目标定位为计算机视觉领域的重要技术,被广泛应用于体育运动信息图像分析中.在篮球比赛中,受到篮球快速移动及复杂背景的影响,很难有效实现篮球定位[1-2].
近年来,有关运动图像定位的研究很多,并取得了一定的研究成果.如依据颜色空间进行运动图像定位,该方法具备一定的鲁棒性,但计算复杂度较高,受外界环境的干扰大,不适于实际应用[3-4];依据线性加权实现运动图像定位时,利用线性加权把视觉特征值融合至目标定位中,可以有效实现定位,但针对复杂运动图像存在偏差,定位准确性较低[5].
本文提出一种新的篮球运动快速位移图像自适应定位方法.对图像互能量谱进行反转换获取冲击函数,得到背景运动偏移量,并对其进行补偿.为了避免空洞现象的出现,依据灰度阈值技术,通过变背景帧间差分法对背景模板和当前帧篮球运动图像进行差分,获取当前帧快速位移区域.在此基础上,将种子像素当成生长的起点,把种子像素邻域中和种子像素相似的像素聚集在种子像素所处区域中,把新像素看作新的种子像素,得到包含快速位移目标的区域完成定位.为了防止丢帧误差出现,本文通过异常值采集法对丢帧误差进行消除.
在篮球运动图像出现快速位移的情况下,若能求出其位移量即可达到图像匹配的目的,为篮球运动快速位移图像自适应定位提供依据[6].假设篮球运动图像g2(x,y)是图像g1(x,y)移动(x0,y0)距离后的图像,即g2(x,y)=g1(x-x0,y-y0),则相应傅里叶变换F1与F2之间的关系可描述为
F2(x,y)=e-j2π(x0+y0)F1(x,y)
(1)
针对M×M图像gi(k,l),求N×N傅里叶变换[7]可得
这里N≥M,![]()
两帧篮球运动图像互能量谱可描述为
(2)
式中,
为F2的共轭[8].互能量谱的相位为图相间的相位差[9],对式(2)进行傅里叶反转换则有
F-1(H(x,y))=F-1(ej2π(x0+y0))=
λ(x-x0,y-y0)
(3)
完成对互能量谱的反转换可获取冲击函数,在两幅篮球运动图像出现偏移的情况下,该函数会出现显著的尖锐峰值,从而获取背景运动偏移量.
背景差分法通过背景模板和当前帧篮球运动图像进行差分,获取当前帧快速位移区域,若当前帧背景像素出现很大改变,通常会失去检测区域[10];帧间差分法对相邻两帧进行差分处理,受光照等干扰较小,然而无法采集快速移动目标相关的特征像素点,在很大程度上会出现空洞现象[11-12].本文依据灰度阈值技术提出变背景帧间差分法.
首先对篮球视频图像进行截取,并对其进行灰度化处理,获取的图像像素总量用G表示.读入初始帧灰度图像g(xi,0),将其看作背景图像,其中{xi}代表序列化灰度像素点(i=1,2,…,G).
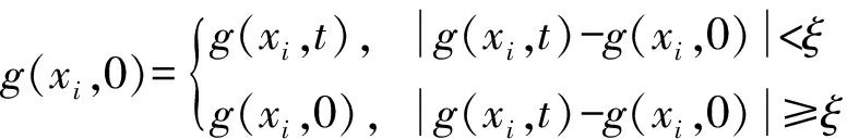
选取某一时刻篮球运动灰度图像g(t)作为背景图像,获取灰度化阈值运动目标序列为
(4)
式中,ξ为差分阈值,取值范围为[0,255].为了降低篮球运动图像相邻两帧间可能出现的背景光纤变化等噪声干扰,在两帧间像素插值低于ξ的情况下,假设目标值是0;在差值高于ξ的情况下,认为是快速位移图像区域.
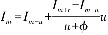
若要使背景随快速位移目标的运动逐渐改变,需完成对背景模板的更新处理,新背景模板包括当前帧背景点与被遮挡原背景帧像素点.计算公式为
(5)
通过上述过程对篮球运动快速位移图像目标区域进行检测,为目标定位提供依据.
篮球运动快速位移图像定位即是通过对快速位移目标的最小框标识,为后续目标跟踪提供依据.
通过区域生长法实现篮球运动快速位移图像自适应定位[13],在篮球运动区域检测的基础上,将种子像素当成生长的起点,把种子像素邻域中和种子像素相似的像素聚集在种子像素所处区域中,把新像素看作新的种子像素,重复上述过程,直至无符合条件的像素可被选择,则表示完成了对快速位移目标的定位.
假设获取的首个亮点在检测篮球运动区域的(i0,j0)处,对(i0,j0)进行记录,得到的B(i0,j0)即为种子像素的灰度值.将(i0,j0)看作中心,对其相邻像素进行检测,依据设定的阈值β对种子像素和其相邻像素是否可合并进行判断.如果
则表明B1(i1,j1)是快速位移目标的一部分;反之,停止迭代.在s1<β的情况下,对(i1,j1)进行记录,令B1(i0,j0)=0,在(i1,j1)相邻区域继续搜寻合并像素;在sl≥β的情况下,停止搜寻,对当前(il,jl)进行记录.
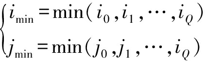
当前获取的篮球运动快速位移目标位置记作{(i0,j0),(i1,j1),…,(iQ,jQ)},其中Q=l-1,获取(i,j)中的最大值和最小值为
(6)
(7)
获取包含快速位移目标的最小框,其范围在{(i,j)|imin≤i≤imax,jmin≤j≤jmax}内.
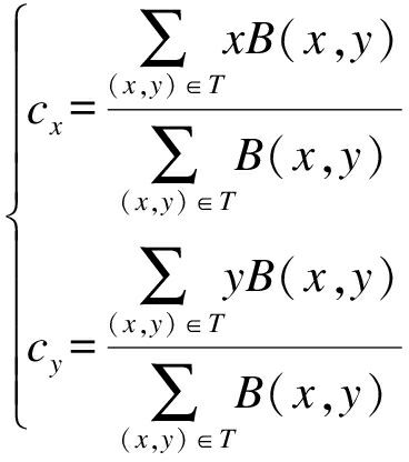
在上述分析的基础上,按照中心计算公式获取目标中心,实现篮球运动快速位移图像自适应定位,即

