信息科学与工程

一种曲面药瓶标签校验方法关键技术*

许 会, 刘慧芳, 陆 昊, 车新生

(沈阳工业大学 信息科学与工程学院, 沈阳 110870)

摘 要: 针对药瓶标签具有曲面性以及采集设备视角小的问题,提出了一种基于全景拼接技术的药瓶标签校验方法.采用柱面反投影算法将发生畸变的曲面药瓶标签进行校正,使用SIFT尺度不变特征算法对校正后标签图像进行拼接,提取拼接后的标签名等信息,采用基于连通域的字符分割技术进行字符切分,计算分割字符与模板字符的特征矩阵及相似度矩阵,从而识别出药瓶标签.结果表明,该方法能够校正标签两侧的文字压缩,实现图像拼接,得到包含完整药瓶名称的图像,并能够实现字符的准确切分,具有速度快和识别率高的优点.

关 键 词: 药瓶标签; 曲面; 小视角; 柱面反投影; 全景拼接; 连通域; 字符分割; 识别

静脉滴注类药品配药是医用输液的重要组成部分,现如今大部分静脉配液还是由医护人员人工完成,不可避免造成时间与人力资源上的浪费[1-2].严格执行查对制度、遵守无菌操作规程是每一位医护人员在配药过程中必须遵守的准则,但是长期配药会对配药人员肌肉骨骼产生损伤[3].药瓶标签关键信息不便查找,配药过程还是通过护士反复核查药品名等信息,这些问题无疑给配药工作人员带来很大麻烦[4].目前针对药瓶标签自动校验的文献[5]未能解决畸变校正问题,标签旋转不同角度后校验的匹配率会下降,损失了标签名称等一部分重要信息;文献[6]中字符识别的畸变字符校正算法侧重于对字符的定位,没有实现药瓶标签的自动识别.鉴于上述情况,本文提出了基于全景拼接技术的药瓶标签校验方法.全景拼接技术[7]主要应用于外场景、宽角度场景,应用到静脉滴注类药瓶标签的识别需要先对药瓶标签进行畸变校正才能实现图像的拼接.文献[8]利用PDF417码本身具有的列分割线特征对条码分割后进行局部校正,此方法利用透视变换算法,不能对扭曲剧烈的条码进行信息还原.本文标签字符分割、识别算法参考文献[9],本文设计算法可对有倾斜角度的药瓶标签图像进行识别,并对发生畸变的图像进行校正.

1 药瓶标签校验算法设计

由于采集设备视角小,采集的图像不能包含标签名称等完整有效信息,镜头采集的药瓶标签会发生畸变.本文主要从以下几个方面进行研究:

1) 药瓶标签畸变校正算法设计;

2) 药瓶名称字符分割算法设计;

3) 药瓶名称识别算法设计.

1.1 药瓶标签畸变校正算法设计

对于发生畸变的曲面药瓶标签图像,它们之间不是线性对应关系,直接用于识别会引起偏差,故需要对采集的药瓶标签图像进行畸变校正.本文畸变校正算法需要经过图像灰度化、Canny算法边缘检测、霍夫变换检测垂直直线、图像分割等图像预处理操作,随后使用柱面反投影算法对分割后的药瓶标签进行畸变校正.

1.1.1 柱面反投影算法原理

在同一视点O将图像投影到柱面切平面上的原理图如图1所示.图1a为柱面标签投影关系,柱面ABCD′投影到切平面ABCD上;图1b为柱面上任意一点P′投影到切平面x方向的映射关系.

首先建立理想的投影模型,图1b假设圆柱面AB′为半圆,焦距ON=R,中心点为O,曲面图像上任意一点P′投影到平面图像上的P点(x方向即由P′所对应的弧长投影到平面PN的长度),OPON间的夹角θ.柱面标签投影到切平面x方向映射关系表达式为

图1 柱面反投影原理图
Fig.1 Principle diagram of cylindrical reverse projection

(1)

式中,x′为P′点对应的弧长.

柱面切平面y方向与柱面y方向(即柱面标签母线方向)相同,得出柱面反投影表达式为

(2)

式中,y′为柱面的母线长.

