黄志强, 徐光炯, 刘 鑫
(沈阳工业大学 建筑与土木工程学院, 沈阳 110870)
摘 要: 针对冻融循环次数对PVA纤维水泥基复合材料断裂性能的影响问题,提出了基于快冻法的三点弯曲试验方法,研究了冻融循环次数对PVA纤维水泥基复合材料的起裂韧度、失稳韧度及断裂能的影响,并对冻融循环后的试件质量及表面现象进行了分析.结果表明:在冻融循环250次后,试件的质量增加1.92%,起裂韧度、失稳韧度、断裂能分别降低了37.2%、51.1%及48.4%;随着冻融循环次数的增加,试件的质量呈现增长趋势,试件表面破坏情况愈发严重,试件的起裂韧度、失稳韧度及断裂能均呈现下降趋势.
关 键 词: 水泥基复合材料; 断裂性能; 冻融循环; 质量; 三点弯曲试验; 起裂韧度; 失稳韧度; 断裂能
混凝土存在脆性大、易开裂、韧性差、抗拉强度低、开裂后裂缝宽度难以控制等缺点,直接影响着结构的耐久性和使用寿命.为了克服这些缺点, 各类纤维在混凝土工程中的使用应运而生[1].基于断裂力学和微观力学的原理,美国密歇根大学的Victor教授和麻省理工大学的Christopher教授于1992年提出了一种拉伸变形性能优异的聚乙烯醇纤维增韧水泥基复合材料.通过系统地 设计、调整及优化,该复合材料在纤维体积掺量约为2%的情况下便可获得3%以上的拉应变性能[2-3].
在寒冷地区,冻融循环是导致混凝土结构劣化的主要因素之一.混凝土在受冻后孔隙的溶液结冰膨胀,作用于孔隙壁,产生微裂纹损伤,最终导致混凝土内部开裂[4],继而降低结构或构件的使用寿命,因此,研究混凝土的抗冻性能具有重要的意义.自从PVA纤维水泥基复合材料出现以后,众多学者对该复合材料的抗冻性能进行了研究,并取得一系列的研究成果[5-8].
本文对冻融循环后的试件进行三点弯曲试验,研究PVA水泥基复合材料的起裂韧度、失稳韧度及断裂能在不同冻融循环次数下的衰减规律.
水泥采用普通P·O 42.5水泥;粉煤灰采用Ⅰ级粉煤灰;细骨料采用50%的粒径为0.15 mm尾矿砂和50%的粒径为0.3 mm天然砂;减水剂为西卡减水剂;纤维采用国产ECC用改性聚乙烯醇(PVA)纤维,纤维性能参数如表1所示;试验用水采用本地饮用自来水.
表1 PVA纤维性能参数
Tab.1 Performance parameters for PVA fiber

PVA纤维水泥基复合材料制备时,先将水泥、粉煤灰、尾矿砂和天然砂按比例加入搅拌机中干拌2 min,使各种材料能够均匀分散;加入增稠剂,搅拌1 min;加入水,并通过加入减水剂来调节水泥砂浆的流动性,搅拌3 min;最后加入PVA纤维,搅拌5~8 min,搅拌结束时应确保纤维在浆体中不成团、不结块.如果纤维未能在水泥基材中均匀分散,不仅影响PVA纤维水泥基复合材料的工作性能,而且会形成应力集中点,成为腐蚀介质侵入的薄弱点和突破口,危害结构安全,降低其使用寿命[9].将拌合物浇入模具后,应先放置在振动台上振动2 min,减少气泡数量同时将表面抹平,之后盖上塑料薄膜,并置于室内养护24 h,拆模后放入标准养护室中进行养护.预制裂缝的缝高为2 cm,即缝高比为0.2.试件的纤维掺量为2%,水灰比为0.5,粉煤灰代替率为54.5%,尾矿砂代替率为50%,增稠剂掺量为0.13%,减水剂掺量为0.5%.
冻融循环试验根据《水工混凝土试验规程》(SL352—2006)中抗冻性能试验的快冻法,采用天津市港源试验仪器厂的混凝土快速冻融试验机进行冻融循环试验.当冻融循环达到指定设计冻融次数时,从试验机中拿出其中1组试件,进行三点弯曲试验.而其余各组试件继续进行后续的冻融循环,直至达到所设计的循环次数.
试件尺寸为100 mm×100 mm×400 mm,采用三点弯曲加载方式,图1为三点弯曲试验示意图.用电液伺服试验系统对试件进行加载,采用位移控制加载,加载速度为0.05 mm/min.计算机自动采集数据,利用荷载传感器测定荷载P,同时利用非接触式视频测量仪采集裂缝开口位移和挠度等变化情况.

