王 多1a, 陈良耳2, 陈仕彬1b, 智 勇1b, 汤 奕3
(1. 国网甘肃省电力公司 a. 基建部, b. 电力科学研究院, 兰州 730030; 2. 南京师范大学 电气与自动化工程学院, 南京 210042; 3. 东南大学 电气工程学院, 南京 210096)
摘 要: 为解决光伏电站因各种扰动引起的电压越限问题,光伏电站应具备无功调压能力.在分析单台光伏逆变器无功容量和光伏电站无功与电压关系的基础上,提出了一种大型光伏电站无功优化协调控制策略.该控制策略采用PI控制器实现电压的无差控制,并协调无功补偿装置和逆变器的无功容量为电网提供电压支撑,同时根据无功线路损耗对逆变器无功进行优化分配.结果表明:该控制策略能保证光伏电站并网点电压稳定,降低站内线路损耗,验证了所提控制策略的正确性.
关 键 词: 大型光伏电站; 逆变器; 无功控制; 控制策略; 无功容量; 无功电压关系; 无功线路损耗
随着能源的结构优化和绿色发展,转型成为当今时代的重要任务,新能源的开发利用越来越受到人们重视.其中,太阳能以其独特的资源优势和环境优势逐渐成为关注焦点,近几年来光伏发电产业更是蓬勃发展[1].2015年我国光伏装机容量首次超过德国跃居世界第一,成为我国新能源发展史上新的里程碑.建设大型光伏电站能够更加集中有效地利用太阳能资源,研究其控制特性对今后光伏电站大规模并网运行具有重要的指导意义[2-3].
大型光伏电站多建在偏远荒漠地区,远离负荷中心,电能需经长距离高压输电线外送.随着光伏发电在电网中的渗透率不断增加,光伏发电因其具有随机性和波动性的特点将对电网电压稳定造成不利影响.目前针对分布式光伏发电调压方式的研究较多,主要有定功率控制、利用储能装置调压以及装设无功补偿装置调压.文献[4-5]对光伏发电定功率控制进行研究,但只能通过降低出力运行实现调压.文献[6]利用储能装置抑制电网电压波动,但需要装设额外的储能装置,增加了设备投资.文献[7]通过静止型动态无功补偿装置提供无功,能提高光伏电站电压稳定性,但大规模使用的成本较高.与分布式光伏发电不同,光伏电站内部的无功源包括无功补偿装置和光伏逆变器,而光伏逆变器可实现有功、无功的解耦控制.文献[8]分析表明,当光伏发电的渗透率大于30%时,其调压能力可取代调压电容器的作用.若光伏电站能充分利用逆变器的无功容量为电网提供电压支撑,将大大降低无功补偿装置的投资成本.这不仅需要对无功补偿装置和逆变器进行无功协调控制,还需要对多台逆变器进行无功协调控制.
本文首先研究单台光伏逆变器的无功容量,分析其限制因素;其次研究光伏电站无功和各点电压之间的关系,并提出了一种大型光伏电站无功优化协调控制策略;最后在PSCAD/EMTDC软件中建立了光伏电站仿真模型,验证所提出控制策略的正确性.
光伏逆变器的无功容量决定了光伏电站的无功电压控制效果,因此,研究光伏电站无功控制策略首先要研究光伏逆变器的无功容量.
光伏逆变器的无功容量受线路阻抗的限制[9-10],光伏逆变器的并网等值电路如图1所示.

图1 并网等值电路
Fig.1 Grid equivalent circuit
图1中Ui为第i台逆变器出口处电压;Um为光伏电站接入点电压;xi为第i台逆变器出口处的电感量;Pi和Qi为第i台逆变器输出的有功和无功功率.
有功和无功方程为
(1)
(2)
式中,αi为第i台逆变器出口处电压和光伏电站接入点电压的相角差.
由式(1)和式(2)可得
(3)
光伏逆变器输出的有功功率与光照强度、环境温度和光伏阵列的额定容量有关,并在0~Pmax之间变化.逆变器的实际工作区域如图2中阴影所示.

