低RAP掺量沥青混合料冻融性能试验*

张敏江, 李正楠, 方竹胜, 赵 爽

(沈阳建筑大学 交通工程学院, 沈阳 110168)

摘 要: 针对低掺量RAP热拌沥青混合料的抗冻融性能存在的一些问题,采用不同RAP掺量和不同级配类型的沥青混合料进行冻融劈裂试验.利用多元线性回归建立影响因素与强度比的关系,采用因子分析法找出主要的影响因子,并利用超景深显微镜及电镜分析沥青混合料的微观形貌.结果表明:AC-10材料的冻融劈裂强度比优于AC-13;随着RAP掺量的增加,冻融劈裂强度比随之下降;粒径1.18 mm以下的细集料与沥青的老化程度是影响冻融劈裂强度的关键因素.

关 键 词: 低掺量; 再生沥青混合料; 劈裂强度比; 抗冻性能; 因子分析; 微观扫描; 融合特性; 多元回归

掺加RAP热拌沥青混合料技术是将旧料再利用的技术之一,但过度强调沥青路面的高温和疲劳性能,对水稳定性没有进行过多考虑,会使路面出现过多水毁现象.国内外对于水损害的探索多数从矿料的级配调整、沥青与集料的粘附性机理以及微观特性等方面来研究.赵永利等[1]指出,真空饱和条件下测试沥青混合物的水稳定度高于马歇尔残余稳定度;冯俊领等[2]指出高温多雨地区的水温稳定指标,探索在室温水浴中进行全温高温循环一个月后,在冻融劈裂强度试验条件下,对不同标本进行混合料抗水毁能力评估;Edith等[3]开发了水分感应模拟试验(MIST)装置,可以模拟不同温度下的水压循环,结果可以很好地辨别不同沥青混合料抗冻能力的原因.

本文在研究大量国内外研究成果基础上,分析我国沥青混合料水稳定性的特点,从混合料的抗冻融性能角度出发,在不加再生剂的情况下,分别加入RAP(加热和不加热)含量为0%、10%、20%的混合料,进行劈裂试验来分析其抗冻性能.

1 原材料及混合料配合比设计

1.1 RAP材料

RAP取自抚顺市普通公路大中修工程中回收的材料,经过破碎处理及筛分后运回实验室进行自然风干,通过燃烧炉烧热后,对RAP中的沥青开展抽提试验.旧沥青性能指标如表1所示.

表1 旧沥青指标检测结果
Tab.1 Test results of old asphalt indexes

试验25℃针入度mm软化点℃15℃延度cm试验组12.4361.27.8试验组22.5662.38.5试验组32.4763.59.6试验组42.6862.910.7平均值2.5462.59.2

试验测得RAP中旧沥青含量为3.82%.考虑到具体取料和粗细集料的分布问题,以及RAP中本身的含水量问题,测得的旧沥青含量略微有些偏差.

1.2 新沥青

试验使用抚顺地区提供的沥青,通过试验检测,其材料指标如表2所示.

表2 新沥青指标检测结果
Tab.2 Test results of new asphalt indexes

试验25℃针入度mm软化点℃15℃延度cm试验组18.1246.3103.2试验组28.2147.2107.8试验组38.3447.7104.3试验组47.9947.1110.2平均值8.1947.1106.4

1.3 新旧集料

表3、4为新旧粗细集料性能.由表3、4可知,试验中需要的混合料为AC-10和AC-13两种类型,其主要成分为石灰岩材料,所选用集料为针片状,其压碎值等多个指标均在《公路沥青路面施工技术规范》(JTG F40-2004)范围内.

表3 新旧粗集料性能
Tab.3 Performances of new and old coarse aggregates

集料类型表观相对密度压碎值/%洛杉矶磨耗损失/%针片状颗粒含量/%旧集料2.8119.2019.3012.60新集料2.7514.6023.907.30规范要求≥2.50≤28≤30≤18

表4 新旧细集料性能
Tab.4 Performances of new and old fine aggregates

集料类型坚固性%含泥量%砂当量吸水率%旧集料13.42.272.30.39新集料14.82.981.20.97规范要求≥12≤3≥60≤3.0

1.4 沥青混合料配合比设计

试验中RAP材料加入量分别为0%、10%、20%,其中,RAP含量为其占混合料的百分比.混合料中的配合比具体要求如表5所示.

