张 炜
(安阳工学院 计算机科学与信息工程学院, 河南 安阳 455000)
摘要:针对DFB激光器驱动电流随时间变化存在漂移和不稳定的问题,提出了基于遗传算法的DFB激光器驱动系统.该激光器驱动电源采用运算放大器深度负反馈原理来提高系统稳定性,通过引入遗传算法来消除实际驱动电流值与理论值之间的微小差异,并利用该驱动电源对中心波长为1 563.09 nm的DFB激光器进行了驱动测试.结果表明,该系统的驱动电流范围为40~80 mA,电流的波动最大值为0.62 μA,电流稳定度为0.015 5%,能够实现高精度和宽范围的控制效果.
关键词:激光器; 线性电源; 恒流驱动电源; 电压可控; 遗传算法; 低纹波; 发光光谱; 浓度探测
DFB激光器输出光功率和输出波长受其驱动电流的影响.DFB激光器有两种驱动模式:
1) 直流驱动模式.对流经激光器PN结的电流进行深度负反馈处理,达到较高的电流稳定度及较快的闭环响应时间,是一种最常见的半导体激光器驱动方式.
2) 恒定光功率驱动模式.由于激光器输出光功率与其驱动电流存在一定的非线性关系,在激光器内部封装光电二极管,通过检测激光器输出功率,不断调整其驱动电流,保证激光器输出光功率恒定[1-4].
由于红外气体检测应用中需要保证DFB激光器输出波长线性可调,因此,选择恒流驱动模式来设计该驱动电路.在商品化DFB激光器驱动电源方面,国外厂商包括Wavelength、ILXlight和Alpes lasers公司等.国外成熟的激光器驱动产品虽然性能优越,电流波动最大值约为0.2 μA,电流稳定度为0.005%,但是价格昂贵,且为通用性仪器,体积较大.国内研制DFB驱动电源的厂商主要以深圳市南方联合实业有限公司为代表,虽然形成一定的产品,但是性能指标不高,电流波动最大值仅为1 μA.因此,针对低电流纹波场合,需要结合自身项目实际需求,自主研制高性能DFB激光器驱动系统.
近些年,国内外很多科研机构和生产厂商均研制了用于专业用途的半导体激光器温度控制系统,在温度控制范围和控制精度方面做出了很多贡献.国外生产厂商如ILX Lightwave,Thorlabs和Newport等的产品一般能够在-50~100 ℃的环境下正常工作,且控制精度不低于0.001 ℃.国内方面,吉林大学和温州上通仪表公司联合研制的产品一般只能在常温下工作,控制精度仅为±0.1 ℃[5-6].虽然国外半导体激光器温度控制器参数性能较为优越[7-8],但是其体积庞大,价格昂贵,不适合便携式红外气体检测仪器的需求.国外产品的长期稳定度最优性能仅为±0.1 ℃,不能满足气体浓度高检测精度的要求[9-10].
本文基于遗传算法完成了对近红外DFB激光器驱动电源的设计工作.驱动电路主要实现激光器的反向高压保护、防静电保护、抑制浪涌电压和过流保护等功能.采用该电源对发射波长为1 563.09 nm的DFB激光器进行测试,实验结果表明,在电源上电及工作过程中,激光器的驱动电流没有毛刺产生,输出中心波长没有发生漂移现象.因此,该电源具有较高的商业价值.
DFB激光器的驱动电源由两部分组成,分别为低纹波低压差线性电源和高精度恒流驱动电源.根据DFB激光器技术参数,本文设计的高稳定度DFB驱动系统的设计性能参数如下:线性电源的纹波系数低于0.01,±5 V电源的电流驱动能力为5 A,±12 V电源的电流驱动能力为3 A.DFB激光器的扫描电流频率为10~1 000 Hz可调,电流变化范围为20~200 mA可控.DFB激光器的调制电流频率为5~50 kHz可调,电流变化范围为1~10 mA可控.DFB激光器驱动系统如图1所示.
低纹波线性电源为整套DFB激光器驱动系统供电,恒流驱动包括锯齿波发生器、正弦波发生器、加法器及电压可控恒流源电路组成.锯齿波电路负责产生低频的扫描电流,使DFB激光器的输出波长缓慢扫过待测气体的特征吸收峰.正弦波电路产生高频调制波,并输出与该高频调制波同频同相的方波,作为后端同步检测系统的基准参考源.在DFB激光器工作温度不变的情况下,激光器驱动电流恒定时,激光器的中心输出波长保持稳定.

