混沌,作为非线性现象,广泛存在于各个研究领域,如医学、化学、生物学和经济学等,其研究方式也从最初的消除混沌变为研究混沌[1]和应用混沌[2],通常先通过计算机软件调试出混沌系统,再将其应用到用电预测[3]、图像加密和安全通信[4]等领域.在这样的背景下,许多特殊的混沌系统[5]不断被提出,如变换参数会呈现不同类型平衡点的多特征混沌系统、分数阶导数的混沌系统[6]、具有无穷多平衡点或者没有平衡点的混沌系统[7]、轮胎形和喇叭形的混沌系统、切换混沌系统[8]、平移混沌系统等.很多学者也致力于混沌同步的研究,目前,在许多系统上,不仅实现了两个或三个系统之间的自适应同步[9]、反同步、广义同步、投影同步、混合同步[10],而且完成了不同维数系统间的同步.其中,在自适应同步中,自适应同步器能够不断读取驱动系统的信息,使得响应系统能够逐渐调整,最终与驱动系统同步.本文提出的带有立方项的分段切换混沌系统,由一个混沌系统和一个非混沌系统切换生成,该切换混沌系统呈锥形,在x1-x2平面上的投影为苹果形.
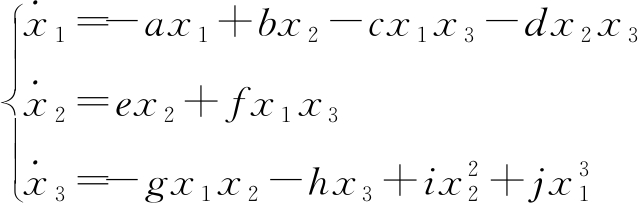
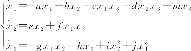
本文提出一种新的带立方项的混沌系统,其由两个系统切换产生.第1个系统的表达式为
(1)
式中,a、b、c、d、e、f、g、h、i、j为系统中的未知参数.每个参数都在一定的范围内使得系统是混沌的,并且系统的相图在参数不同时,往往也有较大的变化.系统(1)中一共有10项,其中,二次交叉项、平方项、立方项和线性项的个数分别为4、1、1、4个.
通过计算机仿真,当a=15,b=12,c=1,d=2,e=10,f=8,g=7,h=9,i=2.8,j=0.5时,系统呈混沌态,如图1所示.
图1 系统(1)的相图
Fig.1 Phase diagram of system(1)
Lyapunov指数谱是一种定量分析的方法,系统(1)的Lyapunov指数谱如图2所示.
图2 系统(1)的Lyapunov指数谱
Fig.2 Lyapunov exponent spectrum of system(1)
LE1、LE2、LE3为随时间t变化的李雅普诺夫指数,LE1>0,LE2=0,LE3<0,LE1+LE2+LE3<0,系统混沌.
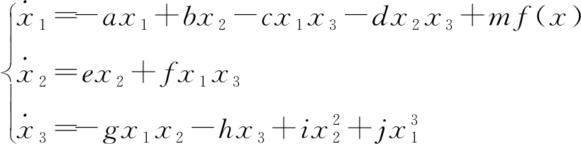
第2个系统的表达式为
(2)
式中,a、b、c、d、e、f、g、h、i、j、m为与系统(1)相同的未知参数.系统(2)比系统(1)多一项,共11项,其中,非线性项和线性项的个数分别为6、5个,当a=15,b=12,c=1,d=2,e=10,f=8,g=7,h=9,i=2.8,j=0.5,m=6时,相图如图3所示.
图3 系统(2)的三维空间相图
Fig.3 3D spatial phase diagram of system(2)
系统(2)的Lyapunov指数谱如图4所示.由图4可知,系统(2)是非混沌的.
图4 系统(2)的Lyapunov指数谱
Fig.4 Lyapunov exponent spectrum of system(2)
当x2>0时,运行系统(1),当x2≤0时,运行系统(2),得到带立方项的切换混沌系统,其表达式为
(3)
式中,![]()
当a=15,b=12,c=1,d=2,e=10,f=8,g=7,h=9,i=2.8,j=0.5,m=6时,系统(3)的相图如图5所示.系统(3)的相图形状经过折叠和旋转,最后大致呈锥面,且在x1-x2面上的投影为苹果形状.
图5 系统(3)的相图
Fig.5 Phase diagram of system(3)
本文采用庞加莱截面法讨论动力系统(3)的性态,图6为在x3=32截面上,用计算机模拟出的庞加莱映射,图中呈现出成片密集的点,且富有层次性,进一步说明该系统的吸引子具有复杂的折叠行为.
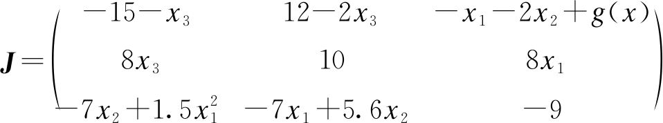
系统(3)的雅克比矩阵为
图6 x3=32截面上的庞加莱映射
Fig.6 Poincare mapping on cross section with x3=32
其中,
令
可得系统(3)的平衡点S1=(1.83,1.75,-1.19),S2=(7.93,7.60,-1.19),S3=(-306.98,1 921.27,7.82),S4=(-0.68,4.24,7.82),S5=(-1.38,-1.01,-0.91),S6=(0.82,-2.8,4.26),再由|JE-λ|Si=0,可得系统(3)的特征值如表1所示.