在图1b中,根据式(2)首先求出A′投影到平面时的x方向长度.在此OA′的长度可从图像中获得,令OA′等于弧长l,根据式(1)求出此段弧长所对应的θ值,从而计算出变换后的边界x值,遍历图像所有像素点得到变换后图像的所有x值.变化后的平面图像x方向宽度会明显增加,从而出现像素的缺损,在柱面图像中无法找到对应的像素点,采用最近邻插值对缺损的图像进行插值,从而在x方向畸变字符得到了非线性校正.

1.1.2 二次校正算法原理

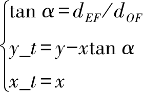
经过上述方法变化后的图像还存在着一定程度的弯曲,是由于图1a中y方向没有变化.理想情况下应采用线性模型对图像进行二次校正,图2为建立的等效二次校正模型原理图.弧为图1校正后的结果,假设弧x轴方向的夹角为OEx轴方向的夹角α.

图2 二次校正模型
Fig.2 Secondary correction model

根据图2建立关系式为

(3)

(xy)为弧面上任意一点的坐标,变化后的坐标为(x_ty_t),dOEdOF大小由实验图像获得.

1.2 药瓶标签字符分割算法设计

通过SIFT图像拼接后,解决了视角小等问题,得到了有完整药品名标签图像.通过图像二值化、图像形态学、图像滤波等预处理提取标签药品名图像.药品名是由一个或者多个连通域组成的,本文使用基于连通域的字符切分技术对药品名字符进行切分.

根据连通域对图像进行粗切分,再进行连通域的合并和粘连字符连通域的切分,基于字符字型特点,连通域可能会有上下关系、左右关系、重叠关系等.图3是存在重叠关系的连通域C(i)和C(j),(LiUi)是连通域C(i)外接矩形的左上角坐标,(RjDj)是连通域C(j)外接矩形的右下角坐标.

图3 连通域外接矩形的重叠关系
Fig.3 Overlapping relationship of circumscribed rectangles outside connected domains

各标记定义如下:

连通域的宽W(Ci)=Ri-Li

连通域的高H(Ci)=Di-Ui

连通域的宽高比Ratio(Ci)=W(Ci)/H(Ci);

合并后的宽Uw(CiCj)=max(RiRj)-min(LiLj);

合并后的高Uh(CiCj)=max(DiDj)-min(UiUj);

合并后的宽高比

URatio(CiCj)=Uw(CiCj)/Uh(CiCj);

重叠的宽度

Ow(CiCj)=W(Ci)+W(Cj)-Uw(CiCj);

重叠的高度

Oh(CiCj)=H(Ci)+H(Cj)-Uh(CiCj).

以上定义的连通域单位都是基于像素点个数.定量化分析连通域的合并关系、粘连字符的重叠关系能够得到正确的切分字符.此方法简单快速,很好地满足了本文药瓶标签字符的分割要求.

1.3 药瓶标签字符识别算法设计

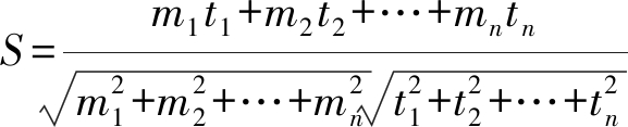
对于药瓶标签名称切分字符的识别,设计了一种特征矩阵求取算法,以二值图像像素为基础,求出分割字符和模板字符的相似度矩阵,再求出特征矩阵的相似度来匹配图像.特征矩阵的求法为选定单位面积、统计分割字符和模板字符的单位面积黑色像素点数、字符图像的特征矩阵为黑色像素点的总和,特征矩阵的相似度依据余弦相似度原理来计算.假设n个分割字符图像特征分别由m1m2,…,mn来表示,n个模板字符特征分别由t1t2,…,tn来表示,相似度的计算公式为

(4)

2 药瓶标签校验算法实现

2.1 药瓶标签拼接算法实现

采集有重叠区域(重叠区域大于1/3)的3组不同角度的药瓶标签图像注射用奥美拉唑钠如图4所示.

图4中定义3组图分别为目标1、目标2、目标3.图5是采用霍夫变换对倾斜角度图像进行校正,目标1校正角度为1°,目标2校正角度为1°,目标3校正角度为5°.

对3组图预处理分割后,按照上述反投影算法对水平方向的畸变进行校正,焦距设为像素矩阵列宽的1/2,即标签图像校正中心在图1b的O点处,结果如图6所示.