图1DFB激光器驱动系统框图
Fig.1DiagramofDFBlaserdrivingsystem
线性电源系统体积较大,且要求输入电压较高.整套系统成本低、结构简单、转换效率高(大多开关电源的效率达到95%以上)且比较便携.开关电源最大的缺点是纹波系数较大,严重影响高精度模拟电路的性能.因此,本文选择以LT1083为核心稳压芯片的线性电源供电系统.
输入电压为+5 V/5 A,输出电压为±12 V/3 A的低纹波线性电源即可满足DFB激光器的驱动需求.每个线性电源均采用LT1083进行设计,采用形同的电路形式,仅仅是输入变压器参数、保险丝和反馈电阻的参数略有差异.该款产品内部电路由电磁屏蔽电路、交流电防浪涌电路、输出滤波电路及过载保护电路组成,能够有效地保证电源的可靠性和稳定性,电路结构如图2所示.

图2低纹波线性电源电路
Fig.2Lowripplelinearpowersupplycircuit
图2中,C1为耐压值为1 000 V的高频电容,用于滤除掉电网中的工频干扰.F1为5 A的保险丝,限制电路系统的电流.R1、R2和R8为无感水泥电阻,分别与电容C2和C3、C4和C5构成二级RC滤波器,主要用于滤除全波整流输出中的交流成分.二级管D1防止电源关断瞬间电压值失衡以损害稳压芯片.PNP型晶体管Q1与R6、C11构成电压缓慢启动控制电路,晶体管Q1处于饱和状态,将电阻R2短接到地,此时,输出电压为1.25 V.晶体管Q1从饱和状态渐渐过渡到截止状态,其内阻从低阻值逐渐增大,直至开路.集成稳压电源的输出电压随着调节端电位逐渐增高,最后稳定在所设计的电压值上.输出电压缓慢上升的速度由R3和C1来决定.电阻R3与R7决定输出的电压值,电容C10用于滤除调节端的纹波,进一步降低输出电压的纹波系数.
恒流驱动系统由锯齿波发生器、正弦波发生器、加法器及电压可控恒流源电路组成,温度测量系统由温度采集系统及温度控制系统组成.锯齿波电路负责产生低频的扫描电流,使激光器的输出波长缓慢扫过待测气体的特征吸收峰;正弦波电路产生高频调制波,并输出与该高频调制波同频同相的方波,作为后端同步检测系统的基准参考源.
根据TDLAS-WMS检测理论,驱动DFB激光器的电流由三部分组成,激光器的偏置电流(要求大于阈值电流)、低频锯齿波扫描电流及高频正弦波调制电流.为了减少电路成本,激光器的偏置电流和低频锯齿波扫描电流均由数模转换芯片AD5541产生,高频正弦波调制电流由AD9851产生.由于数模转换芯片输出为阶跃电压,因此,AD5541输出接入一级低通滤波器,低通滤波器输出的锯齿波信号与正弦波信号送入加法器后,叠加电压送入可控恒流源电路,对激光器的电流进行调控.
1.2.1 锯齿波产生电路
锯齿波产生电路如图3所示.