图2 逆变器有功、无功功率容量
Fig.2 Active and reactive power capacity of inverter
第i台逆变器输出的无功功率范围为
(4)
当Pi=0 p.u.时,第i台逆变器输出的无功功率范围为
(5)
光伏逆变器的无功容量受逆变器的视在功率限制,若逆变器有功输出增多,则无功容量会相应减少.通常逆变器允许短时间工作在视在功率的1.1倍处,则第i台逆变器输出的有功功率和无功功率的关系为
(6)
因此,第i台逆变器输出的无功功率范围为
(7)
在此限制条件下,当P=1 p.u.时,
当P=0 p.u.时,![]()
综上所述,当同时考虑线路阻抗限制和逆变器视在功率限制时,由式(4)和式(7)可得第i台光伏逆变器的无功容量为
(8)
(9)
大型光伏电站由m×n个光伏发电单元(PV generation unit,PVGU)组成[11],常见的拓扑结构如图3所示.

图3 光伏电站拓扑结构
Fig.3 Topological structure of PV power station
图3中UiL(i=11,12,…,nm)为第i个光伏发电单元出口处电压;UPOIL为主变压器T低压侧母线电压;UPOIH为主变压器T高压侧母线电压;U为电网电压.
该光伏电站有n条集电线路,每条集电线路上接有m个光伏发电单元.光伏发电单元中的逆变器将光伏板发出的直流电逆变为400 V的交流电,经0.4 kV/10 kV升压变压器升至10 kV后接入集电线路,集电线路接入主变压器低压侧母线,再经主变压器升压至110 kV后通过高压交流输电线和大电网相连.
建立的光伏电站等值模型[12]如图4所示.

图4 光伏电站等值模型
Fig.4 Equivalent model for PV power station
图4中Pi+jQi为第i个PVGU发出的功率;Zi为连接第i个PVGU与第i-1个PVGU的集电线路阻抗;ZTi为第i个PVGU的升压变压器等效阻抗;BT为主变压器激磁导纳;UiL与UiH分别为第i个升压变压器低压侧和高压侧电压.
2.2.1 光伏电站并网点电压
以电网电压U为基准,忽略电压降横分量及导纳参数,光伏电站并网点电压UPOIH(以下过程均以标幺值计算)可近似表示为
(10)
式中:∑Pi和∑Qi分别为光伏电站的有功和无功输出;QC为无功补偿装置的无功输出;ΔP、ΔQ分别为主变压器、光伏发电单元升压变压器以及集电线路阻抗造成的有功和无功损耗;Zg=Rg+jXg为高压交流输电线阻抗.
由式(10)可知,光伏电站并网点电压不仅与输电线路阻抗有关,而且与电网电压、光伏电站的有功和无功输出、无功补偿装置的无功输出以及有功和无功损耗有关.当并网点电压发生波动时,可以调节无功输出∑Qi和QC来改善并网点电压.
2.2.2 光伏发电单元出口处电压
因集电线路结构相同,以第1条集电线路为例进行分析.第i个光伏发电单元出口处电压为

(11)
由式(11)可知,光伏发电单元出口处电压不仅与集电线路阻抗有关,而且与光伏电站并网点电压、光伏发电单元在集电线路中的位置、自身输出功率和其他光伏发电单元输出功率有关.
进一步推导易得,集电线路首端的光伏发电单元出口处电压最低,接近于光伏电站并网点电压,集电线路末端的光伏发电单元出口处电压最高,也最易发生电压越限.集电线路阻抗对电压有抬升作用,光伏发电单元出口处电压向集电线路末端方向逐渐升高.
光伏电站无功优化协调控制策略如图5所示.图5中Uref为光伏电站并网点参考电压;Q0为无功初始量;Qref为无功参考量;ki为第i个光伏发电单元的无功分配系数;Qsmax和Qsmin分别为SVG的感性和容性无功容量;Qimax和Qimin分别为第i个光伏发电单元的感性和容性无功容量;Qsref和Qiref分别为SVG和第i个光伏发电单元分配到的无功参考量.

