李兴海1, 肖 连2
(1. 黄河科技学院 现代教育技术中心, 郑州 450063; 2. 郑州航空工业管理学院 计算机学院, 郑州 450015)
摘要:针对在多协作用户宽带信道情况下,认知无线电网络中当信道增益固定时,检测时间、功率以及带宽分配等参数的优化问题,提出了各参数的联合优化算法.以信道容量为目标函数,给出了最优的资源分配算法.结果表明,该算法能够实现频谱接入并且极大地提高了次用户系统的总信道容量,且资源分配与主用户占用的概率、峰值发射功率和干扰约束等因素有关.在多认知用户网络中,参与合作的用户越多,接收信号的信噪比越高,次用户系统的总信道容量越大.
关键词:认知无线电网络; 衬底; 功率分配; 带宽分配; 信道容量; 中断概率; 虚警概率; 发射功率
认知无线电技术被认为是解决目前无线频谱资源利用率不足以及频谱稀缺的最佳方案,它是一个智能无线通信系统,能够识别外界通信环境,用建筑理解的方法来学习外界环境,并且通过实时调整特定工作参数,将系统的射频接发系统自适应地调整到某个统计状态,以达到任何时间、地点通信的高可靠性以及频谱的高效利用[1].其中一个主要问题就是实时准确地检测出主用户是否存在的频谱感知技术.当前成熟的频谱感知技术包括能量检测、匹配滤波器、小波检测、循环平稳检测以及协方差检测[2],这些技术可以运用在单用户以及多用户场景中.
除了设计频谱感知算法外,另一个重要的问题就是感知参数的设计以及资源分配问题,包括感知时间、功率分配和带宽分配[3-6].在衬底模式并且在对主用户存在一定的干扰约束下,文献[5]通过最大化信道容量来优化发射功率;文献[6]则将上述情况推广到功率和带宽的联合分配,考虑了各种发射功率和干扰约束的情况,解决了最优资源分配问题.但是,这些问题都没有考虑频谱感知,因而次用户系统的总信道容量仍然有很大的提升空间.针对上述问题,本文提出了在总发射功率以及干扰功率约束条件下,最大化总信道容量,联合获取最优检测时间和资源分配参数的算法.通过将多目标联合优化问题分解成多个单目标问题来解决本文中所有参数优化的问题,并且取得了良好的效果.
认知无线电系统模型如图1所示,考虑有单个主用户和N个次用户的宽带认知无线电网络,主用户占有带宽为W的频段来进行数据传输.图中gj、γj以及hj分别表示第j个次用户之间、主用户发射机与第j个次用户发射机、主用户接收机与第j个次用户发射机的瞬时信道增益.假设整个频段服从块衰落,信道增益在每一帧内增益保持不变,且对次用户已知[7-8].

图1认知无线电系统模型
Fig.1Modelforcognitiveradiosystem
系统的帧时隙如图2所示,假设一帧长度为T,其中检测时间为τ,传输时间为T-τ.次用户系统必须每隔时间T来检测宽带信道,并且根据信道上主用户的占用情况进行功率分配和带宽分配.整个信道被分成离散的不重叠的N个子信道,分配给不同次用户,因此次用户系统通过频分多址(FDMA)来避免相互干扰.在时间T内主用户的占用情况保持不变,即占用或者不占用.

图2帧时隙
Fig.2Frametimeslot
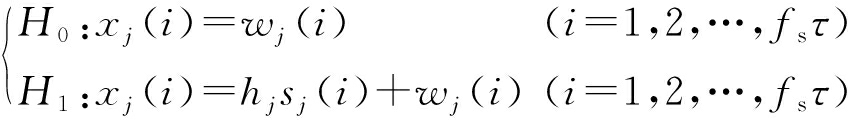
对于次用户j,检测信道是否被占用可等效为二元检测问题,即
(1)
式中:H0和H1分别为主用户存在与不存在的假设;i为采样序列;xj(·)为次用户接收信号;sj(·)为主用户发射信号;wj(·)为接收机处的加性高斯白噪声;fs为采样速率.
次用户将感知信息上传到融合中心,并进行最优处理来得出关于主用户是否存在的全局结论.采用经典的能量检测算法,对各次用户感知信息进行最大似然融合,则相应的检验统计量为
(2)
式中:
为矩阵的1范数.运用中心极限定理,统计量y在H0和H1下都可以近似为高斯分布,即
(3)
(4)
采用硬判决规则,假设检测门限为η,当y大于门限η时,判定为H1,否则判定为H0.虚警概率和检测概率分别为