图3锯齿波产生电路
Fig.3Sawtoothwavegeneratingcircuit
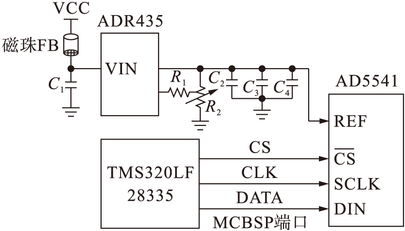
本文系统采用8引脚SOIC封装的AD5541供电,通过MCBSP端口与TMS320LF28335相连接,其基准电压源采用ADR435芯片.为了降低电路的串扰,磁珠FB和电容C1为其提供电源去耦功能.电阻R1和滑动变阻器R2微调ADR435的输出电压,通过6位半数字电压表,无需外部电容,能够提供稳定的输出电压.在本文系统中,ADR435为多个模数转换器和数模转换器提供基准电压,电容C2、C3为外部滤波电容,进一步稳定稳压源的基准电压,紧紧靠近ADR435的基准电压输出管脚.电容C4紧紧靠近AD5541芯片,为该芯片提供局部退耦功能.
1.2.2 正弦波产生电路
直接数字式频率合成器是一种新型的信号产生技术.鉴于直接数字式频率合成器的优势,在后端检测电路中需要与正弦波同频率同相位的方波作为参考基准,本文选择亚德诺半导体公司的AD9851芯片作为正弦波信号发生器.
AD9851芯片内建的高速DAC芯片输出频率超过30 MHz时,芯片出现严重发热现象,且输出波形的幅值随着频率的增加而减小.为了方便对AD9851内部寄存器进行刷新控制,选择外部更新模式,通过将更新时钟管脚拉高来实现,方便用户通过设置更新时钟速率来同步编程信息.
1.2.3 电压可控恒流源电路
恒流源模块采用深度负反馈架构,通过取样电阻对负载电流进行取样,完成对MOSFET栅极驱动电压的控制.DFB激光器对驱动电流的精度要求很高,负载驱动电路必然是高可靠及高稳定的恒流电路.电压可控恒流源电路的驱动核心元件MOSFET管要求驱动电流达到100 mA.为了满足激光器个体差异而引起的驱动电流的差异,可以提高电路的带负载能力,电路图如图4所示.

图4电压可控恒流源电路
Fig.4Voltagecontrolledconstantcurrentsourcecircuit
通过采样电阻R13对DFB激光器支路的电流进行取样,将电流信号转变成电压信号,通过改变Vgs的电压值来改变流过分布反馈式激光器的电流幅值.运放U1A和U1B为两个同类型的低通滤波器.滑动变阻器R3用于调节正弦波输出信号的幅值.三角波与正弦波通过加法器U1C完成对信号的叠加.MOSFET内部集成一个肖特基势垒二极管,其为MOSFET在关断瞬间提供电流释放回路.
遗传算法能够快速寻优,其在高维空间中的搜索是从随机产生的起始点开始的,根据设定的适应度函数指定搜索方向.利用遗传算法来优化神经网络的权系数,其步骤如下:
1) 选取神经网络的输入和输出样本集,确定网络权系数的编码方式,随机得到初始种群,对个体位串译码,得到网络权系数,再求得对应的网络输出.
由于神经网络正模型有25个权值和阈值变量,取个体为W=(w1,w2,…,wi,…,w25).给定变量的门限值,则个体表现为W=[0.095,0.788,0.817,1.919,-1.925,-1.567,…].遗传算法使用的交叉和变异算子需要确保运算结果位于给定的范围内.因此,交叉运算在两个基因的分界处进行.
2) 选定目标函数,得到网络适应度,对网络进行评价.将染色体上的权值和阈值分配到神经网络中,由训练集样本{u(k),y(k)}和{y(k+1)}分别作为输入和期望输出,取评价函数为误差平方和的倒数,即f1=1/Je1.
3) 根据适应度和交叉变异算法来进行选择操作,得到新种群,再返回步骤1),直到性能满足要求,得到优化的系数.
使用标准化的几何排序方法进行选择,其表达式为
(1)
式中,q、r和n分别为选择概率、个体序列号和种群大小.
交叉算法使用数学交叉和启发式交叉两种方式,这种组合方式可以提高算法的探测能力.由数学交叉得到的两个新个体分别为
(2)
(3)
式中,a∈(0,1)为随机数.
启发式交叉的表达式为
(4)
式中,r∈(0,1)为随机数.如果解得数值的和均不在解空间,那么由新产生的随机数来重新进行交叉运算.
为了降低控制系统软件设计的复杂性,提高DFB激光器输出波长的稳定性以及电流控制的精度,本文对自主设计的驱动系统性能进行测试.采用该套温度控制系统对中心波长在1 563.09nm附近的DFB激光器进行系统性能测试实验.DFB激光器驱动电流具体指标为:扫描电流频率为10Hz,电流变化范围为40~80mA;调制电流频率为5kHz,电流分辨率为1mA.
实验测试过程如下:实验中,通过主控制器TMS320LF2812将DFB激光器的驱动电流进行设置.在零时刻,DFB激光器驱动系统开始工作,实验测得的DFB激光器的驱动电流波形如图5所示.