图5 无功优化协调控制策略
Fig.5 Reactive power optimization coordinated control strategy
鉴于静止型动态无功补偿装置SVG的动态无功调节能力较好,下文所述控制策略以SVG作为无功补偿装置进行设计与分析.该控制策略将光伏电站并网点参考电压Uref和实时检测电压UPOIL比较,通过PI控制器得到无功参考量Qref,再合理分配给SVG和光伏逆变器实现并网点电压的调节.
在静态稳定条件下,光伏电站并网点电压波动量与无功输出变化量之间的关系可采用线性函数近似表示,因此采用PI控制器实现电压的无差控制[13],其中PI控制器的传递函数可表示为
(12)
式中:参数ω1和ω2由系统的相位裕度决定;参数KPI由系统的无功电压调节特性决定.
为减少光伏发电单元无功引起的线路损耗,在无功分配时应优先考虑SVG,无功分配时按两种情况进行讨论:
1) 当无功参考量Qsmin<Qref<Qsmax时,SVG分配到的无功参考量为
Qsref=Qref
(13)
第i个光伏发电单元分配到的无功参考量为
Qiref=0 p.u.
(14)
2) 当无功参考量Qref<Qsmin或者Qref>Qsmax时,SVG分配到的无功参考量为
Qsref=Qsmin或者Qsref=Qsmax
(15)
第i个光伏发电单元分配到的无功参考量为

(16)
由于各光伏发电单元距离光伏电站并网点远近不同,特别是大型光伏电站的占地面积将达到十几平方公里,若将光伏发电单元总的无功参考量平均分配给各光伏发电单元,远离并网点的光伏发电单元所引起的线路损耗将远远高于靠近并网点的光伏发电单元.因此,本文提出一种考虑无功线路损耗的无功优化分配方案,通过改变无功分配系数ki实现无功的优化分配,有效地降低无功线路损耗.
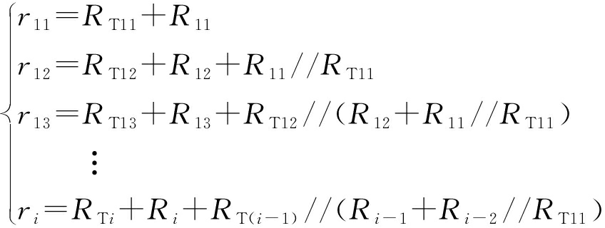
由于集电线路电抗Xi和光伏发电单元升压变压器电抗XTi不会因为无功输出而产生有功损耗,因此,集电线路电阻Ri和光伏发电单元升压变压器电阻RTi是光伏电站产生有功损耗的主要因素,令ri为第i个光伏发电单元出口到光伏电站并网点的等效电阻,其计算式为

(17)
光伏电站中各光伏发电单元因电阻产生总的有功损耗为
(18)
其中,约束条件为
∑Qiref=Q
(19)
要使得∑ΔP最小,则需构造拉格朗日函数
C=∑ΔP+λ(∑Qiref-Q)
(20)
并对C求偏导

(21)
得到
Q11refr11=Q12refr12=…=Qnmrefrnm
(22)
又因
Qiref=ki(Qref-Qsref)
(23)
联立式(22)和式(23)可得
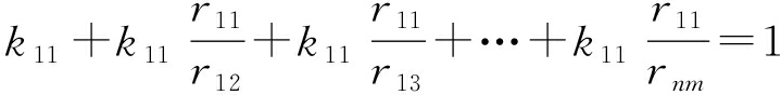
k11r11=k12r12=…=knmrnm
(24)
无功分配系数ki满足
k11+k12+…+knm=1
(25)
将式(24)代入式(25)可得
(26)
解得

(27)
综上,无功分配系数ki为

(28)
利用式(28)所示的无功分配系数可以对各光伏发电单元的无功进行优化分配,降低光伏电站内部因无功分配不合理而产生的额外有功损耗.但是,由于各光伏发电单元排列结构和线路参数的不确定性,其无功分配系数应结合实际情况进行计算.
为验证本文所提无功优化协调控制策略的正确性,在PSCAD/EMTDC软件中建立如图6所示的光伏电站仿真模型.光伏电站有2条集电线路,每条集电线路上接有3个PVGU,分别用来模拟集电线路首中末三个位置的PVGU,每个PVGU容量为2 MW,经0.4 kV/10 kV升压变压器接入集电线路.主变压器变比为10 kV/110 kV,升压至110 kV后经长距离高压交流输电线与大电网相连.SVG接在主变压器低压侧母线上,容量为-4~5 Mvar.
仿真过程分为三个阶段,开始时光伏电站以单位功率因数方式正常运行;在0.2 s时主变压器低压侧母线突然发生三相短路故障,此时SVG和光伏逆变器开始输出无功提供电压支撑;在0.4 s时继电保护动作故障清除,SVG和光伏逆变器无功输出量逐渐降为零.仿真模型选用主变压器低压侧母线作为电压控制点.