(5)
式中,
从式(5)可以得出,Pf可以写成Pd的函数,即
(6)
假设分配给次用户j的带宽为wj,则总带宽约束可以写为
∀j)
(7)
次用户根据第一阶段的感知结果来分配发射功率,假设分配给次用户j的功率为Pj.在两种情况下,次用户可以接入到主用户信道:1)在假设H0下,正确检测;2)在假设H1下,当主用户存在时,次用户没有正确检测出主用户,其原因可能是采样过少、信噪比过低、隐终端或者边缘效应.注意到,次用户系统本身并不能区分前面两种情况,但都检测出主用户不存在,且分配相同的功率Pj.两种情况下次用户j的信道容量分别为
(8)
(9)
式中,P0为主用户的发射功率.因此,次用户j的平均信道容量可以表示为
Rj= P(H0)(1-Pf(τ))R0,j+
P(H1)(1-Pd)R1,j
(10)
式中,P(H0)、P(H1)分别为H0、H1的先验概率.
假设主用户的平均干扰功率为Iav,次用户j的峰值发射功率为
则次用户的发射功率约束为
(11)
∀j
(12)
对于次用户系统,在给定峰值发射功率时,将对主用户的干扰限制在某一门限下(这里通过约束Pd大于某个常数Pth实现),其目的是为了最大化总信道容量,最终得到了要解决的数学模型为
∀j,0<τ<T)
∀j)
(13)
式(13)以次用户总信道容量为目标函数,在检测概率、检测时间、带宽、峰值发射功率和干扰功率的约束下,实现了检测时间和资源最优分配的任务.
对于式(13)所示的多目标优化问题,可以通过解决多个单目标子优化问题来求解.
首先固定Pj和τ,则最优带宽分配子问题可以写为
∀j)
(14)
定理1式(14)关于wj是一个连续的资源分配问题.
证明首先求-Rj关于wj的二阶导数,得到


(15)
很明显式(15)中所有元素都为正,则
0,即-Rj关于wj为凸函数.而式(14)中的约束是非负、连续的线性和,根据文献[9]中的定义可得,式(14)是一个关于wj连续的资源分配问题,证毕.
为了求解连续的资源分配问题,本文引入增量算法,并定义一个精度因子ε,将连续问题离散化.该算法已经被证明能够收敛到全局最优[10],其计算复杂度为O(Nlog2Wlog2(WN/ε)),其中ε为正常数.求解参数步骤如下:
1) 初始化wj=0,∀j;
2) 如果
执行步骤5),否则执行步骤3);
3) 计算
执行步骤4);
4) 计算wj*=wj*+ε,执行步骤2);
5) 输出当前的wj作为最优解,结束程序.
对于固定wj和τ,最优功率分配子问题可以表示为
∀![]()
(16)
式中,![]()
定理2式(16)是关于Pj的凸优化问题.
证明通过证明二阶导数大于0,同时约束是非负、线性加权的,所以可得证.
构造式(16)对应的拉格朗日项为
(17)
式中,λ为拉格朗日乘子.对式(17)取关于Pj的一阶导数,并且令导数为0,则可以得到Pj的解,该解满足
(18)
函数fj(Pj)为递减函数,而式(17)的目标函数关于Pj递减,因此,可以得出唯一的λ满足式(18)以及式(17)中的约束.参数求解步骤如下:
1) 令![]()
2) ∀j,求解λj=fj(Pj);
3) 计算![]()
4) 计算
并返回.
固定wj和Pj,则最优检测时间子问题可以表示为
s.t.0<τ<T,Pd≥Pth(τ≥b3)
(19)
式中:![]()
文献[8]已经证明了式(19)中最优的Pd取值为Pth.
定理3式(19)关于τ为凸函数,且在τ∈(0,T)内唯一的点取最大值.
证明对目标函数关于τ求二次导数,可证明其关于τ为凸函数.
根据定理3可得式(19)的求解方法,首先求出目标函数取最大值时的τ*以及约束的可行域.如果τ*在该可行域,则输出为最优解;否则,输出τ*与可行域最近的点为最优解.参数求解步骤如下:
1) 求解式(19)中约束所对应τ解的可行域B.
2) 求解使式(19)中目标函数最大时所对应的τ*.
3) 如果τ*∈B,结束程序,并返回τ*为最优值;否则执行步骤4).
4) 计算
为最优值.
在前面的算法分析与求解中,均是假设其它参数为常数来解出某个参数,因此问题转化为如何联合求解多目标函数.这里引入循环最小算法,定义t为循环次数,α为增量停止参数,参数求解步骤如下:
1) 初始化
ε,求解R0.
2) 如果|Rt-Rt-1|<α|Rt-1|,结束程序,并返回当前的值作为最优值;否则执行步骤3).
3) 基于
和τt-1运用前文所示的算法计算![]()
4) 基于
和τt-1运用前文所示的算法计算![]()
5) 基于
和
运用前文所示的算法计算τt,并执行步骤2).
设置仿真参数为T=1s,Pth=0.9dB,N0=1,默认情况下,
gi=10dB,hi=γi=-10dB.
仿真实验图中“未优化的机会频谱接入”表示
的情况,是仿真比较的对象.
图3为次用户系统总信道容量关于检测时间的变化曲线.对于每个离散的检测时间,分别求解带宽和功率分配得到图中的曲线.所有情况下,曲线都是检测时间的凹函数,并且唯一的最优检测时间可以求得,验证了定理3.同时,算法在3次循环后基本上收敛,且每次循环都使信道容量增大,验证了循环最小算法的有效性.对于任意的检测时间,本文的机会频谱接入算法比未优化的算法以及衬底模式算法所得的信道容量更大.

