带约束拉杆L形方钢管混凝土组合柱轴压性能*

杨秀荣, 姜谙男

(大连海事大学 道路与桥梁工程研究所, 辽宁 大连 116026)

摘 要: 为了研究带约束拉杆L形方钢管混凝土组合长柱的轴压性能,采用有限元软件ANSYS数值模拟和试验对比方法分析了带约束拉杆L形组合长柱的轴压性能,通过分析带约束拉杆L形组合长柱整体构件的屈曲模态、变形图以及各个部件的应力云图,验证了构件具有较高的受压承载力.结果表明,在钢管内部添加约束拉杆增强了钢管对混凝土的约束效应,提高了混凝土的轴心抗压强度与构件的整体承载力,为构件的工程应用提供了依据.

关 键 词: 约束拉杆; 组合柱; 轴压性能; 屈曲模态; 有限元; 非线性分析; 约束效应; 承载力

钢管混凝土结构[1]在实际工程中使用广泛,方形钢管混凝土结构具有制作、施工方便,节点型式灵活,易满足建筑要求,截面相对展开,惯性矩大,稳定性好,适合做压弯构件等优势[2],但由于建筑专业需求,具有灵活截面形式的异形柱[3-4]越来越引起工程技术界的重视.由于在初期设计中方形或矩形柱本身凸出墙面,必定占用建筑的使用空间,而通过采用异形柱(如角柱采用L形截面,边柱采用T形截面,中柱采用十字形截面)可以解决以上问题,从而增加了建筑空间[5-6].

以L形、T形和十字形截面为代表的组合柱具有灵活的截面形式,可避免室内柱楞外露,便于家具摆放,并有利于提高建筑空间的利用率,但在单肢柱中钢管对核心混凝土的约束作用主要集中在角部,周边约束比较弱,承载能力相对较低,导致钢管与混凝土的协同作用较差[7-8].

为了增强钢管对核心混凝土的约束作用,延缓或防止钢管的局部屈曲,提出了设置钢筋(钢板条)加劲肋的构造措施[9],即在每个单肢柱中沿纵向每隔一定间距在横截面上设置单个或多个水平约束拉杆,以提高钢管侧边中部对核心混凝土的约束作用,从而避免或延缓了钢管在达到屈服强度前的局部屈曲,使得钢材和混凝土两种材料的性能得到进一步发挥,进而提高了钢管混凝土柱的承载力和延性,同时增强了L形方钢管混凝土组合异形长柱的力学性能.带约束拉杆L形组合长柱的截面图和构造图如图1所示.

图1 带约束拉杆L形组合长柱
Fig.1 L-shaped long composite column with restraint bars

1 本构模型

1.1 混凝土本构关系模型

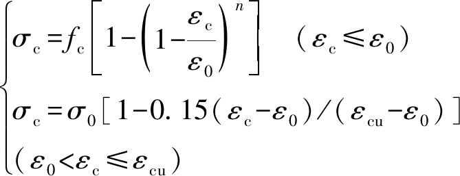
混凝土的本构关系[10]可以分为线弹性、非线性弹性、弹塑性和其他力学理论四类.本文所采用的混凝土本构关系上升段采用GB50010-2010《混凝土结构设计规范》,下降段则采用Hongnestad处理方法,相关表达式为

式中:σc为极限抗压强度;εcu为极限压应变,理论分析时εcu=0.003 8,进行构件设计时εcu=0.003;ε0为峰值压应变;σ0=0.85fcfc为混凝土抗压强度.

在有限元软件ANSYS中,上述混凝土的本构曲线可以用一系列数据点进行拟合输入.本文采用应用较广的多线性随动强化模型MKIN来模拟混凝土,混凝土的单轴应力应变关系曲线如图2所示.

图2 混凝土的应力应变曲线
Fig.2 Stress-strain curve of concrete

1.2 钢管本构关系模型

当钢材达到强化阶段时,其变形很大,然而这种情况在实际工程中是不允许的.因此,钢材的本构关系常被简化为理想的弹塑性模型(见图3).对于理想弹塑性模型而言,当应力达到或超过屈服应力后,不需施加任何荷载,变形仍能自由增加.

图3 理想弹塑性模型
Fig.3 Ideal elastic-plastic model

2 试验概况

以未带约束拉杆构件试验为参考[11],在异形长柱轴压性能研究中采用Q235B钢板,钢管内填充的混凝土等级为C40,缀条采用Q235B钢板,方钢管内的约束拉杆采用HRB335钢筋.缀条、方钢管、混凝土和约束拉杆的力学性能指标分别如表1~3所示.

长柱试件柱高为2 000 mm,单肢截面宽为100 mm,因而长柱单肢高宽比L/D=20,钢管截面尺寸为100 mm×100 mm×5.75 mm,缀条尺寸为100 mm×40 mm×10 mm.长柱试件尺寸如图4所示(单位:mm).

