高精度运动设备状态信息资源智能整合系统*

刘 丽

(天津城建大学 体育部, 天津 300384)

摘 要: 针对传统方法的信息资源整合重构精度低的问题,提出并设计基于SOA的高精度运动设备状态信息资源智能整合系统.设计设备运行状态监测模块,在该模块基础上采集运动设备状态信息,并进行设备状态诊断处理.对处理后的设备状态信息进行控制和分析,依据文件标签解析整合设备状态信息,获取解析后的特征信息与状态信息.解析并分类整合设备状态监测结果,完成信息资源智能整合.结果表明,该系统的运行容错系数在不同实验次数下均高于0.9,容错性强,信息资源整合后重构精度高,具有较强的可行性.

关 键 词: 智能整合系统; 运动设备; 信息整合; 控制; 解析; 查询; 状态信息资源; 诊断处理

运动设备状态信息的整合可以有效集中各类信息,是保障后期信息重构的有效手段[1-2],高效的设备信息资源整合算法可为运动设备状态检测和信息管理提供可靠的解决策略[3].近几年,设备信息整合相关研究成果涌现较多,乔茜华等[4]以纺织生产车间设备为研究对象,对设备生产中状态信息集成进行分析.论文利用工业以太网技术及PROFIBUS总线技术,实现各工序设备生产时数据信息联网,进而使整个信息管控系统具有一体化特性.李月芳等[5]针对风电机组状态信息进行管理,提出并设计了基于ARM的电机组状态信息整合系统,使用TCP/IP通信协议实现上位机和目标板间通信.赵志茹等[6]以提升煤炭企业设备状态信息管理精细化程度为目的,提出并设计了设备信息管理系统.论文描述了信息整合管理系统功能模块,并将该系统应用至某集团公司设备状态信息管理中.

以上方法以工业控制为主,针对运动设备状态信息整合仍处在一个全新的领域,运动智能设备的信息较为复杂,故本文提出并设计基于SOA的高精度运动设备状态信息资源智能整合算法.

1 状态信息资源智能整合系统框架

本文设计的智能信息整合系统框架如图1所示.图1中,SOA是一个面向服务的结构[7],SOA在设备状态信息资源整合中的应用主要为:系统整合设备运行状态监测模块,利用数据平台处理设备运行状态信息,并利用设备运行状态监控模块整合系统运行状态信息资源.通过数据分析,对状态量数据与特征量数据进行查询,诊断分析设备状态信息资源,并对设备状态信息资源进行备份和恢复,最终实现设备状态信息资源智能整合.

图1 系统框架
Fig.1 System framework

2 设备运行状态监控模块

作为企业设备状态信息资源整合系统的重要支撑,设备运行状态监控模块主要负责管理设备状态信息,同时进行分析使用,该模块分析能够为设备状态信息资源整合提供平台基础.该模块结构如图2所示.

图2 设备运行状态监控模块
Fig.2 Monitoring module for operating status of equipment

设备点检工作站以及服务器具有各自数据库,为设备管理奠定了基础.设备监测相关管理人员制定设备检修策略、备件计划以及生产技术均需基于设备状态开展,不仅要提供总体统计信息,还要给出详细的状态评估结果.数据分布式保存在各工作站中,假设服务器数据库产生了故障,则可以借助工作站恢复信息数据,任意数据库中数据丢失均不会造成整体数据彻底丢失,这也保障了系统容错性和可实践性[8-9].

依据上述监控模块,可完成对设备状态信息采集和设备状态诊断,具体分析如下:

1) 设备状态信息采集.设备的状态信息监测资源有测量量、显示量与观察量.为了更好地满足测量量信息资源采集需求,利用数据采集器定位点检信息,保障信息采集可靠性;为了更好地满足显示量与观察量信息采集需求,采用抄表仪实现信息点检.上述不同信息量利用不同方法采集,可有效保障设备状态信息检测准确性.