表1 系统(3)的特征值
Tab.1 Eigenvalues of system(3)
编号λ1λ2,31-20.5054 1.5062±11.2867i215.5557-14.1829±42.4175i30.0004-0.0013±2.1981i4-25.39841.7892±17.4776i5-21.78614.3481±10.8611i6-34.92908.3345±14.2570i
因此,系统(3)的诸多平衡点均为不稳定的鞍焦点,具备产生涡卷的条件.
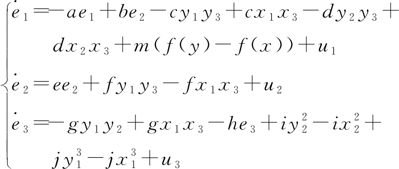
本文令系统(3)为驱动系统,系统(4)为响应系统,其中,u1、u2、u3为控制器,则有
(4)
令e1=y1-x1,e2=y2-x2,e3=y3-x3,由式(4)减去式(3)可得
(5)
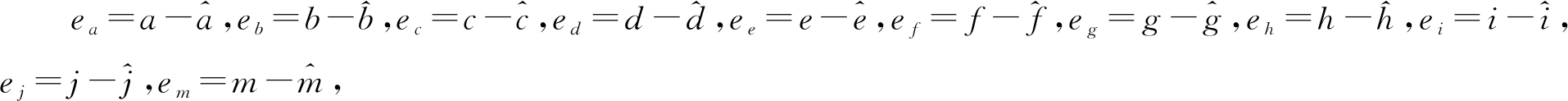
令
(6)
将式(6)代入式(5),则有
(7)
令
式(7)可转换为
(8)
由此可知,
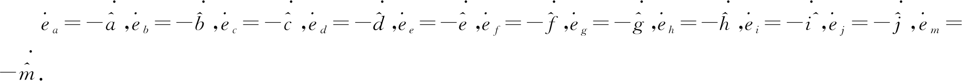
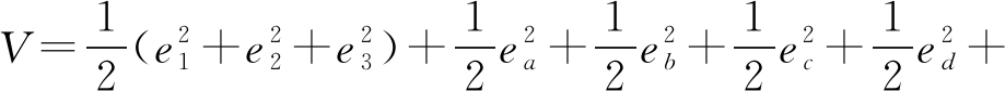
取Lyapunov函数为
该函数在R6上是正定函数,即
=e1[-eae1+ebe2+ec(x1x3-y1y3)+ed(x2x3-
y2y3)-em(f(y)-f(x))-k1e1]+e2[eee2+
ef(y1y3-x1x3)-k2e2]+e3[eg(x1x2-y1y2)-
=![]()
取更新规则为
时,
根据Lyapunov函数稳定性定理,经一段时间后,系统(3)、(4)随时间t的运动轨线将一致.
图7为计算机模拟出的误差曲线随时间t的变化轨线,可以看出,在很短的时间内,误差即稳定为0.
图7 加入控制器时系统(3)、(4)的同步误差曲线
Fig.7 Synchronization error curves of systems (3) and (4) with action of controllers
本文在提出的带三次项三维混沌系统中加入了简单的线性切换项后,其吸引子的图像更为特殊和新颖.采用的自适应控制器及更新规则设计方案,对具有高次项和切换项的混沌系统均适用,且在易于实现的基础上,同步速度也非常快.
[1]赵柏山,刘晓晓,张学松.一种限定混沌状态变量运动区域的方法 [J].沈阳工业大学学报,2019,41(1):62-67.
(ZHAO Bo-shan,LIU Xiao-xiao,ZHANG Xue-song.A method of limiting motion area of chaotic state varia-bles [J].Journal of Shenyang University of Techno-logy,2019,41(1):62-67.)
[2]Han C Y,Yu S M.Generating chaos via nonlinear system switching anti-control and circuit implementation [J].International Journal for Light and Electron Optics,2014,125(14):3491-3498.
[3]李媛,武岩岩,王思琪.基于混沌时间序列的Elman神经网络工业用电预测 [J].沈阳工业大学学报,2016,38(2):196-199.
(LI Yuan,WU Yan-yan,WANG Si-qi.Elman neural network for forecasting industrial electricity consumption based on chaotic time series [J].Journal of Shenyang University of Technology,2016,38(2):196-199.)
[4]Israr A,Muhammad S,Mossa A S.Globally exponential multi switching-combination synchronization control of chaotic systems for secure communications [J].Chinese Journal of Physics,2018,56(3):974-987.
[5]Wu J N,Wang L D,Chen G R,et al.A memristive chaotic system with heart-shaped attractors and its implementation [J].Chaos,Solitons and Fractals,2016,92:20-29.
[6]Zambrano S E,Mu
oz P E,Campos C.Chaos generation in fractional-order switched systems and its digital implementation [J].International Journal of Electro-nics and Communications,2017,79:43-52.
[7]Viet T P,Sajad J,Christos V,et al.A gallery of chao-tic systems with an infinite number of equilibrium points [J].Chaos,Solitons and Fractals,2016,93:58-63.
[8]Ayub K,Mridula B,Aysha I.Multi-switching dual compound synchronization of chaotic systems [J].Chinese Journal of Physics,2018,56(1):171-179.
[9]Viet T P,Sundarapandian V,Christos V,et al.A no-equilibrium hyperchaotic system with a cubic nonlinear term [J].International Journal for Light and Electron Optics,2016,127(6):3259-3265.
[10]Viet T P,Adel O,Christos V,et al.A simple fractional-order chaotic system without equilibrium and its synchronization [J].International Journal of Electro-nics and Communications,2018,86:69-76.