(8)
式中:T为篮球运动快速位移图像目标最小区域;B为二值化的灰度值.
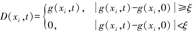
篮球运动快速位移图像在采集、匹配及后续处理经历的流程很多,可能导致丢帧误差出现.本节通过异常值采集法对丢帧误差进行消除[14],通常在采集图像时,拍摄频率较短,相邻两幅图像运动参数出现改变时需保证其一直处于一定范围内.按照篮球运动快速位移图像产生的频率得到相邻两帧运动参数间差值的最高值,记作Δ,通过第Im+r帧运动参数是否满足式(9)对该帧是否存在异常进行判断,即
Im+r<Im+r<Im+rΔ
(9)
式中:Im为第m帧篮球运动快速位移图像运动模糊参数;r为常数,一般取5.
若判定某帧出现异常,利用插值法对异常值进行修正,即
(10)
把u=φ=1代入式(10),如果Im-1或Im+1仍为异常值,则把u和φ加1继续求解,直至得出非异常值.
为了验证本文提出方法的有效性,在Windows 2003环境下,通过VC++6.0与MATLAB对程序进行开发,并进行仿真实验.
实验使用尺寸是450×500的篮球运动快速位移图像序列,采用本文方法对篮球目标进行定位.实验设置篮球位移图像目标最小区域T为384×288,通过3帧图像配准,同时完成平均差分计算,定位所需时间为2~8 ms.
图1为篮球运动快速位移图像中相邻两帧图像;图2为图1中图像相应的傅里叶变换幅度谱;图3为两帧图像的离散相位相关函数,可以获取图像偏移量;图4为通过区域判决及丢帧误差消除得到的最终篮球目标检测结果.

