随着建筑领域的飞速发展,建筑垃圾逐年增加,再生混凝土的研究逐渐进入学者们的视野.所谓再生混凝土是指废弃混凝土经过人工破碎、清洗和分级按照一定比例部分或全部代替天然粗骨料的新型混凝土[1],其不仅具有节能、环保的优点,而且符合我国可持续发展的方针.
钢筋混凝土梁作为受弯构件是土木工程中数量最多、使用最广的一类构件,是建筑结构中的重要组成部分[2].随着计算机技术和有限元理论分析的不断发展,有限元分析软件对建筑结构和实际工程的应用越来越普遍[3],本文在已有研究成果[4]的前提下,利用ABAQUS有限元分析软件对完全再生混凝土梁进行数值模拟,验证模型的正确性,分析再生混凝土少筋梁、适筋梁和超筋梁的界限配筋率以及再生混凝土梁的弯曲延性.
为验证再生混凝土本构关系和模型建立的正确性,采用文献[4]中部分试验数据进行对照,再生混凝土梁的截面尺寸为120 mm×120 mm,长度为1.5 m,跨度为1.2 m,试件采用3等分点加载,试验参数采用文献[4]中实测值,配筋形式与文献[4]保持一致,试验参数如表1所示.
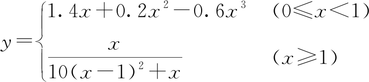
再生混凝土受压本构模型采用文献[5]研究成果,具体计算公式为
表1 梁试验参数
Tab.1 Experimental parameters for beams
梁编号实测立方体强度/MPa实测弹性模量/(104MPa)纵筋形式配筋率ρ/%保护层厚度/mmRCB-0.7739.92.752B100.7725RCB-1.1138.32.682B121.1125RCB-1.5138.22.652B141.5125RCB-1.9741.12.702B161.9725

(1)
式中:x=ε/εc;y=σ/σc;σ为混凝土压应变为ε时的混凝土压应力;εc为混凝土峰值压应变,εc=σc/Ec;Ec为混凝土弹性模量;σc为混凝土峰值压应力,即轴心抗压强度实测值fc.
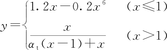
再生混凝土受拉本构模型采用文献[6]研究成果,具体计算公式为
(2)
式中:x=ε/εt;y=σ/σt;αt为混凝土单轴受拉应力
应变曲线下降段的参数值,
为混凝土的抗拉强度标准值;εt为αt对应下的峰值应变.
钢筋的本构模型采用双直线模型[7],具体计算公式为
(3)
式中:σs、ε分别为钢筋的应力和应变;fyt为钢筋的屈服应力;Es为钢筋的弹性模量.
模型的建立共分为5个部件,即混凝土、垫块、箍筋、受压钢筋以及受拉钢筋.混凝土和垫块单元采用C3D8R,箍筋、受拉钢筋以及受压钢筋采用T3D2.考虑到模型的收敛性,并未设置钢筋与混凝土之间的粘结滑移,采用混凝土损伤塑性模型来定义混凝土的塑性特性[8].混凝土与垫块的网格划分尺寸为40 mm,钢筋的网格划分尺寸为25 mm,收敛结果良好.有限元分析模型如图1所示.
图1 有限元分析模型
Fig.1 Finite element analysis model
边界的设置与实际试验的约束完全一致,在垫块底部中线位置设置约束,左侧支座对三个自由度进行约束,右侧支座对两个自由度进行约束.加载制度与试验保持一致,采用单调位移加载的加载方式.
图2和表2分别为再生混凝土梁的荷载
挠度曲线以及极限承载力.由图2可以看出,不同配筋率下的模拟梁荷载
挠度曲线与试验梁基本相似,大致分为3个阶段.第1阶段为从开始加载至荷载
挠度曲线斜率发生第一次突变,此阶段为弹性阶段,模拟梁与试验梁的荷载
挠度曲线均呈线性变化,斜率基本保持不变,刚度较大,表现出整体工作性能.第2阶段为从荷载
挠度曲线斜率发生第一次突变至荷载
挠度曲线刚进入平滑段,此阶段为非线性阶段,二者的荷载
挠度曲线呈非线
图2 荷载
挠度曲线
Fig.2 Loading-deflection curves
性变化且误差较小,随着荷载的增加斜率逐渐降低,刚度明显减弱.第3阶段为荷载
挠度曲线进入平滑段以后,此阶段随着挠度的增加荷载基本不变,表现出良好的受弯延性性能.由表2可以看出,模拟梁的极限承载力与试验梁相差仅为2%.可以得出,利用该模型和本构关系去模拟再生混凝土受弯性能是完全正确的.