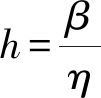
2) 设备状态诊断.监测设备运行状况比较复杂,合理的状态诊断方法是将全寿命周期监测当作重点,通过回溯设备历史状态信息,利用不断积累的经验分析判断设备状态.诊断原则为:任意时刻诊断故障率h大于或者等于故障率阈值h*时,维修警报立即响起,该状态下的诊断故障率表达式为

(1)

式中:β为故障次数;η为诊断总次数.

如何判断设备状态信息故障等级也是一个很重要的研究问题.首先需要检测运动设备状态,得出缺陷数据,估算得出设备信息包数量.

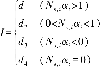
在获取到的信息包中,根据不同状态的信息分别判断故障等级,即

(2)

式中:αi为设备状态系数;Ns,i为故障信息包数量;d1d2d3d4分别为一级故障、二级故障、三级故障和正常信息.

3 设备状态数据处理

3.1 设备状态信息资源查询

查询作为对输入的各种类型数据信息查询和浏览部分,将在屏幕上实时显示和打印已经检索到的信息[10],以方便企业各个层次的领导和智能部门的查询,并对于同一个检索目标可以设定多次查询条件.在输入检索条件过程中,能够任意选择其中的一项或者多项,查询条件输入模式设计为模糊范围值输入,进而提升信息查询效率,提高系统容错性[11].具体设备状态信息查询过程如下:

Bi为路径i上的数据窗口大小,Ni为路径i上没有被确认的设备信息包数量,C为接收缓存大小,Mj为路径j上未被传输的设备信息总量,L为可用路径条数,则路径i上当前运动设备状态传输信息的模糊范围最大集合可表示为

(3)

对式(3)得到的传输信息模糊范围进行分段处理,不同信息段设置不同的模糊参数,综合完成对设备状态信息的查询[12],分段表达式为

vd=λln(1+A)m

(4)

式中:λ为查询特征参量;m为信息段数量.

3.2 设备状态信息资源备份和恢复

对一个大型的数据库而言,长年累月地存储各种类型信息资源会占用比较大的内存,所以在系统运行时,需要将一些信息资源在隔年或者季度之后,归档或者暂停使用.其次,信息资源需要通过磁盘拷贝存储,如果需要重复利用时再恢复,同时保障系统的容错性更强[13].

4 信息资源智能整合实现流程

为有效保障系统设计质量,首先需要对高精度运动设备状态信息进行解析,设x(t)为设备状态整体信息,其计算表达式为

x(t)=Wcos(ωct+θ)

(5)

式中:W为基本信息;t为信息运行时间;ωc为信号质控信息;θ为告警信息.

xAMFM(t)为设备状态的特征信息,其计算表达式为

xAMFM(t)=a(t)σ

(6)

式中:a(t)为带限信息;σ为特征系数.根据式(6)计算得到设备的状态算子,即

(7)

式中:为设备特征值;的变化量;q(t)为信息变量,当q(t)取值趋近于1时,高精度运动设备的状态算子表达式为

(8)

根据高精度运动设备的状态算子,可构建信息解析模型为

(9)

式中:F为运动设备最终状态数值;p1p2为不同的信息解析因子;q1q2为不同的设备状态反馈因子.

结合上述信息解析模型,可给出设备状态信息解析整合流程,如图3所示.图3数据解析整合过程中,先读取设备状态信息资源文件,并初始化现存设备状态信息和传感参数信息,依据文件标签解析文件.假设信息文件为质控信息,则依据质控信息格式解析并整合数据,存储至数据库;假设信息为基本信息,解析软件会依据设备状态信息判断当前设备存在与否,再将信息转交给信息存储模块;假设信息文件为设备性能信息,则依据设备性能信息数据格式得到设备性能信息,再转交给存储模块;假设数据为告警信息,则依据告警信息数据格式,解析整合文件得到告警信息,保存至数据库.

在信息资源系统中,总体运行部分也是系统设计的重要部分,图4为系统整体运行流程.图4中,当系统初始化之后,利用设备状态点检模块得到设备状态信息,将点检结果录入至相应数据库并备份.解析并分类整合设备状态点检结果,判断点检结果是否异常,如果异常则给出相应解决对策;如果不为异常信息,则正常传输上报,结束系统运行.