图4 镜头采集原图
Fig.4 Original images collected by camera

图5 倾斜校正图
Fig.5 Images after tilt correction

图6 柱面反投影图
Fig.6 Images after cylindrical reverse projection

从图6可以看出标签边缘压缩的字符得到了校正,越是靠近边缘拉伸越宽.对图6采用二次校正模型进行校正,结果如图7所示.在图7中dOF取图像行宽的一半,dEF由图像弯曲的程度计算得知.由图7可见,图像在y轴方向得到了校正,药品标签名称基本上在同一水平线上,利于后续药品标签名的提取.

图7 二次校正图
Fig.7 Images after secondary correction

经过柱面反投影即一次校正,二次校正后对展开的图像进行拼接,目标1校正图和目标3的校正图相似,并且目标1校正后的图像弯曲度比目标3的大,由于篇幅的限制,在此取更有代表性的目标1校正图与目标2校正图进行拼接.本文从3个方面试验校正算法对拼接的影响,组别1依次经过一次校正后拼接,验证了一次校正对拼接的影响,拼接后的二次校正是为了易于标签名称的提取.同理组别2验证了两次校正对拼接影响,组别3验证了拼接后的二次校正对标签提取识别的影响.

3个组别的图像拼接结果如图8所示,从图8中可以看出,本文拼接算法能很好实现药瓶标签的拼配,经过两次校正后再拼接的标签展平效果好于一次校正后拼接的药瓶标签.

2.2 药瓶标签校验算法实现

分别从图8a、b、c提取药品名称有效区域如图9所示.

对图9中经过预处理的图像进行字符切分,药品名字符分割图如图10所示.图10中,药品名字符得到正确切分.字符分割后需要与模板字符进行匹配,需要提前做出模板字符库,图11为药瓶标签注射用奥美拉唑钠的部分模板库图像.

图8 不同处理后的图像拼接图
Fig.8 Stitched images after different processes

图9 药品名有效区域
Fig.9 Effective area of medicine name

图10 药品名分割图
Fig.10 Segmented images of medicine name

图11 模板字符
Fig.11 Template characters

在此阶段,分割字符和模板字符像素统一调整为42*24,选取单位面积大小为2*2.匹配过程包括读取样本模板库,计算特征矩阵,计算相似度矩阵,若相似度矩阵最大值大于0.85,显示识别结果.

在这个阶段分割字符分别与所有模板字符进行匹配,如分割字符“注”与模板中的字符“注”、“射”、“用”、“奥”、“美”、“拉”、“唑”、“钠”依次匹配,计算出相似度矩阵最大值.其他字符依次进行匹配,得到所有字符的相似度矩阵最大值,如表1所示.

表1 分割字符与模板字符匹配相似度矩阵最大值

Tab.1 Maximum similarity matrix values matching segmentation characters with template characters

字符相似度矩阵最大值组别1组别2组别3注0.92290.93040.9330射0.92850.95840.9634用0.87920.92910.9486奥0.90710.94410.9499美0.89830.94680.9556拉0.85600.91260.9242唑0.91070.93380.9598钠0.92760.96700.9519

从表1中可以看出组别2和组别3的分割字符与模板字符匹配的相似度矩阵最大值大于组别1,组别3的识别率略大于组别2.

3 结 论

本文重点研究了曲面畸变校正问题,药瓶标签经过一次校正和二次校正展开了曲面图像边缘压缩字符.经过图像拼接解决了视角小,缺失图像重要信息等问题.经过校正和拼接得到了包含完整药瓶标签信息的平面展开图像.通过一次校正和二次校正后拼接的图像字符识别率高于一次校正后拼接的图像,即曲面图像展平效果越好,字符的识别率越高.

参考文献( References) :

[1]严娟霞,张艳阳,宋萍.静脉药物配置中心配药环节的安全管理 [J].护理学杂志,2013,28(20):79-81.

(YAN Juan-xia,ZHANG Yan-yang,SONG Ping.Practice of safety management in infusion solutions preparation in pharmacy intravenous admixture service [J].Journal of Nursing Science,2013,28(20):79-81.)

[2]朱爱萍,张付华,李健.配药护士手卫生及使用中的配药注射器监测分析 [J].中华医院感染学杂志,2012,22(12):2588-2590.