表2 极限弯矩试验值和模拟值
Tab.2 Experimental and simulated values of ultimate bending moment
梁编号Mtu/(kN·m)Mcu/(kN·m)Mtu/McuRCB-0.779.9210.200.973RCB-1.1113.2113.680.965RCB-1.5117.8817.501.022RCB-1.9722.2223.120.961均值0.980
注:
为再生混凝土梁正截面受弯极限弯矩试验值;
为极限弯矩模拟值.
延性是指构件在达到极限承载力后,抵抗其变形的能力.为降低构件在外力作用下的脆性破坏,应考虑混凝土的延性设计,这对结构安全有重要意义,在抗震设防地区更加重要.
本文为精确分析再生混凝土少筋梁、适筋梁和超筋梁的界限配筋率以及不同配筋率、混凝土强度和混凝土种类的延性发展规律,对10根不同配筋率和3种混凝土强度及混凝土种类共13根梁进行数值模拟(钢筋采用HRB335),具体参数设计和模拟结果如表3所示.
对于C40混凝土,不同配筋率对应的荷载
挠度曲线如图3所示.由图3可知,随着配筋率的增加,极限承载力逐渐增大,配筋率为0.20%和0.23%时,荷载达到开裂值后突然下降,没有预兆,表现出明显的少筋梁脆性破坏特征,当配筋率增大到0.25%时,荷载
挠度曲线从明显脆性破坏特征转变为弯曲延性破坏;当配筋率为2.65%和2.57%时,由荷载
挠度曲线可知,当荷载达到极限承载力后,荷载突然下降,也无预兆,表现出明显的超筋梁脆性破坏特征,当配筋率下降到2.32%时,再生混凝土梁的破坏转变为具有一定延性的适筋梁破坏.因此,本文建议再生混凝土梁的最小配筋率与普通混凝土梁相当,为0.25%,最大配筋率为2.32%,较普通混凝土梁降低17.2%.
表3 模型梁参数及模拟结果
Tab.3 Parameters and simulated results of model beams
梁编号混凝土种类混凝土强度截面高度/mm截面宽度/mm配筋率/%保护层厚度/mm延性系数μRCB-1再生C402001200.20201.087RCB-2再生C402001200.23201.352RCB-3再生C402001200.252012.860RCB-4再生C402001200.282012.150RCB-5再生C402001200.50207.580RCB-6再生C402001201.12203.350RCB-7再生C402001202.02202.571RCB-8再生C402001202.32202.241RCB-9再生C402001202.57201.925RCB-10再生C402001202.65201.906RCB-11再生C302001201.12202.675RCB-12再生C502001201.12203.852RCB-13普通C402001201.12202.846
图3 不同配筋率下荷载
挠度曲线
Fig.3 Loading-deflection curves under different reinforcement ratios
当配筋率为1.12%时,混凝土强度对荷载
挠度曲线的影响如图4所示.由图4可知,混凝土强度从C30分别增加到C40和C50,极限承载力分别增加13.3%和17.6%.随着混凝土强度的提高,荷载
挠度曲线上升段的斜率增大,这是由于随着混凝土强度提高,再生混凝土梁的刚度增大.
图4 混凝土强度对荷载
挠度曲线的影响
Fig.4 Effect of concrete strength on loading-deflection curves
图5为混凝土种类对荷载
挠度曲线的影响.由图5可知,普通混凝土梁的极限承载力较再生混凝土梁要高.在极限荷载之前,二者的荷载
挠度曲线几乎重合,并无明显变化,当达到极限荷载后,二者的下降段出现显著变化,普通混凝土梁较为陡峭,而再生混凝土梁的下降段较为缓慢,这可能是由于普通混凝土梁的刚度退化速率较快,而再生混凝土梁的刚度退化速率较慢.
图5 混凝土种类对荷载
挠度曲线的影响
Fig.5 Effect of concrete type on loading-deflection curves
为了便于评定再生混凝土梁的弯曲延性指标,本文引入延性系数,即
μ=Δu/Δy
(4)
式中:Δu为荷载
挠度曲线下降到85%极限荷载时的位移;Δy为梁屈服时对应的位移.屈服点位移的获取采取等能量法,其计算结果如表3所示.