图3 设备状态信息解析整合流程
Fig.3 Flow chart of analysis and integration of equipment status information

图4 系统整体运行流程
Fig.4 Flow chart of overall operating of system

5 实验结果与分析

为验证基于SOA的高精度运动设备状态信息资源智能整合系统性能,进行了实验分析.实验对象为某市电力公司的输变电设备,将实验设备与PC机连接,每隔15 min采集一次数据,共采集30组数据进行仿真评价分析,图5为采集信息经过3种不同运行系统的容错性对比.

由图5可知,基于SOA的高精度运动设备状态信息资源智能整合系统运行容错系数在不同采集次数下均高于0.9,而文献系统运行容错系数平均较小,可靠性较差.主要原因为:所提系统为了增强系统运行容错性,将设备状态信息数据分布式保存在各工作站中,即使服务器数据库产生了故障,其能够借助工作站恢复信息数据,任意数据库中数据丢失均不会造成整体数据彻底丢失,设备状态点检模块保障了系统容错性.在信息资源检索模块中,将查询条件输入模式设计为以模糊范围值输入,以便提高系统容错性.

将系统采集信息的准确率与基于ARM的等电机组的检测准确性进行对比分析,对比结果如图6所示.由图6可知,基于ARM的等电机组状态信息整合系统设备状态检测准确率呈低低的状态,合理性较差.与该系统相比,所提系统为了更好地满足测量量信息资源采集需求,利用数据采集器定位点检信息;为了更好地满足显示量与观察量信息采集需求,采用抄表仪实现信息点检,不同信息量采用不同方法采集,保障了设备状态信息检测的准确性.

图5 不同系统运行容错性对比
Fig.5 Comparison in fault-tolerance for different systems

6 结 论

鉴于设备状态信息整合系统对设备运行方面的重要意义,提出并设计了基于SOA的高精度运动设备状态信息资源智能整合系统.通过实验证明了所提系统具有可靠性和准确性,可为该领域发展提供支撑.接下来的研究中,应注重对设备状态信息质量的分析,进而完成对高质量设备信息资源的优化整合,为设备的高精度控制和发展提供依据.

图6 不同系统设备状态检测准确性对比
Fig.6 Comparison in detection accuracy under different system equipment status

参考文献:

[1]段青玲,魏芳芳,张磊,等.基于Web数据的农业网络信息自动采集与分类系统 [J].农业工程学报,2016,32(12):172-178.

(DUAN Qing-ling,WEI Fang-fang,ZHANG Lei,et al.Agricultural network information automatic collec-tion and classification system based on Web data [J].Journal of Agricultural Engineering,2016,32(12):172-178.)

[2]祝恩国,刘宣,葛磊蛟.用电信息采集系统非结构化数据管理设计 [J].电力系统及其自动化学报,2016,28(10):123-128.

(ZHU En-guo,LIU Xuan,GE Lei-jiao.Management design for unstructured data in electrical information acquisition system [J].Proceedings of the CSU-EPSA,2016,28(10):123-128.)

[3]陈旭,杜国平.定向运动设备中无线通信模块的设计 [J].国外电子测量技术,2016,35(1):70-73.

(CHEN Xu,DU Guo-ping.Design of a wireless communication module in orienteering equipment [J].Foreign Electronic Measurement Technology,2016,35(1):70-73.)

[4]乔茜华,王永华.纺织生产车间自采集信息系统设计 [J].棉纺织技术,2016,44(4):6-9.

(QIAO Qian-hua,WANG Yong-hua.Design of self-collecting information system for textile production workshop [J].Cotton Textile Technology,2016,44(4):6-9.)

[5]李月芳,梁瑞宇.一种分布式风力机信息采集和状态监测系统的设计 [J].电子器件,2016,39(5):1270-1274.

(LI Yue-fang,LIANG Rui-yu.Design of a distributed information collection and condition monitoring system for wind turbine [J].Electronic Device,2016,39(5):1270-1274.)

[6]赵志茹,于雄飞.大型煤炭企业设备管理信息系统的研究与设计 [J].中国煤炭,2016,42(10):63-66.

