FRP材料作为新兴材料在土木工程的应用中越来越广[1-4],GFRP管混凝土组合构件的轴心受力状态是其最理想状态,但是在实际应用中由于荷载作用位置的不确定性、施工误差、混凝土的不均匀性等设计、施工的不利因素影响,使得GFRP管混凝土组合构件处于偏心受压状态,而目前对GFRP管混凝土组合结构的偏压研究主要集中在试验研究[5-7],数值模拟相对比较少,本文利用ABAQUS对大量试件进行数值分析,研究不同因素对构件偏心受力状态的影响,并对GFRP管钢骨混凝土偏心受压承载力公式进行简化.
本文选用与试验吻合度较好的Lam和Teng抛物线加直线本构模型[8],即
(1)
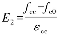
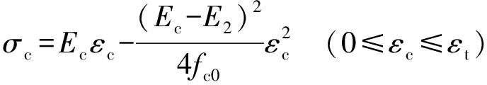
σc=fc0+E2εc (εt<εc≤εcc)
(2)
(3)
(4)
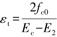
式中:Ec为混凝土的初始弹性模量,取Ec=
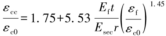
为混凝土圆柱体抗压强度;εt为第一阶段与第二阶段分界点处所对应的应变;fc0和fcc分别为无约束和约束混凝土的峰值应力;E2为第二阶段曲线斜率;其他变量含义见文献[8].峰值应力和峰值应变计算公式为
(5)
(6)
式中:Ef为GFRP管弹性模量;t为GFRP管管壁厚度;εf为FRP材料材性试验中的断裂应变;Esec为无约束混凝土峰值点的割线模量;εc0和εcc分别为无约束混凝土和约束混凝土的峰值应变;r为构件半径;![]()
GFRP约束混凝土结构受拉区本构关系采用ABAQUS中定义混凝土受拉软化行为的方法,即混凝土应力
断裂能关系,其表达式为
Gf=10-3a(fc/10)0.7
(7)
式中,Gf为混凝土的断裂能,其物理意义是每单位面积的混凝土产生一条连续裂缝所需要的能量.混凝土受拉软化模型如图1所示,其中,各变量含义见文献[8].
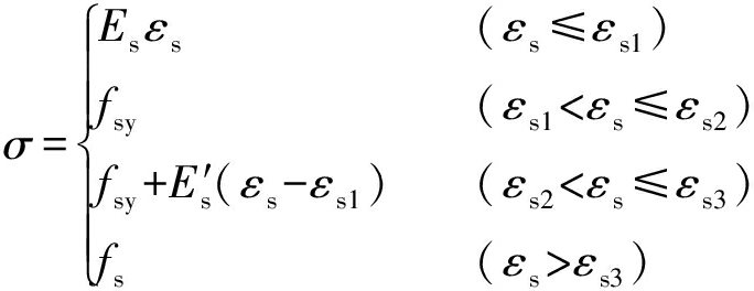
钢骨本构模型采用ABAQUS提供的各项同性弹塑性模型,服从Von-Mises屈服准则,应力
应变关系采用型钢的四折线模型,其表达式为

(8)

图1 混凝土受拉软化模型
Fig.1 Tensile softening model for concrete
式中:
为钢骨弹性段的弹性模量;εs为钢骨应变;fsy为钢骨的屈服强度;fs为钢骨的极限强度.
GFRP管采用ABAQUS中的单层板模型来模拟其力学性能,ABAQUS定义复合材料的损伤采用Hashin破坏准则[9],用来近似模拟复合材料的损伤演化过程,单层板的相关参数利用复合材料细观力学中的分析方法,由文献[10]中提供的材料参数计算,并对GFRP管进行铺层设计,铺层设计以3 mm厚角度为80°的GFRP管为例,铺层方式及情况如图2和表1所示,从而完成对GFRP管的定义.