图1 试件加载方式示意图
Fig.1 Schematic loading mode for specimen
试件分为8组,每组3个试件,共24个试件,编号分别为D-0、D-25、D-50、D-75、D-100、D-150、D-200、D-250,数字即为冻融次数.当试件达到冻融次数后,进行三点弯曲断裂试验.
图2为冻融循环250次后的试件表面照片.进行冻融循环试验之前,所有试件表面均较光滑,且无明显孔洞,纤维在基体内部的分散性较好.经过250次冻融循环后的试件表面出现龟裂现象,表面的水泥砂浆出现剥落,但现象并不严重,且纤维与部分剥落的水泥砂浆仍然连结在一起.试件棱角处水泥砂浆也出现轻微的脱落现象.整个试件表面与棱角处均有少量纤维露出,且未见明显的裂纹,这主要是由于PVA纤维的加入改善了试件内部结构,提高了试件抵抗由于冻融作用产生的膨胀应力的能力,对试件的冻胀开裂起到了有效的抑制作用.

图2 250次冻融循环后试件照片
Fig.2 Specimen image after 250 freeze-thaw cycles
试件在不同冻融循环次数后的质量损失率如图3所示.从图3可以看出,随着冻融循环次数的增加,试件的质量呈现上升趋势.在冻融循环次数达到250次后,试件的质量增加了1.92%,掺入PVA纤维对试件的质量损失率有明显的影响,主要原因是由于PVA纤维在基体中彼此相连,阻碍表面砂浆的脱落,且试件表面脱落的部分水泥砂浆仍然被纤维连结着,同时随着冻融循环次数的增加,试件内部的孔隙率也随之增大,导致试件外部的水不断进入内部孔隙中,弥补了试件本身的质量损失,使质量表现为增长的趋势.

图3 质量损失率变化曲线
Fig.3 Change curve of mass loss rate
裂缝扩展过程可分为三个阶段:起裂阶段,裂缝稳定扩展阶段,失稳破坏阶段.其中,起裂时所对应的断裂韧度称为起裂韧度,失稳时所对应的断裂韧度称为失稳韧度,二者称为双K断裂韧度.双K断裂韧度及断裂能的计算公式借鉴《混凝土断裂试验与断裂韧度测定标准方法》[10].
2.3.1 起裂断裂韧度计算及分析
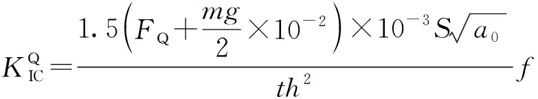
起裂断裂韧度的计算公式为
(α)
(1)
f(α)![]()
(2)
α![]()
(3)
式中:
为起裂断裂韧度;FQ为起裂时所对应的荷载;m为试件在支座间的质量;S为试件两支座间的跨度;a0为初始裂缝长度;h为试件高度;t为试件厚度.
图4为试件的P-CMOD(crack mouth opening displacement)曲线前半部分,通过该段曲线的拐点来确定起裂荷载,从而得到对应的起裂韧度.

图4 荷载
开口位移曲线
Fig.4 Load-crack mouth opening displacement (CMOD) curve
经过不同的冻融循环次数后试件的起裂断裂韧度曲线如图5所示.从图5可以看出,PVA纤维水泥基复合材料的起裂断裂韧度随冻融循环次数的增加呈现下降趋势,且下降趋势随着冻融循环次数的增加有一定的放缓.250次冻融循环后试件起裂断裂韧度下降37.2%,从原先的0.369 MPa·m1/2下降到0.232 MPa·m1/2.在冻融循环过程中,由于冻融产生的膨胀应力作用使试件内部原有的微裂缝发生不断延伸的情况,导致其内部结构受到损伤,因此,起裂荷载也随之改变从而导致起裂断裂韧度的下降.

