张吉松, 赵颖华
(大连海事大学 道路与桥梁工程研究所, 辽宁 大连 116026)
摘要:为了降低超高性能混凝土中水泥的用量,制备绿色超高性能混凝土,研究了玄武岩纤维对超高性能混凝土力学性能的影响,提出了力学性能最优的低水泥用量超高性能混凝土配合比和玄武岩纤维的最佳掺量.采用粉煤灰和硅灰以不同比例组合作为水泥的替代材料制备超高性能混凝土,分析了添加纤维和不添加纤维试件的和易性、力学性能和微观结构.结果表明,当粉煤灰和硅灰混杂替代水泥比例达50%时,其力学性能与原试件强度相当;掺加0.1%玄武岩纤维的试件其力学性能高于掺加0.2%和0.3%纤维和没有掺加纤维试件的力学性能.
关键词:超高性能混凝土; 低水泥用量; 和易性; 力学性能; 玄武岩纤维; 粉煤灰; 硅灰; 微观结构
超高性能混凝土(UHPC)与普通混凝土相比,具有超高的抗压强度、较好的耐久性能和极低的孔隙率.通常情况下,超高性能混凝土为获得较高的强度,在配合比设计中采用较低的水胶比,同时剔除了粗骨料,因此,每生产1 m3超高性能混凝土需要800~1 100 kg水泥,是普通混凝土水泥需求量的3~4倍.目前,水泥的生产和混凝土的制作所排放的二氧化碳占到了世界总体碳排放的5%~7%.如此巨大的水泥使用量加剧了生态环境的恶化,在某种程度上背离了我国节能减排和低碳可持续的基本原则.因此,如何在大幅度减少水泥用量的前提下,能够生产出具备相同质量的超高性能混凝土,还能保障我国城市化建设工程对混凝土巨大用量的需求,是我国科研工作者面临的一个重要课题[1-3].
Ghafari等[4]利用950 kg/m3水泥和250 kg/m3硅灰制备超高性能混凝土;El-Dieb[5]采用775 kg/m3水泥和135 kg/m3硅灰配制超高性能纤维混凝土;Hassan等[6]对选用657 kg/m3水泥、418 kg/m3矿渣和119 kg/m3硅灰配制的超高性能混凝土进行力学性能分析;Aldahdooh等[7]采用638 kg/m3水泥制备超高性能混凝土获得120 MPa的抗压强度;Yu等[8]为获得抗压强度为105 MPa的超高性能混凝土采用了620 kg/m3水泥.
尽管有大量学者对降低水泥用量做了相关研究,也有部分学者对粉煤灰和硅灰混掺做了相关研究,但由于超高性能混凝土自身的特点有别于普通混凝土,仍然需要给出力学性能最优的掺和比例.同时,添加玄武岩纤维并以大掺量粉煤灰和硅灰作为替代水泥的材料制备超高性能混凝土却鲜有报道.
因此,本文研究的目的是最大限度减少在超高性能混凝土中水泥的用量,采用粉煤灰和硅灰作为替代水泥的主要材料,给出力学性能最优的掺和比例;在试件中加入玄武岩纤维,检验其对超高性能混凝土力学性能的贡献程度,同时给出适用于超高性能混凝土玄武岩纤维的最佳掺量.
本文试验采用大连小野田52.5硅酸盐水泥(符合GB175-2007).砂采用厦门艾思欧标准砂有限公司生产的ISO标准砂,粒径范围为0~2 mm(D10=320 μm,D50=930 μm,D90=1 600 μm).高效减水剂采用青岛虹夏生产的聚羧酸减水剂,白色粉末状,减水率为30%.玄武岩纤维长度为12 mm,弹性模量为93~110 GPa,抗拉强度为4 100~4 800 MPa.粉煤灰和硅灰作为替代水泥的主要材料,其微观形态如图1所示,其物理和化学性能如表1所示.