图2 GFRP管铺层方式
Fig.2 Layer mode of GFRP tube
表1 3 mm厚GFRP管铺层情况
Tab.1 Layer situation of GFRP tubewith thickness of 3 mm

单层角度(°)单层厚度mm800.5单层角度(°)单层厚度mm-800.5
混凝土和GFRP管之间的接触在切向部分采用ABAQUS中自带的库伦摩擦模型,GFRP管与核心混凝土通过粘结作用使得它们之间的相对运动为零,只有两者之间的剪应力达到临界值τcrit时,才产生相对位移,临界剪应力的计算公式为
τcrit=μp
(9)
式中:μ=0.6为摩擦系数;p为GFRP管与核心混凝土之间的接触压力.
混凝土和垫块采用八节点六面体减缩积分单元(C3D8R),型钢和GFRP管采用四节点减缩积分壳单元(S4R),厚度方向均采用5个积分点的泊松积分.对钢骨使用Embed命令实现与核心混凝土的作用,GFRP管与端板采用shell to solid coupling命令接触,用tie命令将混凝土与端板进行绑定,端板按照实际偏心距切割加载线,上端板加载线耦合参考点,并在参考点处施加位移荷载,下端板加载线处施加铰接边界条件,网格划分及边界条件如图3所示.
为了验证数值模型的准确性,通过ABAQUS模拟GFRP管中长柱偏压的荷载挠度曲线,本文采用文献[5]中试验数据,详细数据如表2所示(变量含义见文献[5]).

图3 网格划分及边界条件
Fig.3 Mesh generation and boundary conditions
表2 构件试验数据
Tab.2 Experimental data of members

编号高度Lmm直径Dmm混凝土强度等级纤维缠绕角度/(°)管壁厚度tmm长细比偏心距NexpkNNcalkNNexpNcalGSPY1800200C708051620249325840.965GSPY2800200C708031620220323230.948GSPY3800200C706051640170017890.950GSPY71450200C708032920204523080.886
通过数值模拟GFRP管约束混凝土偏压柱受力过程,将试验结果与数值模拟计算的荷载N-挠度u曲线进行对比,结果如图4所示,计算结果与试验结果吻合较好,数值模型的准确度可以保证.

图4 试验与数值模拟N-u曲线对比
Fig.4 Comparison in N-u curves between experiment and numerical simulation
GFRP管约束混凝土组合构件偏压力学性能的影响因素有:GFRP管管壁厚度、混凝土强度等级、配骨指标、长细比、偏心距等.为了得到各参数对偏压构件力学行为的影响,设计试件,分别改变各参数,在验证有限元模拟准确性的基础上,模拟以上各参数对N-u曲线产生的影响,结果如图5所示.
1) 混凝土强度的影响.由图5a可知,由于在初始阶段,混凝土未受到GFRP管的约束,组合构件的荷载和挠度呈直线关系,高强混凝土具有抗压强度高、抗变形能力强的特点,随着荷载增加,高强混凝土N-u曲线的斜率趋于平缓,GFRP管的环向约束作用显现,混凝土侧向挠度受到限制,曲线表明,高强混凝土具有较高承载力.
2) 偏心距的影响.由图5b可知,偏心距在荷载作用初期对挠度变形的影响较小,随着偏心距的增大,组合构件稳定性降低,GFRP管对混凝土的约束作用下降,偏心距较大构件的二阶效应增大,挠度增长使其承载力降低.
3) 长细比的影响.由图5c可知,长细比对组合柱的N-u曲线具有显著影响,随着长细比的增大,试件稳定性减小,构件曲线的弹性阶段变短,刚度逐渐丧失;当长细比较大时,组合柱的挠度随荷载的增加而增长较快,组合柱由于失稳承载力下降.
4) 加载方向的影响.由图5d可知,在强轴方向加载时,工字钢受压侧受力面积比弱轴加载时大,当试件偏心距较小时,轴位置距离GFRP管边缘较近,钢骨上下翼缘和GFRP管对混凝土具有较强的双重约束作用;而弱轴方向加载时,由于钢骨的位置与试件形心轴靠近,型钢腹板相比强轴加载时,只有一半协同GFRP管对混凝土起约束作用,此时承载力比强轴加载时下降明显.
5) 钢骨截面形式的影响.由图5e可知,随着钢骨型号改变,钢骨截面积增大,N-u曲线总体趋势相同,随着钢骨截面积增加,构件含钢率增加,增大了构件初期刚度,改善了构件延性,使得组合结构的承载力得到提高.
6) 钢骨强度的影响.由图5f可知,在受力初期,核心混凝土承载,钢骨和GFRP管未参与工作,此时的N-u曲线完全重合,混凝土弹性段过后,钢骨的强度作用开始显现,强度高钢骨承受较高荷载.