图5 起裂韧度变化曲线
Fig.5 Change curve of initial fracture toughness
2.3.2 失稳断裂韧度计算及分析
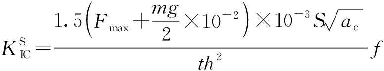
失稳断裂韧度的计算公式为
(α′)
(4)
α′![]()
(5)
式中:
为失稳断裂韧度;Fmax为峰值荷载;ac为有效裂缝长度,其表达式为
(6)
其中,h0为装置夹式引伸计刀口薄钢板的厚度.在此试验中,开口位移采集方式为非接触式视频测量仪采集方式,所测点在裂缝最下方,故h0取0,Vc为裂缝张开口临界位移值,即峰值所对应的开口位移值,E为计算弹性模量,其表达式为
(7)
其中,ci为试件的初始值,可由试件P-CMOD曲线上升段的直线部分上任意一点计算得到.
图6、7分别为峰值荷载和裂缝临界开口位移变化曲线.从图6、7可以看出,荷载最大值Fmax和临界开口位移Vc随着冻融循环次数的增加而逐渐降低,但Vc的降低幅度要明显大于Fmax的降低幅度.在达到250次冻融循环时,临界开口位移Vc下降45.8%,而荷载最大值Fmax只下降18.9%.从图8可以看出,随着冻融循环次数的增加,试件的失稳断裂韧度呈现出下降的趋势,而且下降的幅度较大.冻融循环250次后,试件的失稳断裂韧度下降了51.1%,从原先的8.614 MPa·m1/2下降到了4.214 MPa·m1/2.

图6 峰值荷载变化曲线
Fig.6 Change curve of peak load

图7 裂缝临界开口位移变化曲线
Fig.7 Change curve of critical CMOD of crack

图8 失稳韧度变化曲线
Fig.8 Change curve of unstable toughness
断裂能的计算公式为
GF=(W0+mgδ0)/Atig
(8)
式中:GF为断裂能;W0为荷载挠度曲线与x坐标轴所围成的面积;δ0为最大挠度值;Atig为韧带断裂面积.在计算试件断裂能的过程中,试件的质量对断裂能的影响不大,但仍然不可忽略.
图9为断裂能与冻融循环次数的关系曲线.由图9可知,随着冻融循环次数的增加,试件的断裂能随之下降.当冻融循环次数达到250次时,试件的断裂能下降48.4%,从原先的6 837.8 N/m下降到3 526.0 N/m.主要原因是在冻融循环中,由于冻融产生的体积膨胀应力的作用,试件内部产生较多的微裂缝,且微裂缝不断扩展,使其内部结构受到损伤,从而导致断裂能下降.