图6 光伏电站仿真电路
Fig.6 Simulation circuit of PV power station
因两条集电线路结构相同,下文仅以第1条集电线路的仿真结果进行分析.光伏电站仿真模型中无功优化协调控制策略仿真结果如图7所示.

图7 控制策略仿真结果
Fig.7 Simulation results of control strategy
从图7a可以看出,当发生三相短路时,采用无功优化协调控制策略,电压控制点电压能较好地稳定在0.988 p.u.附近,而未采用无功优化协调控制策略时,电压跌落到0.963 p.u.左右;从图7b可以看出,在发生三相短路后SVG无功输出量迅速增加,且很快达到饱和状态;另外,对比图7c和图7d可以发现,在考虑无功线路损耗进行无功优化分配时,靠近并网点的PVGU无功输出量大于远离并网点的PVGU无功输出量,从而最大限度地降低因无功分配不合理而导致的有功损耗,同时使集电线路上各PVGU出口处电压分布更为均衡.
上述仿真结果验证了本文所提大型光伏电站无功优化协调控制策略的正确性.
通过上述分析可得结论如下:
1) 单台光伏逆变器的无功容量受到线路阻抗限制和逆变器视在功率限制.
2) 光伏电站并网点电压与输电线路阻抗、电网电压、光伏电站的有功和无功输出、无功补偿装置的无功输出以及有功和无功损耗有关.光伏发电单元出口处电压与集电线路阻抗、光伏电站并网点电压、光伏发电单元在集电线路中的位置、自身输出功率和其他光伏发电单元输出功率有关.
3) 本文所提控制策略采用PI控制器实现电压的无差控制,在无功分配时优先考虑SVG,在对光伏发电单元分配无功时考虑了无功线路损耗因素,降低了因无功分配不合理而导致的有功损耗.在PSCAD/EMTDC软件中建立光伏电站仿真模型,仿真结果表明,所提控制策略能够很好地协调SVG和各光伏发电单元之间的无功输出,保证电网电压稳定.
参考文献(References):
[1] 章激扬,李达,杨苹,等.光伏发电发展趋势分析 [J].可再生能源,2014,32(2):127-132.
(ZHANG Ji-yang,LI Da,YANG Ping,et al.Development trend analysis of photovoltaic power generation [J].Renewable Energy Resources,2014,32(2):127-132.)
[2] 丁明,王伟胜,王秀丽,等.大规模光伏发电对电力系统影响综述 [J].中国电机工程学报,2014,34(1):2-14.
(DING Ming,WANG Wei-sheng,WANG Xiu-li,et al.A review on the effect of large-scale PV generation on power systems [J].Proceedings of the CSEE,2014,34(1):2-14.)
[3] 迟永宁.光伏发电并网运行研究及应用 [J].电气应用,2015,34(1):15-16.
(CHI Yong-ning.Research and application of grid connected photovoltaic power generation [J].Electrotechnical Application,2015,34(1):15-16.)
[4] Li H,Xu Y,Adhikari S,et al.Real and reactive power control of a three-phase single-stage PV system and PV voltage stability[C]//IEEE Power and Energy Society General Meeting.San Diego,USA,2012:1-8.
[5] 常国祥,陈虎,张晓华.电流型多电平逆变器SVPWM控制方法 [J].沈阳工业大学学报,2014,36(4):367-372.
(CHANG Guo-xiang,CHEN Hu,ZHANG Xiao-hua.SVPWM control method for current source multilevel inverter [J].Journal of Shenyang University of Technology,2014,36(4):367-372.)
[6] 张卫东,刘祖明,申兰先.利用储能平抑波动的光伏柔性并网研究 [J].电力自动化设备,2013,33(5):106-111.
(ZHANG Wei-dong,LIU Zu-ming,SHEN Lan-xian.Flexible grid-connection of photovoltaic power generation system with energy storage system for fluctuation smoothing [J].Electric Power Automation Equipment,2013,33(5):106-111.)
[7] 潘琪,徐洋,谢夏寅,等.基于无功源的分布式光伏电站无功补偿协调控制系统及方法 [J].电测与仪表,2015,52(3):101-106.
(PAN Qi,XU Yang,XIE Xia-yin,et al.Coordination control system and method for reactive compensation of the distributed PV power station based on reactive power source [J].Electrical Measurement & Instrumentation,2015,52(3):101-106.)
[8] Liu Y,Bebic J,Kroposki B,et al.Distribution system voltage performance analysis for high-penetration PV[C]//IEEE Energy 2030 Conference.Atlanta,USA,2008:1-8.
[9] 陈波,朱晓东,朱凌志,等.光伏电站低电压穿越时的无功控制策略 [J].电力系统保护与控制,2012,40(17):6-12.
(CHEN Bo,ZHU Xiao-dong,ZHU Ling-zhi,et al.Strategy for reactive control in low voltage ride through of photovoltaic power station [J].Power System Protection and Control,2012,40(17):6-12.)
[10]朱劭璇.能源协调控制系统中光伏电站有功无功控制研究[D].保定:华北电力大学,2015.