图5DFB激光器驱动波形
Fig.5DFBlaserdrivingwaveform
由实验数据可知,DFB激光器的驱动方式采用低频锯齿波叠加高频正弦波的方式.锯齿波驱动电流范围为40~80 mA,频率为25 Hz.正弦波驱动电流幅值为15 mA,频率为5 kHz.
在系统整机调试时,为了防止电磁空间辐射的干扰,将电路放置在高频屏蔽盒进行测试,测试结果如图6所示.

图6激光器驱动电流
电压关系曲线
Fig.6Relationshipcurveoflaserdrivingcurrentandvoltage
对DFB激光器各驱动电流输出纹波进行测试,结果如图7所示.

图7驱动电流波动测试结果
Fig.7Testresultsofdrivingcurrentfluctuation
选择北京普源精电科技有限公司生产的型号为DM3061的六位半高精度多功能数字仪表对控制电压和反馈电压进行测量.为了满足采样电阻与驱动电流峰值的乘积小于ADC8513输出电压峰值5 V的要求,反馈支路的采样电阻选为51.15 Ω,电流的波动最大值为0.62 μA,电流稳定度约为0.015 5%,从而满足设计要求.
激光器的输出波长随电流的变化关系不仅是激光器的重要性质,也是设计驱动系统的重点研究内容.在实验中,选择上述驱动系统对DFB激光器驱动电流进行控制,采用傅里叶红外光谱仪(分辨度为0.125 cm-1)测量DFB激光器的发射光谱,其具体实验步骤为:
1) 设定DFB激光器的工作温度为39 ℃,驱动系统控制DFB激光器分别在40、50、60、70和80 mA下工作.此时,分别测量DFB激光器的输出光谱.
2) 分别设定DFB激光器的工作温度为40、41、42和43 ℃,重复上述步骤,利用傅里叶红外光谱仪对激光器输出的光谱进行测量,结果如图8所示.

图8激光器输出中心波长与驱动电流的关系
Fig.8Relationshipbetweenoutputcentrewavelengthanddrivingcurrentoflaser
由图8可以看出,当DFB激光器的工作温度恒定时,其输出中心波长与工作电流呈稳定的线性关系.根据实验数据得到DFB激光器的一个重要参数,即电流调谐系数为0.06~0.07 nm/mA之间.
在气体浓度检测实验中,为了保证系统的检测精度并提高系统的可靠性,需要对半导体激光器输出稳定的发光光谱,这完全由激光器的驱动系统决定.利用本文驱动系统对同一个DFB激光器的输出光谱连续三次进行测量,结果如图9所示.

