中.每层神经元的数目则是确定了每个隐含层空间的维度,数目越多,其可能表征的隐层空间的准确度就越大,但相应的计算复杂度也就越大,效率越低[11].神经元上下两层之间的连接关系是确定其映射的路径,一般采用全连接的方式,即每个神经元均与上一层的所有神经元相连接,然而这种方式同样存在计算复杂度高的问题,一般利用神经元之间的部分连接或者权重共享进行策略改进.
在HVDC系统中,对故障信号与非故障信号进行平稳小波变换,故障信号的来源主要为逆变侧短路时,逆变器脉冲异常所引起,故对应采集得到的电流信号会产生高频扰动波群,同时出现基线抬升以及幅度增大的情况.分析不同尺度上能量差异与特点,将采集得到的样本构造用于特征向量的分类识别,并将结果输入到分类BP神经网络中,通过训练得到可用于换相识别的神经网络,并实现了换相失败自动检测.
本文采集了100组换相失败电流和100组常规换相电流信号进行实验[12-13],信号的采样率为2 500 Hz,每组信号的采集时间为4 s.图1所示为正常的换相电流信号,图2、3分别为对应的两种换相失败电流类型A、类型B的电流信号.

图1 正常换相电流数据
Fig.1 Normal commutation current data

图2 换相失败类型A电流数据
Fig.2 Type A of commutation failure current data

图3 换相失败类型B电流数据
Fig.3 Type B of commutation failure current data
如图1所示,高压直流电能换相过程中,正常情况下电流和电压均会基本保持平稳,尤其是电流数据,一般会维持在恒定水平.由于接地短路或者其他短路情况引起了电流的快速激增跳变,电流信号出现持续从几十毫秒到几秒之间的波动增加.其中,换相失败类型A为早期短路异常,一般发生于电路切换的初期,波形多由孤立或者短促的多个波形组成;类型B为中后期的换相短路故障,故障波形持续时间增加,波形存在一定的平台期.电流和电压信号之间的相位关系出现异常,使得电路系统中缺少容性无功功率,对无功补偿造成影响.
从图2、3中可以直观看出,换相失败首先引起了电流幅度增大,所以检测的主要依据是电流增大引起的信号平稳小波变换尺度系数的增大.为了与一般的电流负载增大区分开,可以分析换相失败所引起的电流信号波动和振动特点,通过信号平稳小波变换后的上层小波系数来判断.
对采集的信号进行平稳小波变换,并计算变换后每个尺度小波系数的能量可以得到具体的小波系数能量分布,本文分析采用的小波为db8小波,小波分解尺度为8.图4~6分别给出了正常换相电流、换相失败类型A电流及换相失败类型B电流的不同尺度的小波系数能量分布.

图4 正常换相电流数据小波能量分布
Fig.4 Distribution of wavelet energy for normalcommutation current data

图5 换相失败类型A电流数据小波能量分布
Fig.5 Distribution of wavelet energy for type Aof commutation failure current data

图6 换相失败类型B电流数据小波能量分布
Fig.6 Distribution of wavelet energy for type Bof commutation failure current data
对比图4~6中信号小波能量分布图可以直观看出,换相失败引起了电流数据在高频能量上的增加,尤其是第2~4尺度上的小波能量明显高于正常情况.图5与图6的区别主要在于在第2~4尺度上小波能量分配特点,结合时域波形分析可以得到,换相失败持续的时间长短主要由第2尺度小波能量的变化体现;而换相失败电流信号的波动变化则主要从第3、4尺度小波能量上体现.
对采集得到的换相成功以及失败的100组信号进行平稳小波分解,计算每个信号的归一化小波能量特征向量.采用两折交叉验证的方式,随机抽取其中的50组特征向量放入BP神经网络中进行训练,再利用剩下的50组进行训练网络的测试.本实验中训练的迭代步长参数取值范围为[10-4,10-7],具体隐含层数量为3层,每层神经元数量为10,上一层输出神经元和下一层输入神经元之间采用全连接配置.实验重复测试100次,可以得到其分类结果如表1所示.
表1 训练数据集与测试数据集分类表现
Tab.1 Classification performance oftraining and testing data sets

为了进一步直观展示分类效果,本文选取部分归一化特征向量,将第1尺度小波能量以及第2尺度小波能量建立平面坐标系,并基于BP神经训练对分类平面模型进行换相失败识别,其分类效果如图7所示.