图5 数值模拟N-u曲线
Fig.5 N-u curves under numerical simulation
7) 纤维缠绕角度的影响.由图5g可知,在荷载作用初期,由于混凝土受力后侧向膨胀较小,GFRP管的套箍作用不明显,构件变形相差不大,随着挠度增大,较低纤维缠绕角度的环向与混凝土之间的夹角变小,其提供的环向抗拉约束作用降低导致承载力下降.
8) 管壁厚度的影响.由图5h可知,GFRP管在弹性阶段不发挥环向约束作用,此时承载力曲线基本一致,随着弹塑性阶段侧向裂纹的扩展,较厚的GFRP管能够对核心混凝土起到较强的约束作用,有利于承载力提高.
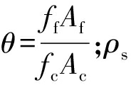
文献[11]基于钢管混凝土的统一理论,给出GFRP管混凝土组合构件偏压承载力计算公式,本文结合钢结构设计规范中关于折减系数的定义,考虑试件长细比影响的承载力简化计算公式为
(10)
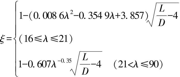
式中:Nu为短柱承载力值;φ为影响系数;e为偏心距;r′为试件外径;θ为套箍指标,
为配骨指标,![]()
本文基于规范选取λ=16为短柱和长柱的界限值,由于当λ<16时,构件的承载力主要由材料本身强度决定,故本文主要计算受长细比影响较大的λ>16构件,改变构件长细比,承载力与长细比(N-λ)关系曲线如图6所示.

图6 柱的偏压N-λ曲线
Fig.6 N-λ curve of column undereccentric compression
由图6可知,偏压柱的承载力随长细比的增加而下降,构件由强度破坏逐渐向失稳破坏转变,当16<λ<21时,承载力变化较快,此时构件主要发生强度破坏,随着长细比逐渐增大,构件极限承载力降低,为此二阶效应的作用也逐渐降低,承载力变化减慢.对有限元计算结果和试验数据进行回归处理,得到柱承载力与长细比有关的折减系数公式为

(11)
式中:L为梁的计算跨度;D为梁的外径.
为了验证公式的准确性,将文献[5,12]中的试验值与计算值进行对比,结果如表3所示.
表3 计算值与试验值对比
Tab.3 Comparison between calculated and experimental values