图1 篮球运动快速位移图像中相邻两帧图像
Fig.1 Images of two adjacent frames in fastdisplacement images of basketball sport
综合分析图1~4可以看出,采用本文方法对篮球运动快速移动图像定位得到的结果清晰准确,不受外界环境及复杂背景的干扰,定位性能优良.
为了进一步验证本文方法的有效性,将本算法与纹理特征方法、线性加权方法进行对比,将120幅篮球运动快速位移图像作为研究对象进行均值定位测试,定位效果比较如表1所示.

图2 傅里叶变换幅度谱
Fig.2 Fourier transform amplitude spectrum

图3 两帧图像离散相位相关函数
Fig.3 Discrete phase correlation functionof two frame images

图4 目标定位结果
Fig.4 Target location result
表1 三种方法定位效果比较
Tab.1 Comparison in location effectbetween three methods

方法目标变形椒盐噪声dB与实际位置的偏差本文方法偏离860.109纹理特征方法偏离901.923线性加权方法偏离950.639
由表1可知,在目标出现偏离变形的情况下,纹理特征方法和线性加权方法无法有效定位篮球目标,而本文方法受变形影响小,仍可有效定位,抗噪能力也显著高于其它两种方法,说明本文方法鲁棒性较高.不仅如此,本文方法定位结果和实际结果之间的距离偏差最小,验证了本文方法的定位准确性,纹理特征方法因受地面颜色干扰定位误差大.
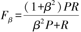
为了进一步验证本文方法定位的准确性,将精度、查全率、F测量与平均绝对误差作为衡量指标进行测试.精度P代表正确定位篮球运动快速位移图像像素数量占整个被认为是定位像素总量的比例;查全率R代表正确定位像素数量占标准定位结果像素总量的比例;F测量是定位精度优劣的体现.精度、查全率和F测量计算表达式为
(11)
(12)
(13)
式中:TP为被正确定位的篮球运动快速位移图像像素数量;FP为被错误定位的篮球运动快速位移图像像素数量;FN为被错误定位为非篮球运动快速位移目标的图像像素数量;β为种子像素的阈值度数,β2一般取0.6.
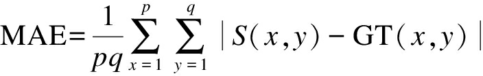
平均绝对误差指标越低,认为定位精度越高,其表达式为
(14)
式中:p、q分别为定位结果S(x,y)的长和宽;GT(x,y)为人工定位标准结果.
将本文方法与纹理特征方法、线性加权方法进行精度、查全率、F测量与平均绝对误差进行统计,得到的结果如表2所示.
表2 三种方法定位测试比较
Tab.2 Comparison in location testbetween three methods