根据表3中的数据绘制出延性系数随配筋率的变化曲线,如图6所示.再生混凝土的少筋梁和超筋梁对应的延性系数均较小,其值均在1~2之间,延性明显不足,表现出明显的脆性破坏特征.在适筋梁范围内,梁的弯曲延性系数随着配筋率的减小而增大,这说明在适筋梁范围内,最小配筋率具有最好的变形能力,这一特征与普通混凝土梁相似.
图6 配筋率
延性系数曲线
Fig.6 Reinforcement ratio-ductility coefficient curve
根据表3的数据绘制出混凝土强度对延性系数的变化曲线,如图7所示.当混凝土强度从C30分别增大到C40和C50时,延性系数分别增加25.2%和14.98%,由此可见,随着再生混凝土强度的提高,延性也随之增大.
图7 混凝土强度对延性系数的影响
Fig.7 Effect of concrete strength on ductility coefficient
由表3可知,普通混凝土梁的延性系数为2.846,再生混凝土梁的延性系数为3.35,再生混凝土梁比普通混凝土梁的延性系数提高了17.7%,再生混凝土梁的延性与普通混凝土梁相比较好.这主要是因为再生混凝土梁在峰值荷载过后,其刚度退化速率较慢导致的.
本文通过分析得出以下结论:
1) 基于试验数据,利用ABAQUS有限元分析软件验证了再生混凝土梁模型的正确性.
2) 再生混凝土梁的弯曲延性较普通混凝土梁好,在适筋梁范围内,最小配筋率对应梁的弯曲延性最大,变形性能最好.
3) 再生混凝土梁的最小配筋率与普通混凝土梁基本相同,最大配筋率较普通混凝土梁降低约17.2%.本文建议再生混凝土梁的最小配筋率为0.25%,最大配筋率为2.32%.
[1]史才军,曹芷杰,谢昭彬.再生混凝土力学性能的研究进展 [J].材料导报,2016,30(23):96-103.
(SHI Cai-jun,CAO Zhi-jie,XIE Zhao-bin.Research progress in the mechanical properties of recycled agg-regate concrete [J].Materials Review,2016,30(23):96-103.)
[2]杜绍帅.混凝土受弯构件挠度控制的可靠度分析 [D].西安:西安建筑科技大学,2017.
(DU Shao-shuai.Reliability analysis on deflection control of concrete flexural members [D].Xi’an:Xi’an University of Architecture and Technology,2017.)
[3]杨璐,石旭武.钢筋混凝土梁塑性损伤模型的数值模拟 [J].沈阳工业大学学报,2016,38(1):97-101.
(YANG Lu,SHI Xu-wu.Numerical simulation of plastic damage model for reinforced concrete beam [J].Journal of Shenyang University of Technology,2016,38(1):97-101.)
[4]杨桂新,吴瑾,叶强.再生混凝土梁挠度计算方法研究 [J].工程力学,2011,28(2):147-151.
(YANG Gui-xin,WU Jin,YE Qiang.Study on deflection of recycled concrete beams [J].Engineering Mechanics,2011,28(2):147-151.)
[5]陈宗平,徐金俊,郑华海,等.再生混凝土基本力学性能试验及应力应变本构关系 [J].建筑材料学报,2013,16(1):24-32.
(CHEN Zong-ping,XU Jin-jun,ZHENG Hua-hai,et al.Basic mechanical properties test and stress-strain constitutive relations of recycled coarse aggregate concrete [J].Journal of Building Materials,2013,16(1):24-32.)
[6]胡少伟,黄逸群.混凝土轴拉加卸载随机损伤模型的建立与试验验证 [J].应用数学和力学,2017,38(6):652-662.
(HU Shao-wei,HUANG Yi-qun.A stochastic tensile damage model for loading/unloading of concrete and experimental validation [J].Applied Mathematics and Mechanics,2017,38(6):652-662.)
[7]高丹盈,陈刚,赵亮平,等.钢筋与钢纤维混凝土的黏结
滑移性能及其关系模型 [J].建筑结构学报,2015,36(7):132-139.
(GAO Dan-ying,CHEN Gang,ZHAO Liang-ping,et al.Bond-slip behavior and constitutive model between rebar and steel fibre reinforced concrete [J].Journal of Building Structures,2015,36(7):132-139.)
[8]李宝磊,宋立,樊成,等.FRP筋混凝土梁受弯性能影响因素的有限元分析 [J].水利与建筑工程学报,2015,13(3):100-104.
(LI Bao-lei,SONG Li,FAN Cheng,et al.Finite element analysis of the bending performance influencing factors of FRP reinforced concrete beams [J].Journal of Water Resources and Architectural Engineering,2015,13(3):100-104.)