图3次用户系统总信道容量随检测时间的变化曲线
Fig.3Changecurvesintotalchannelcapacityofsecondaryusersystemwithdetectiontime
图4~8为不同
和P(H0)条件下次用户系统总信道容量的变化曲线.综合对比图4~8,可以得出以下结论:
1) 在所有情况中,本文的机会频谱接入算法都优于其它算法.
2) 当
和Iav增加时,算法得到的信道容量首先增加,然后稳定于某一定值.可从式(13)中的功率约束得知,即固定
当Iav→∞时,可得![]()
3) 当W和N增加时,机会频谱接入算法所得的信道容量随之增加,而衬底模式的容量几乎不变,这说明前者的渐近性较好.
4) 当P(H0)增加时,次用户有更多的机会利用主用户频段,机会频谱接入所得的容量随之增加,而衬底模式不变.

图4次用户系统总信道容量随峰值发射功率的变化曲线
Fig.4Changecurvesintotalchannelcapacityofsecondaryusersystemwithpeaktransmitpower

图5次用户系统总信道容量随干扰功率的变化曲线
Fig.5Changecurvesintotalchannelcapacityofsecondaryusersystemwithinterferencepower

图6次用户系统总信道容量随总带宽的变化曲线
Fig.6Changecurvesintotalchannelcapacityofsecondaryusersystemwithtotalbandwidth

图7次用户系统总信道容量随次用户数的变化曲线
Fig.7Changecurvesintotalchannelcapacityofsecondaryusersystemwithnumberofsecondaryusers