图9 断裂能变化曲线
Fig.9 Change curve of fracture energy
随着冻融循环次数的增加,试件表面的破坏程度逐渐加深.当冻融循环次数达到250次时,试件表面有少量纤维露出并出现少量的浮渣.随着冻融循环次数的增加,试件的质量并未发生减少的情况,反而随着冻融循环次数的增加而逐渐增加.
试件的起裂断裂韧度和失稳断裂韧度随着冻融循环次数的增加而逐渐减低,失稳断裂韧度的下降幅度要大于起裂断裂韧度.而在计算失稳断裂韧度中,峰值荷载的下降幅度要远小于临界开口位移值的下降幅度.试件的断裂能随着冻融循环次数的增加而逐渐降低.
参考文献(References):
[1] 刘问,徐世烺,李庆华.超高韧性水泥基复合材料延性断裂性能评价准则的试验研究 [J].工程力学,2013,30(9):63-69.
(LIU Wen,XU Shi-lang,LI Qing-hua.Experimental study on fracture evaluation criterion of ultra-high toughness cementitious composites [J].Engineering Mechanics,2013,30(9):63-69.)
[2] Li V C.Engineered cementitious composites tailored composites through micromechanical modeling [J].Journal of Advanced Concrete Technology,1998,1(3):64-97.
[3] Li V C,Leung C K Y.Theory of steady state and multiple cracking of random discontinuous fiber reinforced brittle matrix composites [J].Journal of Engineering Mechanics ASCE,1992,118(11):2246-2264.
[4] 高矗,申向东,王萧萧,等.应力损伤轻骨料混凝土抗冻融性能 [J].硅酸盐学报,2014,42(10):1247-1252.
(GAO Chu,SHEN Xiang-dong,WANG Xiao-xiao,et al.Freeze-thaw resistance of lightweight aggregate concrete with stress damage [J].Journal of the Chinese Ceramic Society,2014,42(10):1247-1252.)
[5] 刘曙光,闫敏,闫长旺,等.聚乙烯醇纤维强化水泥基复合材料的抗盐冻性能 [J].吉林大学学报(工学版),2012,42(1):63-67.
(LIU Shu-guang,YAN Min,YAN Chang-wang,et al.Deicing salt resistance of PVA fiber reinforced cementitious composite [J].Journal of Jilin University (Engineering and Technology Edition),2012,42(1):63-67.)
[6] 张菊,刘曙光,闫长旺,等.氯盐环境对PVA纤维增强水泥基复合材料抗冻性的影响 [J].硅酸盐学报,2013,41(6):766-771.
(ZHANG Ju,LIU Shu-guang,YAN Chang-wang,et al.Influence of chloride environment on frost resis-tance of PVA fiber reinforced engineered cementitious composite [J].Journal of the Chinese Ceramic Society,2013,41(6):766-771.)
[7] 邓宗才,薛会青,徐海宾.ECC材料的抗冻融性能试验研究 [J].华北水利水电学院学报,2013,34(1):16-19.
(DENG Zong-cai,XUE Hui-qing,XU Hai-bin.Expe-rimental study of durability properties of high toughness fiber reinforced cementitious composites under freezing and thawing cycles [J].Journal of North China Institute of Water Conservancy and Hydroelectric Power,2013,34(1):16-19.)
[8] 高淑玲,史宏飞,王晓伟.带预制裂缝的PVA-ECC抗(盐)冻性能及机理 [J].长安大学学报(自然科学版),2016,36(1):36-43.
(GAO Shu-ling,SHI Hong-fei,WANG Xiao-wei.Frozen resistance of PVA-ECC with initial crack and its mechanism [J].Journal of Chang’an University(Natural Science Edition),2016,36(1):36-43.)
[9] 刘建忠,张丽辉,李长风,等.聚乙烯醇纤维在水泥基复合材料中的分散性表征及调控 [J].硅酸盐学报,2015,43(8):1061-1066.
(LIU Jian-zhong,ZHANG Li-hui,LI Chang-feng,et al.Dispersive characterization and control of fiber in polyvinyl alcohol fiber cement composites [J].Journal of the Chinese Ceramic Society,2015,43(8):1061-1066.)
[10]徐世烺,郑治,徐道远,等.混凝土断裂试验与断裂韧度测定标准方法 [M].北京:机械工业出版社,2009.
(XU Shi-lang,ZHENG Zhi,XU Dao-yuan,et al.The standard methods of fracture toughness measurement and fracture test of concrete [M].Beijing:China Machine Press,2009.)
HUANG Zhi-qiang, XU Guang-jiong, LIU Xin
(School of Architecture and Civil Engineering, Shenyang University of Technology, Shenyang 110870, China)
Abstract: Aiming at the effect of freeze-thaw cycles on the fracture performance of PVA fiber cementitious composites, a three-point bending test method based on the quick freezing method was proposed, the effect of freeze-thaw cycles on the initial fracture toughness, unstable toughness and fracture energy of PVA fiber cementitious composites was studied, and the mass and surface phenomena of specimens after the freeze-thaw cycles were analyzed. The results show that after 250 freeze-thaw cycles, the mass of specimens increases by 1.92%, while the initial fracture toughness, unstable toughness and fracture energy reduce by 37.2%, 51.1% and 48.4% respectively. With increasing the freeze-thaw cycles, the mass of specimens shows an increasing trend, the surface damage of specimens is more serious, and the initial fracture toughness, unstable toughness and fracture energy of specimens show a decreasing trend.
Key words: cementitious composite; fracture performance; freeze-thaw cycle; mass; three-point bending test; initial fracture toughness; unstable toughness; fracture energy
收稿日期: 2017-02-05.
基金项目: 国家自然科学基金资助项目(51474050); 辽宁省自然科学基金资助项目(201344089).
作者简介: 黄志强(1971-),男,黑龙江伊春人,副教授,博士,主要从事岩石和混凝土损伤断裂力学问题等方面的研究.
* 本文已于2018-05-08 14∶49在中国知网优先数字出版.
网络出版地址:http:∥kns.cnki.net/kcms/detail/21.1189.T.20180507.1441.004.html
doi:10.7688/j.issn.1000-1646.2018.03.20
中图分类号: TU 528
文献标志码:A
文章编号:1000-1646(2018)03-0352-05
(责任编辑:钟 媛 英文审校:尹淑英)