(ZHU Ai-ping,ZHANG Fu-hua,LI Jian.Hand hygiene of dispensing nurses and monitoring of dispensing syrin-ge in use [J].Chinese Journal of Nosocomiology,2012,22(12):2588-2590.)

[3]陈惠,郑秀娟,王萍霞,等.医院静脉药物配置中心配药人员工作相关骨骼损伤与工效学负荷水平关系分析 [J].职业卫生与应急救援,2016,34(5):355-358.

(CHEN Hui,ZHENG Xiu-juan,WANG Ping-xia,et al.Musculoskeletal disorders and ergonomic load levels among staff in pharmacy intravenous admixture services [J].Occup Health & Emergence Rescue,2016,34(5):355-358.)

[4]石美玉.药品标签与配药速度关系的质性研究 [J].中国现代医生,2010,48(31):95-96.

(SHI Mei-yu.A qualitative study on the relationship between drug labeling and dispending speed [J].Chinese Modern Doctor,2010,48(31):95-96.

[5]李莹.药瓶标签校验方法研究 [D].沈阳:沈阳工业大学,2015.

(LI Ying.A study on the method of checking for label of medicine [D].Shenyang:Shenyang University of Technology,2015.)

[6]马亦嘉,葛万成.字符识别中的畸变字符校正算法研究 [J].通信技术,2009,42(3):218-222.

(MA Yi-jia,GE Wan-cheng.Emendation algorithm of distorted characters in character recognition [J].Communications Technology,2009,42(3):218-222.)

[7]柳运波.全景图像拼接关键技术研究 [D].西安:电子科技大学,2013.

(LIU Yun-bo.Research on the key technology of image stitching [D].Xi’an:University of Electronic Science and Technology of China,2013.)

[8]黄书海,殷建平,祝恩,等.基于局部透视变换的圆柱体侧表面PDF417条码矫正方法 [J].计算机工程与科学,2012,34(9):93-97.

(HUANG Shu-hai,YIN Jian-ping,ZHU En,et al.A rectification method based on local perspective transformation for PDF417 barcode upon cylinder side surface [J].Computer Engineering & Science,2012,34(9):93-97.)

[9]李新良.基于模板匹配法的字符识别算法研究 [J].计算机技术与自动化,2012,31(2):90-93.

(LI Xin-liang.The research of character recognition algorithm in template matching method [J].Computing Technology and Automation,2012,31(2):90-93.)

Key technology of checking method for curved surface label of medicine bottle

XU Hui, LIU Hui-fang, LU Hao, CHE Xin-sheng

(School of Information Science and Engineering, Shenyang University of Technology, Shenyang 110870, China)

Abstract Aiming at the problem that the label of medicine bottle has the curved surface and the viewing angle of collection device is small, a checking method for the label of medicine bottle based on the panoramic stitching technique was proposed. The distorted curved surface label of medicine bottle was corrected with the cylindrical reverse projection algorithm, and the corrected label of medicine bottle was stitched with the SIFT scale invariant feature transform algorithm. And the label name of medicine bottle after stitching was extracteed. The character segmentation technique based on the connected domain was used to segment the characters, and the feature matrix and similarity matrix of both segmented characters and template characters were calculated to check the label of medicine bottle. The results show that the proposed method can correct the text compression on both sides of the label, realize the image stitching, get the image containing the complete bottle name, achieve the accutate character segmentation, and has the advantages of fast speed and high recongnition rate.

Key words label of medicine bottle; curved surface; small viewing angle; cylindrical reverse projection; panoramic stitching; connected domain; character segmentation; recognition

中图分类号: TP 391

文献标志码:A

文章编号:1000-1646(2019)03-0286-06

收稿日期 2017-03-31.

基金项目 科技部国家重点研发计划子课题资助项目(2016YFD0700104-02).

作者简介 许 会(1963-),女,辽宁沈阳人,教授,博士,主要从事过程检测与装置、信息与信号处理等方面的研究.

*本文已于2018-04-16 16∶10在中国知网优先数字出版. 网络出版地址: http:∥kns.cnki.net/kcms/detail/21.1189.T.20190507.1354.002.html

doi:10.7688/j.issn.1000-1646.2019.03.09

(责任编辑:景 勇 英文审校:尹淑英)