2 冻融试验与结果分析

沥青路面的抗冻性是指抵御因水的侵害导致出现沥青膜破损、松垮、粘附性不强而毁坏的能力.为了探究低RAP对混合料抗冻能力的影响,本文采用两种类型沥青混合料,在不同掺量RAP情况下,通过对比试验来进行研究.

表5 沥青混合料配合比设计
Tab.5 Design of mix proportion of asphalt mixtures %

矿料类型RAP矿粉粒径尺寸/mm0~33~55~1010~15AC-1004471138-AC-10105341437-AC-1020435932-AC-130526211038AC-1310425201031AC-1320423151028

2.1 试验方案及步骤

为了确保试验的精确性,规范要求每组平行试件不少于3个,本次每组取4个.针对AC-10、AC-13两种类型混合料,在3种RAP掺量下(0%、10%、20%)进行10组冻融劈裂试验,其中RAP料分为采用加热处理和未采用加热处理的情况,各4组合计8组,不添加RAP料的沥青混合料合计2组.将成型后的试件放在(-18±2) ℃恒温箱中,并且持续(16±1) h的养生.养生后对不同RAP掺量的沥青混合料进行冻融劈裂试验,按照《沥青及沥青混合料试验规程》(JTG E20-2011)进行操作.

通过一系列的试验,对冻融前后不同掺量RAP进行对比.冻融劈裂强度比公式为

式中:为已冻融劈裂强度平均值;为未冻融劈裂强度平均值.

2.2 试验结果分析

根据规范操作要求,对加入RAP的沥青混合料开展冻融试验,统计结果如表6所示.

表6 多种RAP掺量下沥青混合料的冻融劈裂检测
Tab.6 Freezing-thawing splitting determination of asphalt mixtures with various RAP contents

RAP类型RAP掺量冻前抗拉强度/MPa冻后抗拉强度/MPa劈裂强度比/%无RAP加热的RAP未加热的RAPAC-10 0%1.581.3887.34AC-13 0%1.511.2180.13AC-10 10%1.831.4579.23AC-10 20%1.921.4676.04AC-13 10%1.751.3174.85AC-13 20%2.061.4670.87AC-10 10%2.111.5975.43AC-10 20%2.331.8278.17AC-13 10%2.231.6673.94AC-13 20%2.581.9676.16

表6数据为试验结果的均值,可以看出,在排除试验误差的情况下,对于AC-10和AC-13两类混合料而言,随着RAP的不断增加,试件的劈裂抗拉强度也不断增大,在《公路沥青路面施工技术规范》(JTG F40-2004)的冻融劈裂强度比(TSR)大于二级及二级以下道路的要求范围.图1、2为在RAP料加热和未加热情况下,AC-10与AC-13随RAP料变化的冻融劈裂强度变化情况.

图1 加热的RAP冻融劈裂强度
Fig.1 Freezing-thawing splitting strength of heated RAP

由图1可知,AC-10与AC-13冻融强度随RAP掺量的增加而增加,并且呈现线性增长趋势.这是由于在RAP比例变多的过程中,细料不断增多,两种混合料的强度均增加.AC-10的细料多于AC-13,因此,AC-10在冻融后的强度损失低于AC-13.对于未加热的RAP而言,其强度略高于加热的RAP混合料,因为未加热的RAP在搅拌过程中细料分离得更多.加热的RAP中老化沥青有一部分与新沥青进行了交融,使得拌合后的调和沥青偏向老化.而未加热的RAP可以作为新集料的性质,其调和沥青的老化状态低于加热的RAP.但未加热的RAP在与新料融合过程中不是很均匀,其强度变化的规律性不强.

图2 未加热的RAP冻融劈裂强度
Fig.2 Freezing-thawing splitting strength of unheated RAP

冻融劈裂强度比(TSR)是衡量沥青混合料抗冻性的关键指标.图3为冻融劈裂强度比变化图.由图3可以看到,RAP含量在0%~20%时,其劈裂强度比在《沥青路面施工技术规范》(JTG F40-2004)标准的范围内.AC-10的冻融劈裂强度比远远大于AC-13,这是因为AC-10的细集料较多,从而能够提高抗冻性.随着RAP的增加,结合料中老化沥青所占比例增多,粘结性能不如新的沥青好,使得其劈裂强度比下降[4].对于加热或者不加热的RAP,随着RAP掺量不断增多,其与新旧沥青、矿料等结合都会出现不均匀的问题,从而导致粘附性下降.