图9DFB激光器发光光谱
Fig.9EmittingspectrumofDFBlaser
图9中,设定DFB激光器的工作温度为41 ℃,工作电流为60 mA.由实验分析结果可知,测得的三条激光器输出谱线几乎完全重合,说明该激光器驱动系统的稳定性良好.
本文设计的基于遗传算法的自适应DFB激光器驱动系统,其驱动电流控制范围在40~80 mA之间,电流的波动最大值为0.62 μA,电流稳定度约为0.015 5%.与造价昂贵的商用集成驱动系统相比,本文驱动系统不仅具有较小的体积,同时也具有较低的成本,能够非常方便地集成到各种半导体激光器的控制系统中,在实际中具有巨大的潜在应用价值.
为了进一步提升该DFB激光器驱动系统的性能指标.在硬件设计方面,下一步工作可在压控恒流源部分采用数字和模拟双闭环方式,降低DFB激光器驱动电源输出电流纹波噪声.在软件设计方面,采用遗传算法和模糊PID相结合的方式,可进一步提升系统稳定度和响应时间的性能指标.
参考文献(References):
[1] 张志荣,夏滑,董凤忠,等.利用可调谐半导体激光吸收光谱法同时在线监测多组分气体浓度 [J].光学精密工程,2013,21(11): 2771-2777.
(ZHANG Zhi-rong,XIA Hua,DONG Feng-zhong,et al.Simultaneous and on-line detection of multiple gas concentration with tunable diode laser absorption spectroscope [J].Optics and Precision Engineering,2013,21(11): 2771-2777.)
[2] 王小雨,党敬民,王一丁.基于FPGA的激光器驱动电路的设计 [J].电子测试,2013(6):31-32.
(WANG Xiao-yu,DANG Jing-min,WANG Yi-ding.Design of driving circuit of LD based on FPGA [J].Electronic Test,2013(6):31-32.)
[3] Farooq A,Jeffries J B,Hanson R K.Sensitive detection of temperature behind reflected shock waves using wavelength modulation spectroscopy of CO2near 2.7 μm [J].Applied Physics B,2009,96(1):161-173.
[4] Commin J P,Kennedy K,Revin D G,et al.λ~3.36 μm room temperature InGaAs/AlAs(Sb)quantum cascade lasers with third order distributed feedback grating [J].Applied Physics Letter,2010,97(11):1-3.
[5] 陈思慧.基于TDLAS-WMS的高灵敏度电子鼻传感器设计 [J].沈阳工业大学学报,2017,39(3): 317-321.
(CHEN Si-hui.Design of electronic nose sensor with high sensitivity based on TDLAS-WMS [J].Journal of Shenyang University of Technology,2017,39(3): 317-321.)
[6] 陈霄,隋青美,苗飞,等.基于超窄线宽激光器的多气体光声光谱检测研究 [J].光电子激光,2011,22(11): 1679-1682.
(CHEN Xiao,SUI Qing-mei,MIAO Fei,et al.Multi-component gas high accuracy detection based on photo-acoustic spectrometry and ultra-narrow-line-width laser [J].Journal of Optoelectronics Laser,2011,22(11): 1679-1682.)
[7] 陈月娥,王勇.超低噪声单频可调谐光纤激光器 [J].光学精密工程,2013,21(5):1110-1115.
(CHEN Yue-e,WANG Yong.Ultralow-noise tunable single-frequency fiber lasers [J].Optics and Precision Engineering,2013,21(5):1110-1115.)
[8] 杨帮华,丁丽娜,张永怀,等.红外气体传感器中光源恒功率控制电路的设计 [J].传感器与微系统,2012,31(5):115-117.
(YANG Bang-hua,DING Li-na,ZHANG Yong-huai,et al.Design of constant power control circuit for source of infrared gas sensor [J].Transducer and Microsystem Technologies,2012,31(5):115-117.)
[9] 陈晨,黄渐强,吕默,等.高精度纳秒级红外QCL驱动电源 [J].吉林大学学报(工学版),2011,41(6):1736-1742.
(CHEN Chen,HUANG Jian-qiang,LÜ Mo,et al.High precision narrow pulse drive power for infrared quantum cascade laser [J].Journal of Jilin University (Engineering and Technology Edition),2011,41(6):1736-1742.)
[10] 党敬民,翟冰,高宗丽,等.纳秒级脉冲型群红外量子级联激光器驱动电源 [J].光学精密工程,2013,21(9):2209-2216.
(DANG Jing-min,ZHAI Bing,GAO Zong-li,et al.Nanosecond driver for multiple pulse-modulated infrared quamtum cascade lasers [J].Optics and Precision Engineering,2013,21(9): 2209-2216.)
ZHANG Wei
(School of Computer Science and Information Engineering, Anyang Institute of Technology, Anyang 455000, China)
Abstract:In order to solve the drift and unstability problems when the DFB laser changes with the current, a DFB laser driving sysytem based on the genetic algorithm was proposed. Through adopting the operational amplifier deep feedback theory, the system stability was enhanced with the proposed laser driving power supply. Through introducing the gentic algorithm, the micro deviation between the actual and theoretical driving current values was eliminated. With the proposed driving power supply, the driving test on a DFB laser with the center wavelength of 1 563.09 nm was performed. The results show that the driving current of the system is in the range from 40 to 80 mA, the maximuim current fluctuation is 0.62 μA, and the current stability is 0.015 5%, which can realize the high precision and wide range control effect.
Keywords:laser; linear power supply; constant current driving power supply; voltage control; genetic algorithm; low ripple wave; emitting spectrum; concentration detection
doi:10.7688/j.issn.1000-1646.2018.05.13
* 本文已于2018-06-08 16∶33在中国知网优先数字出版. 网络出版地址: http:∥kns.cnki.net/kcms/detail/21.1189.T.20180606.1506.008.html
作者简介:张 炜(1978-),男,河南安阳人,讲师,硕士,主要从事软件工程和网络工程等方面的研究.
基金项目:国家自然科学基金河南人才培养联合基金资助项目(U1204613).
收稿日期:2017-07-14.
文章编号:1000-1646(2018)05-0552-06
文献标志码:A
中图分类号:TN 215
(责任编辑:钟 媛 英文审校:尹淑英)