风能是一种清洁的、可再生的能源,适合我国日益增长的能源需求[1].近年来,风力发电在我国经历了稳步增长阶段,我国六大区域(华北、西南、华中、西北、中南和东北)的风电新增装机容量均保持增长态势,风电产业的总装机容量从2009年的2 580万千瓦变为2016年的92 981万千瓦,2016年的新增装机容量甚至高达14 536万千瓦[2-3].随着人们对环境和清洁能源的不断追求,未来几年仍会保持增长态势,装机容量与风机规模也会逐渐增加[4-6].
风机已经从较简单的设计发展到复杂的多兆瓦发电机组,并安装在名为“风电场”的大型阵列中[7].现代风力发电机组的复杂性使得控制系统在风力发电机组中的作用越发重要,以确保复杂的风能转换系统安全和高效地运行[8-10].
为了应对风电大规模并网所带来的挑战,国际上诸多学者和机构也对风电并网展开了大量而深入的研究[11-12].如2007年欧洲多家输电网公司成立了旨在加强风电并网研究的相关研究小组——EWIS[13-14];文献[15]建立了一种具有代表性的风电并网等效模型,但该模型比较简单且未考虑变流器的实际工作情况,具有一定的局限性;文献[16]将Park变换引入到双馈感应电机模型中,大幅简化了双馈发电机数学模型的求解过程;文献[17]针对风电并网后电网的可靠性问题进行了相关研究,借助蒙特卡罗采样算法建立了用于电网可靠性分析的DFIG模型.
然而,这些基于局部信息和静态安全防御的电力控制系统和保护模型已无法满足大功率机组、超高压、远距离和大电网的系统控制、防御以及安全保护的要求[18].因此,必须采用基于全球定位系统和广域量测系统的网络化电力控制和保护策略.该种网络化控制系统将控制器与被控对象分离,简化了控制系统的设计并增强了系统的可靠性和稳定性[19].该系统利用现场传感器、执行器和各种控制器间的相互交流,通过网络实时反馈被控对象的信息[20].
基于以上分析,本文提出了一种基于网络化控制模型的风机并网控制策略,并构建了网络控制系统及并网风机的模型,实现了并网风机的鲁棒.该策略创新性地将网络化控制方法应用到风电并网调度和控制中,具有不确定、时变以及有上界的特点.
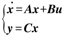
电力系统网络化控制即采用全球定位系统和广域量测系统来改进与控制电力系统,使其朝着更稳定、更安全和更可靠的方向发展.可以从计算机控制的角度将网络化控制系统看作一个具有时延的数字化采样系统,图1为网络化控制系统结构框图.图1中,从传感器到控制器的网络传输时延和从控制器到执行器的网络传输时延分别记为τsc和τca.
令网络化控制系统的总时延为τ=τsc+τca,则带有时延的网络化控制系统可表示为

图1 网络化控制系统结构框图
Fig.1 Block diagram of structure of networked control system
(1)
式中:v(t)、w(t)为互不相关的均值为零的白噪声;x(t)为控制目标;u(t)为单位阶跃函数;A、B、C为系统矩阵.对式(1)的一个采样周期T进行积分,可得离散状态空间模型,即

(2)
式中:G=eAT;H=
eBTdt;H1=
eBTdt.
由于网络控制系统具有单包传输和多包传输两种模式,本文分别对这两种传输模式下的网络化控制系统进行建模.
当网络控制系统使用单包传输模式传输数据时,离散化网络控制系统可表示为
Z(k+1)=ΦZ(k)+ΓD(k)
(3)
式中:


当网络控制系统使用多包传输模式传输数据时,采用开关模型等效网络控制系统.令传感器节点的输出量为
控制器节点的输出量为
则有
⋮
令系统增广矩阵为
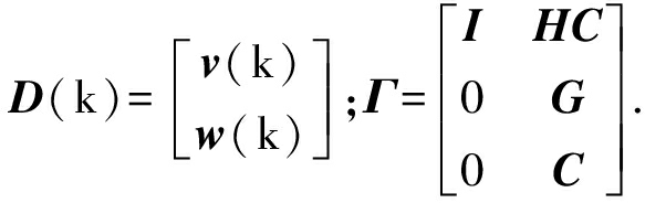
系统噪声为D(k)=[vT(k),wT(k)]T,可得到系统的模型,即
Z(k+1)=ΨZ(k)+YD(k)
(4)
式中:
为时变矩阵,M、N为与A的特征值和特征向量相关的常数矩阵;
网络化控制系统使得电力系统的大范围功率变换和广域互联成为可能,给电力系统带来了巨大的变革.然而,当电力系统功率过剩时,需要限制风机的输出功率,使其低于额定功率,并运行于向下功率调节模式.由于现代风机组采用的是分区运行策略,无法控制风机运行于向下功率调节模式,故需要发出调度指令来控制风机的运行.因此,本文先研究并网风机的网络化控制模型,再设计其网络化控制策略.
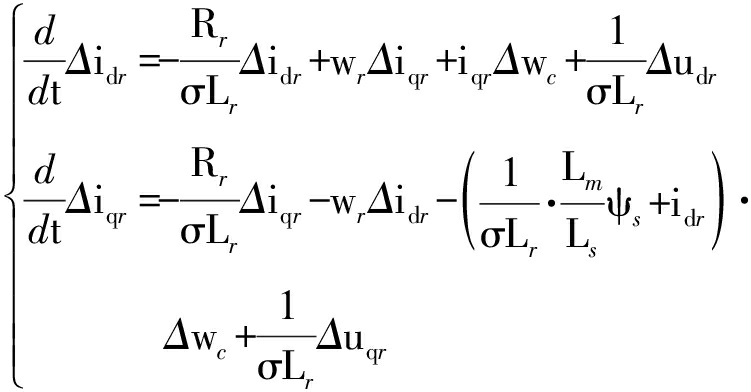
通过调度中心发出指令控制风机的运行,当需要风机运行在向下功率调节模式时,永磁直驱风机在d-q坐标系下的数学模型可表示为

(5)
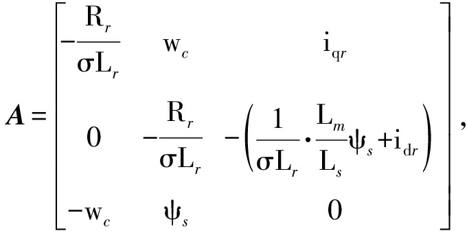
式中:udr、idr分别为d轴定子电压和电流;uqr、iqr分别为q轴定子电压和电流;Rr为定子电阻;wc为电角速度;wr为机械角速度;σ为漏感常数;ψs为永磁体的磁链;Lm和Ls分别为转子与定子绕组自感;Lr为等效转子绕组自感.可以得到有小信号扰动时的并网风机的连续模型,即
(6)
式中,A、B、C为系统矩阵,其值分别为


得到并网风机的连续模型后,假设传感器节点和控制器节点分别采用时钟驱动模式和事件驱动模式,采样周期为T,网络时延为τ,且满足0≤τ≤T,可得离散模型,即

(7)
式中,R1、R2分别为外部扰动的输入和输出矩阵.式(7)经过化简后可得

(8)
式中:F(τ)为时延τ的时变矩阵,满足FT(τ)F(τ)≤I;E为与A的特征值和特征向量相关的常数矩阵.
式(8)给出了并网型风机的离散控制模型,则反馈控制规律可表示为
uk=Kxk
(9)
式中,K为相应维数的矩阵.有外部扰动的并网型风机的网络化闭环控制模型为
xk+1=Gxk+(M+DF(τ)E)Kxk+
(N-DF(τ)E)Kxk-1+R1vk
(10)
对于式(10)所示的闭环控制系统,存在具有诱导时变、有上界和不确定的并网风机鲁棒控制规律,即
uk=SX-1xk
(11)
式中,S和X为具有相应维数的正定对称矩阵.
现证明其有效性,对于离散Lyapunov函数
其中,P、Q为大于0的对应维数的矩阵,且有
ΔVk=Vk+1-Vk=
(G+(M+DFE)K)xk+
![]()
式中,![]()
当Ξ<0时,有ΔVk<0,由文献[21]可知系统是鲁棒且稳定的,则有
⟺
⟺
根据Schur补引理可知