图1粉煤灰和硅灰SEM图片
Fig.1SEMimagesofflyashandsilicafume表1原材料性能
Tab.1Propertiesofrawmaterials

配合比的设计如表2所示.以试件FA30SF10为例,FA30表示30%的水泥被粉煤灰替代,SF10表示10%的水泥被硅灰替代,以此类推,共设计4组试件,同时每组试件均添加玄武岩纤维,含量分别为0%、0.1%、0.2%和0.3%.
JJ-5型水泥砂浆搅拌机用于超高性能混凝土的搅拌.先将所有粉末状原材料和砂干拌均匀,然后在慢速搅拌(140 rpm)过程中逐渐加入水,直到加入总用水量75%,慢速搅拌1 min,再逐步加入其余25%的水和减水剂,当混凝土进入粘稠状态后,加入纤维,快速搅拌(285 rpm)1.5 min,搅拌完成.将混合料浇筑在40 mm×40 mm×160 mm的模具中振动1 min,24 h后拆模,放入标准养护室进行养护((20±2) ℃,RH>90%).
表2配合比设计
Tab.2Designformixtureproportion

试件经过养护时间7、28、90和365 d后,根据BS EN 196-1[9]进行力学性能测试,抗弯试件的尺寸为40 mm×40 mm×160 mm,跨距为100 mm,加载速度为50 N/s,每组3个试件,取其平均值;对抗弯破坏后产生的两部分进行抗压试验,加载速度为2 400 N/s,每组6个试件,取其平均值.SEM分析采用德国蔡司扫描电镜,在硬化后的试件上切割出10 mm×10 mm×10 mm的样品,在酒精中浸泡24 h停止水化并烘干,在测试的表面喷金后进行观察,每个样品放大倍数从5千倍至5万倍共拍摄4张图片.孔径分布测试采用美国ASAP 2020全自动比表面积及中孔/微孔分析仪,测试前将样品取出1.7~2.5 g的块体进行测试,直接读出试验数据.
为了使每一组试件的扩展度控制在250~280 mm之间,得到每一组试件所需的减水剂用量如图2所示.

图2减水剂用量
Fig.2Superplastisizerdosage
由图2可知,随着粉煤灰和硅灰添量的增加,减水剂的需求量逐渐增加,其主要原因为:
1) 粉煤灰从微观形态上看其形状较不规则,呈现多边形形态,在一定程度上影响其流动性,因此需要更多的水或减水剂保持流动状态.
2) 硅灰的粒径较小,同时其颗粒的微观形态为球形,虽然可以在某种程度上起到润滑的作用,但由于其添量较大,总的平均比表面积增加较大,也需要较多的水或减水剂使其具有良好的分散性能.
3) 拌合物总体的需水量取决于其混杂材料总的比表面积.本试验采用的硅灰、粉煤灰和水泥的比表面积分别为21.7、0.41和0.35 m2/g,当采用30%粉煤灰+10%硅灰时,其总的换算比表面积为2.50 m2/g.而当采用30%粉煤灰+20%硅灰时,其总的换算比表面积为4.64 m2/g.
试件在养护7、28、90和365 d后的抗折强度如图3所示.

图3各龄期抗折强度
Fig.3Flexuralstrengthatdifferentages
由图3可知,用粉煤灰替代水泥30%以后,其抗折性能有所下降;但在此基础上添加硅灰,其抗折性能先上升后下降.在所有粉煤灰和硅灰混杂的试件中,C3(30%粉煤灰+10%硅灰)各龄期抗折强度最高,其365 d的抗折强度为19.8 MPa,而此时C1(参考试件)的抗折强度为20.1 MPa.需要注意的是,C4(30%粉煤灰+20%硅灰)各龄期抗折强度最低,说明硅灰的最佳替代掺量为20%以下.
此外,添加玄武岩纤维的试件其28 d的抗折强度如图4所示.