方法查全率%精度%F值平均绝对误差%本文方法82.3191.250.712.98纹理特征方法71.3265.650.526.12线性加权方法59.8962.130.4515.85
分析表2可知,本文方法查全率为82.31%,略高于纹理特征方法的71.32%和线性加权方法的59.89%,但精度和F值明显高于纹理特征方法和线性加权方法,且本文方法平均绝对误差最低,验证了本文方法的有效性.
针对传统方法受外界环境的干扰较大,定位精度低的弊端,提出一种新的篮球运动快速位移图像自适应定位方法.得到背景运动偏移量后,依据灰度阈值技术,通过变背景帧间差分法得到当前帧快速位移区域.在此基础上,通过区域生长法实现篮球运动快速位移图像自适应定位,利用异常值采集法对丢帧误差进行消除.实验结果表明,所提方法抗噪能力高,定位结果准确.
[1]李少军,肖利平,高磊.光电成像制导中地面运动目标检测与跟踪 [J].系统工程与电子技术,2014,36(1):23-30.
(LI Shao-jun,XIAO Li-ping,GAO Lei.Detection and tracking of moving targets in photoelectric imaging guidance [J].Systems Engineering and Electronics,2014,36(1):23-30.)
[2]蔺俊杰,曹军芳.基于多权值相似均衡的运动图像循环定位算法 [J].科技通报,2015,31(8):111-113.
(LIN Jun-jie,CAO Jun-fang.Loop tracking algorithm for moving image based on multi-weighted similar equilibrium [J].Bulletin of Science and Technology,2015,31(8):111-113.)
[3]张文娟,王大羽,余梅生.基于两种独立混沌函数的图像加密算法 [J].重庆邮电大学学报(自然科学版),2017,29(2):232-239.
(ZHANG Wen-juan,WANG Da-yu,YU Mei-sheng.Research of image encryption algorithm based on two independent chaotic functions [J].Journal of Chong-qing University of Posts and Telecommunications (Natural Science Edition),2017,29(2):232-239.)
[4]冷纪岚.人体运动姿态图像矫正识别仿真研究 [J].计算机仿真,2015,32(12):451-454.
(LENG Ji-lan.Three dimensional motion pattern re-cognition posture correction [J].Computer Simulation,2015,32(12):451-454.)
[5]Patil N,Biswas P K.Global abnormal events detection in crowded scenes using context location and motion-rich spatio-temporal volumes [J].IET Image Processing,2018,12(4):596-604.
[6]周牧,张巧,田增山,等.基于图像边缘检测的WLAN室内用户运动地图构建 [J].电子科技大学学报,2016,45(2):240-245.
(ZHOU Mu,ZHANG Qiao,TIAN Zeng-shan,et al.Edge detection based individual mobility graph construction in WLAN indoor environment [J].Journal of University of Electronic Science and Technology of China,2016,45(2):240-245.)
[7]卢军,王子梁,朱佳磊.一种基于时
空多尺度的运动目标检测方法 [J].西北工业大学学报,2017,35(1):98-102.
(LU Jun,WANG Zi-liang,ZHU Jia-lei.Space-time multiscale based moving object detection method [J].Journal of Northwestern Polytechnical University,2017,35(1):98-102.)
[8]李娜,王维哲,赵伟.高速移动图像丢帧误差的矫正方法研究 [J].控制工程,2015,22(6):1196-1200.
(LI Na,WANG Wei-zhe,ZHAO Wei.High-speed mobile image frame error correction method [J].Control Engineering of China,2015,22(6):1196-1200.)
[9]Schellekens W,Ramsey N F,Raemaekers M.Predictions to motion stimuli in human early visual cortex:effects of motion displacement on motion predictability [J].Neuroimage,2015,18(5):118-125.
[10]朱闻亚.结合稳健估计和Meanshift的视频目标跟踪算法 [J].沈阳工业大学学报,2017,39(2):177-182.
(ZHU Wen-ya.Video target tracking algorithm with combining robust estimation and Meanshift [J].Journal of Shenyang University of Technology,2017,39(2):177-182.)
[11]史洪印,张诺.基于稀疏表示和道路辅助的单幅SAR图像运动目标检测方法 [J].电子学报,2015,43(3):431-439.
(SHI Hong-yin,ZHANG Nuo.Moving targets indication method in single SAR imagery based on sparse representation and road information [J].Acta Electronica Sinica,2015,43(3):431-439.)
[12]金兆飞,雷仲魁,李倩.基于运动目标跟踪与定位的无人机测速技术 [J].光电工程,2015,42(2):59-65.
(JIN Zhao-fei,LEI Zhong-kui,LI Qian.UAV measuring object velocity based on moving target tracking and orientation [J].Opto-Electronic Engineering,2015,42(2):59-65.)
[13]Guignard J,Cheng J T,Ravicz M E,et al.Aligning digital holography images of tympanic membrane motion [J].Journal of the Acoustical Society of America,2014,135(4):2416-2416.
[14]刘巍,陈玲,马鑫,等.基于彩色图像的高速目标单目位姿测量方法 [J].仪器仪表学报,2016,37(3):675-682.
(LIU Wei,CHEN Ling,MA Xin,et al.Monocular position and pose measurement method for high-speed targets based on colored images [J].Chinese Journal of Scientific Instrument,2016,37(3):675-682.)