图3 冻融劈裂强度比
Fig.3 Freezing-thawing splitting strength ratio

3 低RAP掺量混合料冻融性能

3.1 界面接触与冻融性能

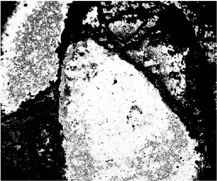
通过对RAP沥青混合料开展扫描电镜(SEM)观察,研究接触面的连接情况,判定其与水稳定性的关联.图4、5为加热与未加热两种情况下无尘电镜扫描图像.

图4 加热RAP与集料形貌图
Fig.4 Morphologies of heated RAP and aggregates

由于RAP原料经多年使用,其集料被老化的沥青包裹,吸收沥青能力下降,RAP掺量增多,其总体的油石比不断增加,所以沥青用量减少.由于RAP集料中旧沥青与新沥青存在不完全结合与交融作用,导致其抗冻性能略低于新集料.但混合料中老化的沥青较硬,破坏强度比无RAP沥青混合料小[5].图4中旧集料沥青受热后融化,从而粘附住旧料中的细料部分,细集料和新沥青形成的结合沥青增加了其强度,使得粗细粒料之间发生更好的嵌挤.而在未加热的RAP中,由于长期受荷载以及紫外线影响,旧料变得更为脆硬.在未加热情况下,旧沥青不会形成裹附,因此,图5中出现RAP与集料的不完全融合,导致未加热的RAP混合料融合性较低.

图5 未加热RAP与集料形貌图
Fig.5 Morphologies of unheated RAP and aggregates

沥青混合料主要分为沥青和骨料两部分,一般而言,沥青和粒料中的细料或者所掺加的矿粉在结合中起到粘附性作用.而沥青在混合料中主要有两种存在方式,一种为自由沥青,一种为结构沥青,起到粘附作用的主要为结构沥青.因此要对沥青的最佳用量进行一个合理定位,达到一个饱和状态.该粘附性作用可对抗冻性能起到决定性作用[6].

3.2 老化沥青对冻融性能的影响

对于沥青质而言,其许多极性分子,如—OH、—NH2和—COOH等会引发沥青质向沥青与水分子界面处活动,在表面形成强的结构膜[7].沥青质分子结构产生位移倾向.为了具体研究集料与沥青之间的界面变化,采用超景深显微镜在放大300倍条件下进行逐层扫描,并将每一次扫描进行合并[8],得到的平面图和3D海拔图如图6、7所示.

随着时间的延长,混合料中沥青部分发生上移,显示出矿料与沥青部分呈现高度差.图7中红色区域代表海拔升高地带,该地带多为沥青,绿色和蓝色区域代表集料及界面位置.通过上述图片能够看到融合情况,以及自由沥青因集料之间的挤压而发生位移[9],由于多余的沥青而使得混合料的结构发生变动.RAP不断增加使得细料含量变多,会导致沥青量增加,其在混合料中总体的比例发生变化.从针入度角度出发,RAP通过加热后沥青有部分融化,与新沥青进行融合,融合后沥青的老化程度升高,因此在劈裂强度试验中混合料会变得脆硬.

图6 混合料微观平面扫描
Fig.6 Micro plane scanning of mixture

3.3 冻融强度因素的因子分析

沥青混合料劈裂强度由很多因素决定,例如AC-10和AC-13两种不同类型的粒径、RAP所掺加的比例、矿料的级配、油石比、空隙率等.通过引入IBM SPSS进行回归分析来研究影响因素,对冻融劈裂前后的强度值,多种不同影响因素与冻融劈裂抗拉强度比进行拟合,找到主要影响因素.含低RAP掺量的材料合成后的级配以及混合料粒径通过的百分率如表7所示.