图8次用户总信道容量随主用户占用概率的变化曲线
Fig.8Changecurvesintotalchannelcapacityofsecondaryusersystemwithprobabilityoccupiedbyprimaryusers
本文针对多用户带宽的认知无线电网络,提出基于频谱感知的资源分配协议,并且通过最大化次用户系统的信道容量,求解了各参数的最优结果.理论分析表明,对于主用户占用率低、信道增益大、带宽大、次用户数目多的信道,次用户系统可以得到更大的总信道容量.实验结果表明:优化算法所得的信道容量明显大于未优化的协议,并且通过用户协作可以极大改善感知结果,增加信道容量,提高频谱的利用率.
参考文献(References):
[1] 陈忠,张贤达,丁国如.基于连续感知信息的认知无线电普适性框架 [J].北京邮电大学学报,2015,38(4):101-105.
(CHEN Zhong,ZHANG Xian-da,DING Guo-ru.Continuous sensing information based generalized framework in cognitive radio [J].Journal of Beijing University of Posts and Telecommunications,2015,38(4):101-105.)
[2] Chen Z,Wang X D,Zhang X D.Continuous power allocation strategies for sensing-based multiband spectrum sharing [J].IEEE Journal on Selected Areas of Communications,2013,31(11):2409-2419.
[3] 秦臻,周剑刚,薛峰.最小信道检测开销的协作频谱感知算法 [J].西安电子科技大学学报,2015,42(2):206-212.
(QIN Zhen,ZHOU Jian-gang,XUE Feng.Cooperative spectrum sensing algorithm based on minimum detecting overhead [J].Journal of Xidian University,2015,42(2):206-212.)
[4] 王舒,申滨,黄琼,等.认知无线电最优线性协作宽带频谱感知 [J].信号处理,2014,30(3):328-336.
(WANG Shu,SHEN Bin,HUANG Qiong,et al.Optimal linear cooperative spectrum sensing for wideband cognitive radios [J].Journal of Signal Processing,2014,30(3):328-336.)
[5] Ghasemi A,Sousa E S.Fundamental limits of spectrum-sharing in fading environments [J].IEEE Tran-saction on Wireless Communications,2007,6(2):649-658.
[6] Gong X W,Vorobyov S A,Tellambura C.Optimal bandwidth and power allocation for sum ergodic capacity under fading channels in cognitive radio networks [J].IEEE Transaction on Signal Processing,2011,59(4):1814-1826.
[7] 陈娟,徐力生,徐蒙,等.大坝榔道无线传感器网络节点铺设方法 [J].沈阳工业大学学报,2015,37(1):109-116.
(CHEN Juan,XU Li-sheng,XU Meng,et al.Node placement method for wireless sensor network in dam corridor [J].Journal of Shenyang University of Technology,2015,37(1):109-116.)
[8] 曹学鹏,吕毅博,黄婷婷,等.不同混沌调制方式在基于超宽带系统的体内信道下的性能表现 [J].重庆邮电大学学报(自然科学版),2016,28(1):72-77.
(CAO Xue-peng,LÜ Yi-bo,HUANG Ting-ting,et al.Performance of different DCSK schemes over the UWB in-body channel [J].Journal of Chongqing University of Posts and Telecommunications(Natural Science Edition),2016,28(1):72-77.)
[9] Fan R,Jiang H.Optimal multi-channel cooperative sensing in cognitive radio networks [J].IEEE Tran-saction on Wireless Communications,2010,9(3):1128-1138.
[10] 张贤达.矩阵分析与应用 [M].北京:清华大学出版社,2004:540-547.
(ZHANG Xian-da.Matrix analysis and applications [M].Beijing:Tsinghua University Press,2004:540-547.)
LI Xing-hai1, XIAO Lian2
(1. Modern Educational Technology Center, Huanghe Science & Technology College, Zhengzhou 450063, China; 2. Computer Science College, Zhengzhou Institute of Aeronautical Industry Management, Zhengzhou 450015, China)
Abstract:Aiming at such parameter optimization problems as detection time, power and bandwidth allocation at the fixed channel gains in the cognitive radio network under the multiple cooperative users, the union optimization algorithm for various parameters was proposed. The channel capacity was taken as the object function, and the optimal resource allocation algorithm was given. The results show that the proposed algorithm can achieve the spectrum access, and significantly improve the total channel capacity of secondary user system. In addition, the resource allocation is related to such factors as the probability occupied by primary users, peak transmit power and interference constraint. In the multiple cognitive user network, the more the users participated in cooperation are, the higher the signal to noise ratio (SNR) of receiving signals is, and the larger the total channel capacity of secondary user system is.
Keywords:cognitive radio network; underlay; power allocation; bandwidth allocation; channel capacity; outage probability; false alarm probability; transmit power
doi:10.7688/j.issn.1000-1646.2018.05.14
* 本文已于2018-08-29 14∶04在中国知网优先数字出版. 网络出版地址: http:∥kns.cnki.net/kcms/detail/21.1189.T.20180828.1128.012.html
作者简介:李兴海(1980-),男,河南开封人,讲师,硕士,主要从事无线通信等方面的研究.
基金项目:河南省科技厅科技攻关项目(182102210408,162102210245); 河南省教育厅科学技术研究重点资助计划项目(14A510017); 河南省教育厅科学技术研究项目(15B520037); 郑州市科技局科技攻关项目(20140644).
收稿日期:2017-01-08.
文章编号:1000-1646(2018)05-0558-06
文献标志码:A
中图分类号:TN 919.72
(责任编辑:景 勇 英文审校:尹淑英)