(12)
因此,当满足式(12)所示的不等式时,系统是鲁棒且稳定的.
为了验证鲁棒控制器的有效性,本文采用数值的手段对风机并网系统进行仿真测试.文中使用的仿真系统采样周期为T=1s,网络时延τ∈[0,1],风机的具体参数如表1所示,其中,Rs为转子电阻.
表1 风机仿真参数
Tab.1 Simulation parameters for wind turbine

Rs/ΩRr/ΩLs/HLr/HLm/H0.00750.0053.072.85.05
根据表1和式(8)可得


C=[0,1.889,0],





将上述式子代入式(10),并求解式(11),则有


故可以得到并网风机的网络化控制系统的鲁棒控制规律,即

取并网风机的网络化控制系统的初始状态为(x1,x2,x3)T=(0.3,0.2,0.1)T,测试具有网络时延的并网可控制效果,结果如图2~5所示.由图2~4可以看出,网络控制系统的状态在偏离当前运行状态后,虽各变量的响应曲线各不相同,但经过一段时间的振荡后均将逐渐趋于稳定状态.由图5可以看出,并网风机的输出在偏离当前运行状态后,经过一段时间的振荡也将逐渐趋于稳定状态.图6为无网络时延时系统的输出响应曲线.由图6可以看出,y在本文控制策略的作用下能快速首先到达平衡点.对比图5、6的结果可知,本文设计的控制策略具有鲁棒性,且能处理有网络时延的网络化控制系统的控制问题,满足了现代电网对风机运行与调节模式的要求.

图2 系统状态x1的时间响应曲线
Fig.2 Time response curve of system state x1

图3 系统状态x2的时间响应曲线
Fig.3 Time response curve of system state x2

图4 系统状态x3的时间响应曲线
Fig.4 Time response curve of system state x3

图5 系统输出y的时间响应曲线
Fig.5 Time response curve of system output y
本文提出了一种基于网络化控制模型的风机并网控制策略,构建了网络控制系统和并网风机模型,实现并网风机的鲁棒.首先,运用网络化控制手段来解决远程控制风机运行于向下功率调节模式的问题;其次,针对具有时延的并网型风机系统建立了网络化控制模型,并提出了一种鲁棒的控制策略;最后,使用数值方式进行了仿真测试.