图4含纤维试件28d抗折强度
Fig.4Flexuralstrengthofsampleswithfibersat28thday
由图4可知,掺加玄武岩纤维的试件对其抗折强度的贡献不是十分明显.对于每组试件,掺加0.1%玄武岩纤维的试件抗折强度最高;随着纤维含量增加至0.2%或0.3%,其抗折能力与素混凝土试件相比类似,在某些时候甚至有下降的趋势,其主要原因为适当的纤维添加比例可以增加混凝土的密实度,而过多的纤维添加使其孔隙率增大,导致其抗折强度提高不明显或者略有下降.
试件在养护7、28、90和365 d后的抗压强度如图5所示.

图5各龄期抗压强度
Fig.5Compressivestrengthatdifferentages
由图5可知,水泥替代试件C2、C3、C4的28 d抗压强度整体上均与C1接近.其中,C3的28 d抗压强度为113 MPa,而此时C1的28 d抗压强度为114 MPa;从整体上看,抗压强度增长的总体趋势类似于抗折强度,但C4试件的抗压强度与抗折强度不同,其后期强度增加较大,未出现明显低于其他试件的情况.
一般情况下,混凝土中胶凝材料的CaO/SiO2比率对强度有较大影响,根据文献[10],其强度最优的比率约为1.3.本文试验中从C1至C4的CaO/SiO2比率依次为2.46、1.21、1.02和0.71.然而,由图5可知,C2各龄期的抗压强度并不高,均低于同龄期其他试件的抗压强度.因此,在今后预测混凝土的抗压强度时,除了需要考虑胶凝材料的CaO/SiO2的比率以外,还要综合考虑其他因素,例如混合材料的Al/Si或Ca/(Si+Al)等的比率.
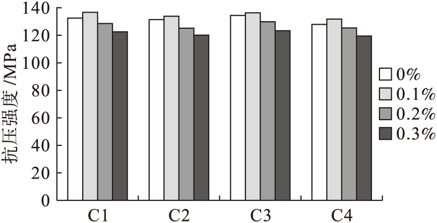
添加玄武岩纤维的试件其28 d的抗折强度如图6所示.

图6含纤维试件28d抗压强度
Fig.6Compressivestrengthofsampleswithfibersat28thday
由图6可知,添加玄武岩纤维试件的抗压强度增长趋势类似于抗折试件.掺加0.1%的玄武岩纤维试件的抗折强度高于添加0.2%和0.3%纤维和素混凝土试件.由此可知,对于超高性能混凝土,0.1%的玄武岩纤维是力学性能较优的掺量.
为了验证某种材料替代水泥的效率,可以用等效系数k值来表示.某种材料的k值越接近于1,代表其越等同于水泥的效果.将某种材料的用量乘以k值即为相应的水泥用量.因此,k值可以表示为
k=1+(fMA/fc-1)/p
(1)
式中:fMA为添加替代材料后试件的抗压强度;fc为未添加替代材料试件的抗压强度;p为替代水泥的百分比.根据文献[11-12],硅灰的水泥等效系数k值为2.0~2.3,粉煤灰的水泥等效系数k值为0.4.然而,这些k值仅仅考虑一种替代材料,含有2种及以上替代材料的等效系数k值未见报道.因此,根据本文试验结果,计算出了以粉煤灰为基础,含有硅灰混杂的等效系数k值,结果如表3所示.
表3替代材料的等效系数
Tab.3Equivalentfactorsforalternativematerials

由表3可知,各龄期k值最高的组为C3,即30%粉煤灰+10%硅灰组,变化范围为0.99~1.02;其次为C4和C2组.可以看出在这些组中,尽管替代水泥的比率已经高达40%~50%,但其抗压强度十分接近于参照试件(即未含有替代材料的试件),甚至某些情况下高于参照试件,其力学性能在可以接受的范围内,但节省下的水泥用量和减少的碳排放量是可观的.
试件的微观结构采用SEM电镜扫描和ASAP 2020测试孔径分布.SEM扫描后的图片如图7所示.