试件编号λθρsNexp/kNNcal/kNNcal/NexpL10-E40-P200.83290.32851224.521211.130.99L12-E40-P240.83290.32851141.871085.260.95L16-E40-P320.83290.3285865.32966.301.12GSPY1160.75580.36462266.002091.660.92GSPY7290.81670.25311895.001931.891.02
由表3可知,公式计算值与试验值之比的平均值为1,均方差为0.069,试验结果与公式吻合良好,说明公式的建立是合理的,但是由于试验的局限性,公式的准确度需要进一步验证.
本文建立了GFRP管混凝土组合柱的偏心受压有限元模型,通过与试验荷载
挠度曲线以及极限承载力的对比可知,数值结果与试验结果较为吻合,验证了数值模型的准确性.
通过对影响组合柱偏压承载力的因素进行分析,采用偏心距、混凝土强度等级以及纤维缠绕角度等因素对GFRP组合构件在偏心荷载下的承载力进行分析后发现,承载力随着配骨指标、套箍系数、混凝土强度等级的增加呈线性增加,随纤维缠绕角度的增加而增长,而长细比、偏心距的增加导致承载力下降.
本文考虑长细比对承载力的影响,对已有承载力公式进行修正,并通过与试验结果的对比验证了公式计算结果的准确性.
[1]邓宗才,王耀杰,张小冬,等.IHFRP约束混凝土圆柱轴压性能 [J].沈阳工业大学学报,2013,35(2):218-223.
(DENG Zong-cai,WANG Yao-jie,ZHANG Xiao-dong,et al.Axial compression performance of IHFRP confined concrete column [J].Journal of Shenyang University of Technology,2013,35(2):218-223.)
[2]樊成,李宝磊.FRP筋混凝土梁粘结滑移力学性能数值分析 [J].沈阳工业大学学报,2017,39(5):596-600.
(FAN Cheng,LI Bao-lei.Numerical analysis for mechanical performance bonding-slip of FRP reinforced concrete beam [J].Journal of Shenyang University of Technology,2017,39(5):596-600.)
[3]高华国,赵畅,徐凌,等.碳纤维布预应力施加设备研究与应用 [J].沈阳工业大学学报,2016,38(3):344-349.
(GAO Hua-guo,ZHAO Chang,XU Ling,et al.Research and application of CFRP prestressed equipment [J].Journal of Shenyang University of Technology,2016,38(3):344-349.)
[4]宋志刚,樊成,宋力.GFRP管混凝土轴压短柱承载力研究 [J].水利与建筑工程学报,2017,15(2):71-75.
(SONG Zhi-gang,FAN Cheng,SONG Li.Bearing capacity of the GFRP tube filled with concrete under the axial compression [J].Journal of Water Resources and Architectural Engineering,2017,15(2):71-75.)
[5]王连广,周乐.GFRP管钢骨高强混凝土偏压柱试验研究 [J].工程力学,2011(1):145-149.
(WANG Lian-guang,ZHOU Le.Experimental research on GFRP columns filled with steel-reinforced high-strength concrete subjected to eccentric compression load [J].Mechanical Engineering,2011(1):145-149.)
[6]王宝立,辛庚华,王清湘.GFRP管钢筋混凝土偏压长柱的试验研究 [J].玻璃钢/复合材料,2015(2):21-27.
(WANG Bao-li,XIN Geng-hua,WANG Qing-xiang.Experimental study of long reinforced concrete filled GFRP tubes columns subjected to eccentric load [J].Fiber Reinforced Plastics/Composites,2015(2):21-27.)
[7]李文,杨思雨,那昱.GFRP管
混凝土
钢管组合柱轴压性能 [J].沈阳工业大学学报,2017,39(3):346-351.
(LI Wen,YANG Si-yu,NA Yu.Axial compression performance of GFRP-concrete-steel tubular composite column [J].Journal of Shenyang University of Technology,2017,39(3):346-351.)
[8]Lam L,Teng J G.Design-oriented stress-strain model for FRP-confined concrete [J].Construction and Building Materials,2003,17(6/7):471-489.
[9]Hashin Z.Failure criteria for unidirectional fiber composites [J].Journal of Applied Mechanics,1980,47(2):329-334.
[10]秦国鹏.GFRP管钢筋混凝土构件力学性能研究 [D].沈阳:东北大学,2010.
(QIN Guo-peng.Mechanical behaviors study on GFRP tube filled with reinforced concrete member [D].Shenyang:Northeastern University,2010.)
[11]周乐.GFRP管钢骨高强混凝土组合构件力学性能研究 [D].沈阳:东北大学,2009.
(ZHOU Le.Mechanical behaviors study of GFRP tube filled with steel-reinforced high-strength [D].Shenyang:Northeastern University,2009.)
[12]曹朋朋.FRP管约束钢骨混凝土中长柱偏压力学性能研究 [D].沈阳:沈阳建筑大学,2013.
(CAO Peng-peng.Mechanical behavior of steel-encased concrete filled FRP tube column under unidirec-tional eccentric compression [D].Shenyang:Shen-yang Jianzhu University,2013.)