图6 无网络时延时系统输出y的时间响应曲线
Fig.6 Time response curve of system output y without network delay
结果表明,本文设计的控制策略具有鲁棒性,且能处理有网络时延的网络化控制系统的控制问题.本文所提出的并网风机控制策略创新性地将网络化控制方法应用到风电并网调度和控制中,具有不确定、时变以及有上界的特点.
[1] Choi J W,Heo S Y,Kim M K.Hybrid operation stra-tegy of wind energy storage system for power grid frequency regulation [J].IET Generation Transmission & Distribution,2016,10(3):736-749.
[2] Hussain J,Mishra M K.Adaptive maximum power point tracking control algorithm for wind energy conversion systems [J].IEEE Transactions on Energy Conversion,2016,31(2):697-705.
[3] Abdelrahem M,Hackl C,Zhang Z,et al.Sensorless control of permanent magnet synchronous generators in variable-speed wind turbine systems [C]//Sacramento:Power and Energy Student Summit.Aachen,Germany,2016:1-8.
[4] 罗德荣,姬小豪,廖武,等.海上风电VSC-HVDC系统的直接功率控制 [J].电力系统及其自动化学报,2016,28(6):43-48.
(LUO De-rong,JI Xiao-hao,LIAO Wu,et al.Direct power VSC-HVDC of offshore wind power control system [J].Proceeding of the CSU-EPSA,2016,28(6):43-48.)
[5] Xing P,Fu L,Wang G,et al.A compositive control method of low-voltage ride through for PMSG-based wind turbine generator system [J].IET Generation Transmission & Distribution,2018,12(1):117-125.
[6] 杜川,付会凯.基于励磁调压特性的交流同步电机强励控制 [J].沈阳工业大学学报,2017,39(2):127-131.
(DU Chuan,FU Hui-kai.Forced excitation control of AC synchronous motor based on excitation regulation characteristics [J].Journal of Shenyang University of Technology,2017,39(2):127-131.)
[7] Mobarak M H,Abdelrahem M,Stati N,et al.Model predictive control for low-voltage ride-through capability improvement of variable-speed wind energy conversion systems [C]//2016 International Symposium on Industrial Electronics (INDEL).Banja Luka,Bosnia Herzegovina,2016:1-6.
[8] Qiu Y,Jiang H,Feng Y,et al.A new fault diagnosis algorithm for PMSG wind turbine power converters under variable wind speed conditions [J].Energies,2016,9(7):548-557.
[9] 邢小文,孟洪民,谢利理.大惯量风力发电系统功率波动平抑控制策略综述 [J].华北电力大学学报,2018,45(1):31-38.
(XING Xiao-wen,MENG Hong-min,XIE Li-li.Reviews on power smoothing control strategies for large-inertia wind turbine generation system [J].Journal of North China Electric Power University,2018,45(1):31-38.)
[10] Thitichaiworakorn N,Hagiwara M,Akagi H.A medium-voltage large wind turbine generation system using an AC/AC modular multilevel cascade converter [J].IEEE Journal of Emerging & Selected Topics in Power Electronics,2016,4(2):534-546.
[11] Wu C,Liu R,Wang J,et al.A spring-based resonance coupling for hugely enhancing the performance of triboelectric nanogenerators for harvesting low-frequency vibration energy [J].Nano Energy,2016(9):811-827.
[12] Zhan H,Zhu Z Q,Wu Z Z.Active voltage regulation of partitioned stator switched flux permanent magnet generator supplying isolated passive load [C]//2016 IEEE Energy Conversion Congress and Exposition (ECCE).Milwaukee,USA,2016:1-8.
[13] Bassi H,Mobarak Y.State-space modeling and performance analysis of variable-speed wind turbine based on a model predictive control approach [J].Engineering,2017,7(2):1436-1443.
[14] 肖雅丽,方瑞明,李文彭.双馈感应风力发电系统状态监测方法综述 [J].电网与清洁能源,2012,28(3):67-73.
(XIAO Ya-li,FANG Rui-ming,LI Wen-peng.Overview of the condition monitoring method for doubly-fed induction wind power generation systems [J].Power System and Clean Energy,2012,28(3):67-73.)
[15] 熊宁,朱文广,程虹,等.基于UPFC风力发电系统控制优化研究 [J].现代电子技术,2017,40(7):131-134.
(XIONG Ning,ZHU Wen-guang,CHENG Hong,et al.Optimization study on wind power generation system control based on UPFC [J].Modern Electro-nics Technique,2017,40(7):131-134.)
[16] Yuvarajan S,Wang L.Power conversion and control using a current sensing power MOSFET [C]//Proceedings of the 34th Midwest Symposium on Circuits and Systems.Monterey,USA,1991:166-169.
[17] Pena-Alzola R,Perez J R,Bueno E,et al.Robust active damping in LCL-filter based medium-voltage pa-rallel grid-inverters for wind turbines [J].IEEE Transactions on Power Electronics,2018,33(12):1-12.
[18] 郝红岩,刘大贵,孙谊媊,等.基于双馈机组的风电场对电网暂态电压稳定的影响研究 [J].新疆电力技术,2016(1):7-11.
(HAO Hong-yan,LIU Da-gui,SUN Yi-qian,et al.Research on the influence of wind farm on transient voltage stability of power grid based on doubly fed generator [J].Xinjiang Electric Power Technology,2016(1):7-11.)
[19] 孙颖,张建成.光伏电源利用直流
同步电机并网控制方法的研究 [J].电力系统保护与控制,2016,44(16):78-83.
(SUN Ying,ZHANG Jian-cheng.Research on grid connected control method of DC synchronous motor for photovoltaic power supply [J].Power System Protection and Control,2016,44(16):78-83.)
[20] 陈颂,王丰华,高强.新型永磁风力发电机控制策略的仿真研究 [J].电网与清洁能源,2014,30(12):132-138.
(CHEN Song,WANG Feng-hua,GAO Qiang.Simulation study of the control strategies for a novel permanent magnet generator based wind turbine [J].Power System and Clean Energy,2014,30(12):132-138.)
[21] 张树东,朱大为,刘闯,等.交直流混合配电型通用功率变换器(UPC)研究 [J].电力系统保护与控制,2016,44(1):48-55.
(ZHANG Shu-dong,ZHU Da-wei,LIU Chuang,et al.Study on AC/DC hybrid power converter (UPC) [J].Power System Protection and Control,2016,44(1):48-55.)