图7试件SEM图片
Fig.7SEMimagesofsamples
由图7a可以看出,未替代水泥试件C1微观结构较为密实,同时肉眼可见的孔洞很少,因此其力学性能较为优秀;由图7b可以看出,该组因添加大量粉煤灰后有局部微小孔洞,微观结构不如图7a密实,其力学性能表现一般;由图7c可以看出,该组呈现大块状基体,微观结构也较为密实,在替代水泥所有组中的抗压强度最接近参考试件,其28 d的抗压强度为113 MPa,十分接近参照试件C1的114 MPa;由图7d可以看出,该组有肉眼可见的大孔洞,同时其基体相对没有图7a、c密实,直接导致其抗折和抗压强度较低,因此其总体的抗折和抗压强度在所有替代水泥试件中处于较低水平,其365 d的抗折强度为16.9 MPa,低于参照试件C1的20.05 MPa.
根据文献[13-15],BJH方法是一种量化微孔的有效方法,其原理为
Dp=2(Rp+Tlayer)
(2)
Tlayer=3.54[-5.00/ln(p/p0)]0.333
(3)
式中:Dp为孔径;Rp为孔径的比表面积;Tlayer为吸附层的厚度;p/p0为相对压力.
表4给出了经过ASAP 2020测试的孔径分布数据.由表4可知,添加替代材料的超高性能混凝土的孔隙体积较低,整体上比较密实;同时,每组试件的总孔隙体积与其抗压强度吻合度较高,即抗压强度最高的试件具有最低的孔隙体积和面积.以C3为例,其365 d抗压强度fcu为135 MPa,其总孔隙体积为0.005 6 cm3/g.因此,BJH方法可以有效地量化超高性能混凝土的孔径分布.
本文为最大限度降低超高性能混凝土中的水泥用量,采用粉煤灰和硅灰为替代水泥材料,以不同比例混杂,并添加了玄武岩纤维,研究了其和易性、力学性能和微观结构,得出的结论如下:
1) 用30%的粉煤灰替代水泥后超高性能混凝土的抗折和抗压性能均有所下降,然而在此基础上,添加一定比例的硅灰可以补充其力学性能上的损失,达到未替代水泥试件的水平.
2) 用30%粉煤灰+10%硅灰替代水泥的试件,其抗压和抗折强度最高,并且最接近于参照试件.抗压强度最优的配合比例为:30%粉煤灰+10%硅灰(365 d的k值为1.00),或30%粉煤灰+20%硅灰(365 d的k值为0.99).
3) 在超高性能混凝土中掺加玄武岩纤维并不能显著提高其力学性能.然而,掺加0.1%玄武岩纤维试件的抗折强度和抗压强度,高于掺加0.2%、0.3%纤维和素混凝土试件的相应强度.
表4试件孔径分布
Tab.4Poresizedistributionofsamples