(ZHAO Zhi-ru,YU Xiong-fei.Research and design of equipment management information system in large coal enterprises [J].Chinese Coal,2016,42(10):63-66.)

[7]畅卫功.嵌入式网络信息接口数据实时采集仿真 [J].计算机仿真,2017,34(9):274-277.

(CHANG Wei-gong.Real time data acquisition and simulation of embedded network information interface [J].Computer Simulation,2017,34(9):274-277.)

[8]张楠.基于移动终端的工程质量安全信息采集系统开发及应用 [J].施工技术,2016,45(18):29-32.

(ZHANG Nan.Development and application of engineering quality and safety information collection system based on mobile terminal [J].Construction Technology,2016,45(18):29-32.)

[9]余长慧,于海威,张文.海量水文管理数据信息整合与更新机制研究 [J].水利信息化,2017,5(5):6-11.

(YU Chang-hui,YU Hai-wei,ZHANG Wen.Study on mechanisms of massive hydrological management data information integration and updating [J].Water Resources Informatization,2017,5(5):6-11.)

[10]周文婷,王涛,袁鸣峰,等.基于北斗短报文通信的用电信息采集系统的研制 [J].电力自动化设备,2017,37(12):211-217.

(ZHOU Wen-ting,WANG Tao,YUAN Ming-feng,et al.Development of power information acquisition system based on Beidou short message communication [J].Power Automation Equipment,2017,37(12):211-217.)

[11]喻新荣,李志华,闫成雨,等.云数据中心高效的虚拟机整合方法 [J].计算机应用,2018,38(2):550-556.

(YU Xin-rong,LI Zhi-hua,YAN Cheng-yu,et al.High efficient virtual machines consolidation method in cloud data center [J].Journal of Computer Applications,2018,38(2):550-556.)

[12]李晨,王子健,常惠,等.基于FPGA的智能运动系统设计 [J].数字技术与应用,2017(11):172-173.

(LI Chen,WANG Zi-jian,CHANG Hui,et al.Design of intelligent motion system based on FPGA [J].Digi-tal Technology and Applications,2017(11):172-173.)

[13]邢文凯.基于云计算数据查询的安全索引构建方法 [J].沈阳工业大学学报,2018,40(2):198-202.

(XING Wen-kai.A construction method for security index based on data query in cloud computing [J].Journal of Shenyang University of Technology,2018,40(2):198-202.)

Intelligent integration system for status information resources of high-precision motion equipment

LIU Li

(Sports Department, Tianjin Chengjian University, Tianjin 300384, China)

Abstract In order to solve the problem of low precision of information resources integration and reconstitution through traditional methods, an intelligent integration system for status information resources of high-precision motion equipment based on SOA was proposed and designed. A monitoring module for equipment operating status was designed; the status information of motion equipment was collected on the basis of this module; the diagnosis process of equipment status was carried out. The equipment status information after processing was controlled and analyzed; the equipment status information was analyzed and integrated according to the file label; the characteristic and status information were obtained analytically. The equipment status monitoring results were analyzed, classified and integrated; the intelligent integration of information resources was completed finally. The results show that the fault-tolerant coefficient of system is higher than 0.9 under different experimental times, exhibiting stronger fault-tolerance; the reconstitution precision is higher after information resource integration, indicating stronger feasibility.

Key words intelligent integration system; motion equipment; information integration; control; analysis; inquiry; status information resource; diagnosis process

收稿日期 2019-01-11.

基金项目 国家自然科学基金资助项目(61640217).

作者简介 刘 丽(1982-),女,天津人,讲师,硕士,主要从事人体工程与智能运动控制等方面的研究.

*本文已于2019-08-28 13∶39在中国知网优先数字出版. 网络出版地址: http:∥kns.cnki.net/kcms/detail/21.1189.T.20190827.1659.010.html

doi:10.7688/j.issn.1000-1646.2019.05.13

中图分类号: TP 393

文献标志码:A

文章编号:1000-1646(2019)05-0549-06

(责任编辑:景 勇 英文审校:尹淑英)