图7 换相失败识别分类效果
Fig.7 Classification effect of commutationfailure recognition
图7中曲线表示两类样本只依据第1和第2小波能量系数得到的分类平面,可以看出两类样本依据分类平面并没有实现良好的区分,然而依据全部8个小波能量进行特征分类时,其分析识别精度如表1所示,其平均检测精确度达到95%以上.
本文采用平稳小波变换结合BP神经网络对HVDC换相失败自动检测进行研究.将平稳小波换相失败信号不同尺度的小波能量作为特征向量,并将其输入到神经网络中进行训练,得到能够进行自动识别的分类模型.今后研究的重点在于利用不同尺度的平稳小波熵进行换相失败不同亚型的识别,从信息变化复杂度方面进行更加细致的换相失败辨识研究.
参考文献(References):
[1] 高宇,文俊,李亚男,等.串联电容换相换流器中主要设备电压特性的研究 [J].华北电力大学学报,2015,42(4):22-28.
(GAO Yu,WEN Jun,LI Ya-nan,et al.Study on voltage characteristics of main equipment in series capacitor commutated converter [J].Journal of North China Electric Power University,2015,42(4):22-28.)
[2] 杨健,张宝刚,刘军兴.基于DCT算法的并联有源滤波器在医院供电系统中应用研究 [J].电力电容器与无功补偿,2017,38(2):118-121.
(YANG Jian,ZHANG Bao-gang,LIU Jun-xing.Research on the application of shunt active power filter in hospital power supply system based on DCT algorithm [J].Power Capacitor and Reactive Power Compensation,2017,38(2):118-121.)
[3] 李春华,荣明星.基于小波包和改进BP神经网络算法的电机故障诊断 [J].现代电子技术,2013(15):133-136.
(LI Chun-hua,RONG Ming-xing.Motor fault diagnosis based on wavelet packet and improved BP neural network algorithm [J].Modern Electronic Technology,2013(15):133-136.)
[4] 徐敬友,谭海燕,孙海顺,等.考虑直流电流变化及交流故障发生时刻影响的HVDC换相失败分析方法 [J].电网技术,2015,39(5):1261-1267.
(XU Jing-you,TAN Hai-yan,SUN Hai-shun,et al.Failure analysis method of HVDC commutation considering the change of DC current and the time of AC fault [J].Power System Technology,2015,39(5):1261-1267.)
[5] 范彩云,张志刚,刘堃,等.HVDC逆变侧典型故障暂态响应分析 [J].电网与清洁能源,2015,31(6):39-43.
(FAN Cai-yun,ZHANG Zhi-gang,LIU Kun,et al.Transient response analysis of typical faults on HVDC inverter side [J].Power Grid and Clean Energy,2015,31(6):39-43.)
[6] 王书提,巴寅亮,郭增波.基于BP神经网络的电控发动机故障诊断 [J].现代电子技术,2015,38(9):128-131.
(WANG Shu-ti,BA Yin-liang,GUO Zeng-bo.Fault diagnosis of electronic controlled engine based on BP neural network [J].Modern Electronic Technology,2015,38(9):128-131.)
[7] 张昊慧.基于中值滤波和小波变换图像降噪的新算法 [J].电子科技,2012,25(12):40-43.
(ZHANG Hao-hui.A new algorithm based on median filter and wavelet transform image denoising [J].Electronic Science and Technology,2012,25(12):40-43.)
[8] 周晓华,罗文广,刘胜永,等.静止无功补偿器自适应动态规划电压控制方法 [J].电网技术,2017,41(3):895-900.
(ZHOU Xiao-hua,LUO Wen-guang,LIU Sheng-yong,et al.Static var compensator adaptive dynamic programming voltage control method [J].Power System Technology,2017,41(3):895-900.)
[9] 韩云,周兴扬,王涛,等.10kV集成式无功补偿装置智能终端的研制 [J].电力电容器与无功补偿,2015,36(2):61-65.
(HAN Yun,ZHOU Xing-yang,WANG Tao,et al.Development of intelligent terminal for 10 kV integrated reactive power compensation device [J].Power Capacitor and Reactive Power Compensation,2015,36(2):61-65.)
[10]许加柱,罗隆福,李勇,等.采用新型换流变压器及其滤波系统对换相失败的影响 [J].电力自动化设备,2008,28(2):10-14.
(XU Jia-zhu,LUO Long-fu,LI Yong,et al.The influence of new converter transformers and their filtering system on commutation failure [J].Power Automation Equipment,2008,28(2):10-14.)
[11]陈干,田方,刘宁,等.高压直流输电工程换相失败研究 [J].高压电器,2015(7):136-140.
(CHEN Gan,TIAN Fang,LIU Ning,et al.Study of commutation failure in HVDC transmission line [J].High Voltage Apparatus,2015(7):136-140.)
[12]杨秀,陈鸿煜.高压直流输电系统换相失败的仿真研究 [J].高电压技术,2008,34(2):247-250.
(YANG Xiu,CHEN Hong-yu.Simulation study of commutation failure in HVDC system [J].High Voltage Technology,2008,34(2):247-250.)
[13]彭翌春,何时秋.基于双随机相位估计的无功补偿方法 [J].沈阳工业大学学报,2017,39(4):361-365.
(PENG Yi-chun,HE Shi-qiu.Reactive power compensation method based on double random phase estimation [J].Journal of Shenyang University of Technology,2017,39(4):361-365.)
LI Fu-xin
(Department of New Energy, Tianjin Sino-German University of Applied Sciences, Tianjin 300350, China)
Abstract: In order to solve the commutation failure detection problem in high voltage direct current transmission (HVDC) system, a commutation failure detection algorithm based on stationary wavelet analysis and BP neural network was proposed. The commutation failure signals and wavelet energy with different scales were extracted as the feature vectors through the stationary wavelet. In addition, the feature vectors were inputted into the neural network for training, and a classification model for automatic recognition was obtained. The proposed algorithm was verified with the actually collected 200 data sets. The results indicate that the proposed algorithm can effectively distinguish the commutation failure and normal signals in the HVDC system, and the average detection accuracy can reach above 95%. It is obvious that the proposed algorithm can provide the guarantee for the further precise reactive power compensation in the system.
Key words: high voltage direct current transmission system; commutation failure; reactive power compensation; stationary wavelet analysis; BP neural network; wavelet energy; automatic detection; training
收稿日期: 2017-07-26.
基金项目: 国家自然科学基金资助项目(61033004).
作者简介: 李福新(1979-),男,河北孟村人,讲师,硕士,主要从事新能源及其应用技术等方面的研究.
* 本文已于2018-05-03 11∶03在中国知网优先数字出版.
网络出版地址:http:∥kns.cnki.net/kcms/detail/21.1189.T.20180502.1808.008.html
doi:10.7688/j.issn.1000-1646.2018.03.02
中图分类号: TM 72
文献标志码:A
文章编号:1000-1646(2018)03-0248-05
(责任编辑:景 勇 英文审校:尹淑英)