图7 混合料界面3D海拔扫描
Fig.7 3D elevation scanning of mixture interface

表7 不同混合料的级配合成
Tab.7 Synthesis of mixtures with different grading types %

集料类型RAP掺量方孔筛/mm1613.29.54.752.361.180.60.30.150.0750100100.099.470.236.920.713.49.37.66.4AC-101010099.697.264.832.819.513.59.98.47.32010099.295.063.133.920.514.19.98.16.9010096.773.452.526.715.310.68.27.26.5AC-131010096.976.053.727.415.911.08.06.86.02010096.875.851.227.516.912.08.77.36.4

由于不同档料的粒径很多,将其按照粗细划分,主要对其细料粒径进行划分,分为>4.75 mm,1.18~4.75 mm,0.3~1.18 mm,<0.3 mm四档不同类型,分别用矿料1~4来表示,其空隙率、矿料粒径、油的含量、TSR平均值如表8所示.

表8 不同混合料的影响因素指标
Tab.8 Influencing factor indexes of different mixtures

混合料类型TSR均值空隙率/%油石比矿料1/%矿料2/%矿料3/%矿料4/%AC-10 0%87.613.914.9029.8049.5011.409.30AC-10 10%79.145.304.8035.2045.309.609.90AC-10 20%76.255.504.4036.9042.6010.609.90AC-13 0%81.265.044.8047.5037.207.108.20AC-13 10%75.344.354.7046.3037.807.908.00AC-13 20%70.904.104.2048.8034.308.208.70

利用SPSS软件进行多元回归分析,逐步分析各个影响因素,对次要影响因素进行一一排除,对主要影响因素建立回归分析,在置信区间大于等于95%的情况下,排除粒径为1.18~4.75 mm及4.75 mm以上两档混合料的影响,对其他5个影响因素进行诊断,从而得出影响因素之间的相关性表达.提取主要作用的成分,令y1y2为AC-10和AC-13中劈裂强度的因变量,x1x2x3x4分别为油石比、矿料3、矿料4以及RAP掺量.

AC-10与AC-13表达式分别为y1=189.7-6.197x1-5.984x2-4.427x3-26.358x4y2=292.89-26.044x1-2.049x2-5.839x3-112.59x4,从而确定了劈裂强度比与因变量的多元线性联系.在降维因子分析中,首先开始KOM和Bbartlett检测,按降序第一因子进行排序,获得旋转后的因子载荷,从而得到旋转前后的主成分系数[10].

表9为采用Kaiser旋转前后计算得到的成分矩阵,由因子的得分情况及旋转前后的数值变化,找出影响劈裂强度比的关键因素.

表9 旋转前后的因子荷载矩阵
Tab.9 Factor loading matrix before and after rotation

类型旋转前因子矩阵成分1成分2旋转后因子矩阵成分1成分2成分得分系数矩阵成分1成分2空隙率0.3790.4050.5040.2320.1640.149油石比0.524-0.7970.185-0.935-0.025-0.414矿料1-0.9910.003-0.9160.376-0.2320.096矿料20.982-0.1470.854-0.5060.204-0.161矿料30.8990.2490.927-0.1090.2580.028矿料40.8370.5100.9680.1570.2920.153RAP-0.2550.9400.1180.9670.1150.454

4 结 论

本文通过分析得出以下结论:

1) AC-10混合料的抗冻性能优于AC-13,因为AC-10的细集料部分较多,能够充分填充骨架孔隙.

2) 随着RAP掺量的增加,劈裂强度比主要呈现下降趋势.通过微观扫描分析形貌结构可知,加热的RAP融合性能更好,但是加热后整体沥青老化程度较高,对RAP是否进行加热对劈裂强度比变化影响不明显.因此,在工程实际中考虑到经济需要时可以不对旧料进行加热.

3) 通过因子分析确立因变量与主要自变量间的关联,找到主要因素,在荷载矩阵中进行旋转.

参考文献:

[1]赵永利,黄晓明,吴震.沥青混合料水稳定性的试验研究 [J].东南大学学报,2001,31(3):99-102.

(ZHAO Yong-li,HUANG Xiao-ming,WU Zhen.Experimental study on water stability of asphalt mixture [J].Journal of Southeast University,2001,31(3):99-102.)

[2]冯俊领,郭忠印,陈崇驹,等.高温多雨条件下沥青混合料水损害模拟研究 [J].建筑材料学报,2007,10(5):548.