(ZHU Shao-xuan.Research on control strategy of active and reactive power for photovoltaic power station in energy coordinated control system[D].Baoding:North China Electric Power University,2015.)
[11]陈波,朱凌志,朱晓东.基于光伏系统低电压穿越的无功控制策略 [J].低压电器,2012(19):21-27.
(CHEN Bo,ZHU Ling-zhi,ZHU Xiao-dong.Strategy for reactive control based on ability of low voltage ride through in photovoltaic power system [J].Low Voltage Apparatus,2012(19):21-27.)
[12]鲍新民,许士光.光伏电站无功电压控制策略的研究 [J].低压电器,2014(4):32-36.
(BAO Xin-min,XU Shi-guang.Research on reactive power/voltage control strategy of photovoltaic power station [J].Low Voltage Apparatus,2014(4):32-36.)
[13]王湘明,张玮玮,王卫鑫.并网逆变器功率和合成谐波阻抗联合控制策略 [J].沈阳工业大学学报,2016,38(2):127-132.
(WANG Xiang-ming,ZHANG Wei-wei,WANG Wei-xin.Combined control strategy of power and synthetic harmonic impedance for grid connected inverter [J].Journal of Shenyang University of Technology,2016,38(2):127-132.)
WANG Duo1a, CHEN Liang-er2, CHEN Shi-bin1b, ZHI Yong1b, TANG Yi3
(1a. Infrastructure Department, 1b. Institute of Electric Power Science, Gansu Electric Power Corporation, Lanzhou 730030, China; 2. School of Electrical and Automation Engineering, Nanjing Normal University, Nanjing 210042, China; 3. School of Electrical Engineering, Southeast University, Nanjing 210096, China)
Abstract: In order to solve the voltage exceeding problem in the photovoltaic (PV) power station caused by various disturbances, the PV power station should possess the ability of reactive power voltage adjustment. On the basis of analyzing the reactive power capacity of single PV inverter as well as the reactive power and voltage relationship of PV power station, a reactive power optimization coordinated control strategy for large-scale PV power station was proposed. The non-difference voltage control was realized with the PI controller in the proposed control strategy. The reactive power capacity of both reactive power compensation device and inverters was coordinated to provide the voltage support for the power grid. Meanwhile, the optimal assignment for the reactive power of inverters was performed according to the reactive power line loss. The results show that the proposed control strategy can ensure the voltage stability of grid connection points in the PV power station and reduce the line loss in the station, which verifies the correctness of proposed control strategy.
Key words: large-scale PV power station; inverter; reactive power control; control strategy; reactive power capacity; reactive power and voltage relationship; reactive power line loss
中图分类号: TM 615
文献标志码:A
文章编号:1000-1646(2018)04-0368-07
收稿日期: 2016-08-19.
基金项目: 国家自然科学基金资助项目(51577030); 国网甘肃省电力公司科技项目(52272214003X).
作者简介: 王 多(1962-),男,河南孟县人,高级工程师,硕士,主要从事电力系统安全稳定分析与控制、可再生能源发电等方面的研究.
* 本文已于2018-06-22 17∶15在中国知网优先数字出版.
网络出版地址: http:∥kns.cnki.net/kcms/detail/21.1189.T.20180622.0838.020.html
doi:10.7688/j.issn.1000-1646.2018.04.02
(责任编辑:景 勇 英文审校:尹淑英)