4) SEM形态和孔径分布测试与抗压强度的测试结果吻合较好.抗压强度较高的试件具有较密实的微观形态和较低的孔隙体积.BJH方法可以有效地量化超高性能混凝土的孔径分布,作为辅助分析的手段.
5) 在今后选择水泥的替代材料时,除了需要考虑混凝土中替代材料总体的CaO/SiO2的比率,还要综合考虑其他因素,例如Al的贡献程度,Al/Si或Ca/(Si+Al)的比率等因素作为参考.
参考文献(References):
[1] Shafieifar M,Farzad M,Azizinamini A.Experimental and numerical study on mechanical properties of ultra high performance concrete (UHPC) [J].Construction and Building Materials,2017,156:402-411.
[2] Yu R,Spiesz P,Brouwers H J H.Mix design and pro-perties assessment of ultra-high performance fibre reinforced concrete (UHPFRC) [J].Cement and Concrete Research,2014,56:29-39.
[3] Shi C,Wang D,Wu L.The hydration and microstructure of ultra high-strength concrete with cement-silica fume-slag binder [J].Cement and Concrete Compo-sites,2015,61:44-52.
[4] Ghafari E,Costa H,Júlio E,et al.The effect of nanosilica addition on flowability,strength and transport properties of ultra high performance concrete [J].Materials & Design,2014,59(6):1-9.
[5] El-Dieb A S.Mechanical,durability and microstruc-tural characteristics of ultra-high-strength self-compacting concrete incorporating steel fibres [J].Materials & Design,2009,30(10):4286-4292.
[6] Hassan A M,Jones S W,Mahmud G H.Experimental test methods to determine the uniaxial tensile and compressive behaviour of ultra-high performance fibre reinforced concrete (UHPFRC) [J].Construction and Building Materials,2012,37:874-882.
[7] Aldahdooh M A,Bunnori N M,Johari M A.Evaluation of ultra-highperformance-fiber reinforced concrete binder content using the response surface method [J].Materials & Design,2013,52(24):957-965.
[8] Yu R,Spiesz P,Brouwers H J H.Development of ultra-high performance fibre reinforced concrete (UHPFRC):towards an efficient utilization of binders and fibres [J].Construction and Building Materials,2015,79:273-282.
[9] British Standards Institution.BS EN 196-1 Methods of testing cement:part 1:determination of strength [S].London:European Committee for Standardization,2005.
[10] Wang D,Shi C,Wu Z.A review on ultra high performance concrete:part Ⅱ:hydration,microstructure and properties [J].Construction and Building Materials,2015,96:368-377.
[11] Le H T,Müller M,Siewert K,et al.The mix design for self-compacting high performance concrete containing various mineral admixtures [J].Materials & Design,2015,72(26):51-62.
[12] Zhang J S,Zhao Y H.The mechanical properties and microstructure of ultra-high performance concrete containing various supplementary cementitious materials [J].Journal of Sustainable Cement-Based Materials,2016,6(4):254-266.
[13] Liu F,Wang J,Qian X.Integrating phase change materials into concrete through microencapsulation using cenospheres [J].Cement and Concrete Composites,2017,80:317-325.
[14] 张延年,柳成林,李玉兵,等. 基于可拓学的混凝土双曲拱桥上部结构可靠性评价 [J].沈阳工业大学学报,2015,37(3):335-341.
(ZHANG Yan-nian,LIU Cheng-lin,LI Yu-bing,et al.Reliability of assessment for superstructure of concrete double-curved arch bridge based on extenics [J].Journal of Shenyang University of Technology,2015,37(3):335-341.)
[15] Quercia G,Lazaaro A,Geus J W,et al.Characterization of morphology and texture of several amorphous nano-silica particles used in concrete [J].Cement and Concrete Composites,2013,44(11):77-92.
ZHANG Ji-song, ZHAO Ying-hua
(Institute of Road and Bridge Engineering, Dalian Maritime University, Dalian 116026, China)
Abstract:In order to reduce the cement amount in ultra-high performance concrete (UHPC) and prepare the green UHPC, the effect of basalt fibers on the mechanical properties of UHPC was investigated, and the mixing proportion of UHPC with the optimum mechanical properties and low cement amount and the optimal content of basalt fibers were proposed. The UHPC was prepared through taking the fly ash (FA) and silica fume (SF) with different proportions as the alternative materials of cement, and the workability, mechanical properties and microstructures of UHPC with and without basalt fibers were investigated. The results show that when the cement replacement proportion by the mixture of FA and SF is 50%, the samples exhibit the equivalent mechanical properties, compared with the original sample. Furthermore, the samples with the addition of 0.1% basalt fibers have better mechanical properties than the samples with adding 0.2% and 0.3% basalt fibers as well as the samples without adding basalt fibers.
Keywords:ultra-high performance concrete; low cement content; workability; mechanical property; basalt fiber; fly ash; silica fume; microstructure
doi:10.7688/j.issn.1000-1646.2018.05.20
* 本文已于2018-08-30 10∶15在中国知网优先数字出版. 网络出版地址: http:∥kns.cnki.net/kcms/detail/21.1189.T.20180828.1835.032.html
作者简介:张吉松(1983-),男,辽宁鞍山人,讲师,博士,主要从事超高性能混凝土等方面的研究.
基金项目:国家自然科学基金资助项目(51178068).
收稿日期:2016-09-26.
文章编号:1000-1646(2018)05-0595-06
文献标志码:A
中图分类号:TU 502.6
(责任编辑:钟 媛 英文审校:尹淑英)