(FENG Jun-ling,GUO Zhong-yin,CHEN Chong-ju,et al.Simulation study on water damage of asphalt mixture under high temperature and heavy rainfall [J].Journal of Building Materials,2007,10(5):548.)

[3]Edith A,Eyad M,Amy E M.Influence of air void distribution on moisture susceptibility of asphalt mixes [J].Journal of Materials in Civil Engineering,2007,19(8):655-656.

[4]杨成.RAP掺量对再生沥青及再生沥青混合料性能的影响 [J].公路工程,2016,41(6):299-302.

(YANG Cheng.Effect of RAP content on the performance of recycled asphalt and recycled asphalt mixture [J].Journal of Highway Engineering,2016,41(6):299-302.)

[5]安平,胡宗文.不同RAP掺量对混合料抗水损害性能的影响 [J].科技视界,2016(8):178-179.

(AN Ping,HU Zong-wen.Effects of different RAP contents on water damage performance of mixtures [J].Science and Technology Horizon,2016(8):178-179.)

[6]史建军,陈四利,刘作涛,等.冻融环境对聚合物水泥砂浆粘结强度的影响 [J].沈阳工业大学学报,2015,37(6):705-709.

(SHI Jian-jun,CHEN Si-li,LIU Zuo-tao,et al.Effects of freeze-thaw environment on bond strength of polymer cement mortar [J].Journal of Shenyang University of Technology,2015,37(6):705-709.)

[7]王元.集料沥青胶浆界面粘结特性研究 [D].哈尔滨:哈尔滨工业大学,2015.

(WANG Yuan.Aggregate-asphalt mortar interface bonding characteristics [D].Harbin:Harbin Institute of Technology,2015.)

[8]王娇.新旧沥青融合多尺度评价研究 [J].当代化工,2017,46(8):1527-1530.

(WANG Jiao.Multi-scale evaluation of new and old asphalt blending [J].Contemporary Chemical Engineering,2017,46(8):1527-1530.)

[9]王旭东.集料岩性及微观特征对沥青混合料路用性能的影响研究 [D].长春:吉林大学,2014.

(WANG Xu-dong.Study on the influence of aggregate lithology and microcosmic characteristics on the road performance of asphalt mixture [D].Changchun:Jilin University,2014.)

[10]邓美玲.交通评价定量指标的分析方法探索 [J].统计与管理,2017(2):71-72.

(DENG Mei-ling.Exploration on quantitative index of traffic evaluation [J].Statistics and Management,2017(2):71-72.)

Freezing-thawing experiments for asphalt mixtures with low RAP contents

ZHANG Min-jiang, LI Zheng-nan, FANG Zhu-sheng, ZHAO Shuang

(School of Traffic Engineering, Shenyang Jianzhu University, Shenyang 110168, China)

Abstract In order to solve some existing problems of anti-freezing-thawing performances of hot-mixed asphalt mixtures with low RAP contents, freezing-thawing splitting experiments were carried out for the asphalt mixtures with different RAP contents and different grading types. The relationship between influencing factors and strength ratio was established with the multivariate linear regression, and main influencing factors were discovered with the factor analysis method. In addition, the microstructure of asphalt mixture was analyzed with the microscope with super field depth and scanning electron microscope (SEM). The results show that the freezing-thawing splitting strength ratio of AC-10 is better than that of AC-13. With the increasing RAP contents, the freezing-thawing splitting strength ratio decreases. The fine aggregates with grain sizes below 1.18 mm and the aging degree of asphalt are key factors affecting the freezing-thawing splitting strength.

Key words low content; asphalt mixture; splitting strength ratio; frost resistance; factor analysis; microscopic scanning; fusion feature; multivariate regression

收稿日期 2017-09-28.

基金项目 国家自然科学基金资助项目(51178278); 辽宁省交通厅科技攻关项目(201608).

作者简介 张敏江(1960-),男,辽宁锦州人,教授,博士,主要从事路面结构和道路养护等方面的研究.

*本文已于2018-10-17 09∶15在中国知网优先数字出版. 网络出版地址: http:∥kns.cnki.net/kcms/detail/21.1189.T.20190904.1059.002.html

doi:10.7688/j.issn.1000-1646.2019.05.18

中图分类号: TM 343

文献标志码:A

文章编号:1000-1646(2019)05-0578-06

(责任编辑:钟 媛 英文审校:尹淑英)