表1 钢材的材料特性
Tab.1 Material properties of steel

材料屈服应力MPa极限应力MPa弹性模量1011Pa钢板(缀条)2294291.89方钢管2744154.11

表2 混凝土的材料特性
Tab.2 Material properties of concrete

材料配合比(/kg·m-3)水泥砂子石子水轴心抗压强度MPa立方体抗压强度MPa弹性模量1010Pa砼353696108817539.649.74.33

表3 约束拉杆的材料特性
Tab.3 Material properties of restraint bars

材料屈服强度/MPa极限强度/MPa直径/mm水平间距/mm竖向间距/mm约束拉杆3355101050200

3 有限元分析

3.1 力学假定与有限元模型

在带约束拉杆L形方钢管混凝土组合异形长柱的轴压性能分析中,需要进行如下假定[12]:带约束拉杆L形方钢管混凝土组合柱从开始受力直至破坏,顶端受压截面始终保持为平截面;钢管和混凝土之间的接触为充分粘结,且二者变形协调;约束拉杆和混凝土之间充分粘结,且二者变形协调;缀条与钢管之间充分粘结,且二者变形协调;剪切变形的影响忽略不计;忽略混凝土徐变和收缩的影响;不考虑钢管局部焊接残余应力与受拉区核心混凝土抗拉强度的影响.

带约束拉杆L形方钢管混凝土组合异形长柱的有限元模型如图5所示.

3.2 单元选取与网格划分

采用SOLID186单元模拟混凝土.SOLID186单元为高阶三维20节点实体单元,该单元中的每个节点都有三个自由度,即沿节点坐标系xyz方向的三个平动自由度.SOLID186单元具有应力强化、大变形等特性,此外,还具有超弹、黏弹和单元技术自动选择等特性.SOLID186具有结构实体和分层实体两种形式,可以通过KEYOPT(3)进行设置,本文采用SOLID186结构实体.采用SHELL281单元进行钢材模拟.SHELL281单元为8节点有限应变壳单元,被广泛应用于模拟薄壳至中等厚度的壳结构.SHELL281单元的每个节点都有6个自由度,除具有沿节点坐标系xyz三个方向的三个平动自由度外,还具有绕各轴的转动自由度.采用接触单元模拟钢管与混凝土之间的接触.其中,目标单元采用TARGE170单元,接触单元采用CONTA174单元,且二者都属于3D 8节点单元.采用LINK8单元模拟约束拉杆.LINK8单元是一种被广泛应用于多种工程实际的杆单元,可以用来模拟桁架、垂缆、杆件、弹簧等.LINK8杆单元只能承受单轴方向上的拉压,该单元的每个节点上都有三个自由度,即节点坐标系xyz方向的三个平动自由度.在有限元模拟中,假设LINK8单元为直杆,在端部施加的荷载为轴向荷载,材料特性沿全长均质,且单元长度和横截面不能为零.

由于带约束拉杆L形组合柱的有限元模型形状比较规则,因而本文采用映射网格进行划分.在对钢管和缀条设置映射网格划分单元数目时,需要确保钢管与缀条接触面处的节点重合,然后再将这些重合节点合并,从而可以保证钢管和缀条在这些节点处(即焊接处)变形协调.采用六面体单元SOLID186对混凝土进行映射网格划分.完成有限单元划分后,需要将钢管与缀条重合的节点进行耦合,并将钢管与约束拉杆、混凝土重合的节点分别进行约束.

图4 长柱试件尺寸
Fig.4 Size of long column specimen

图5 L形组合长柱的有限元模型
Fig.5 Finite element model for L-shaped long composite column

3.3 接触单元设置与加载

有限元软件ANSYS中连接不同类型单元的接触算法有多种,本文采用的是多点约束(MPC)算法.MPC算法是由ANSYS内部根据接触运动自动建立多点约束方程.采用MPC算法并将其与绑定或不分离等选项结合,可定义各种装配接触和运动约束,这种功能非常适合CONTA171~177单元.

采用MPC算法可以实现不连续且自由度不协调的网格单元之间的连接、不同单元类型之间的连接,以及施加荷载或约束条件等功能.在有限元建模过程中,需要对接触单元的接触方向进行定义.接触面与目标的外法线方向必须互指,同时接触单元与目标单元的单元法向也必须互指(见图6),否则在开始有限元计算前,程序可能认为二者之间存在过度侵入并难以找到初始解,此时程序会立刻停止运行.

图6 外法线方向
Fig.6 Direction of outside normal

可用命令PSYMB显示单元坐标系进行法线方向检查,如果单元法向不指向对应面,选择该单元并采用命令ESURF反转表面法线的方向,或采用命令ENORM重新定义单元方向,结果如图7所示.

图7 接触单元法向图
Fig.7 Normal direction of contact element

带约束拉杆L形组合柱有限元模型建成以后,对其施加边界条件,即将柱底端所有节点进行约束,并对柱顶端所有节点的水平自由度进行约束,竖向自由度进行耦合.保证在加载过程中柱顶端保持水平截面.边界条件施加完成后,对顶端施加竖向位移荷载.

3.4 长柱轴压分析

当对长柱进行轴压模拟时,需要对其进行屈曲分析.屈曲分析[13]是一种用于确定结构从开始变得不稳定时的临界荷载并确定结构发生屈曲响应时有哪些屈曲模态形状的分析方法.在有限元软件ANSYS中用来分析结构屈曲荷载和屈曲模态的方法包括特征值(线性)屈曲分析和非线性屈曲分析.特征值屈曲分析即为线性分析,通过该分析可以对结构临界失稳力进行预测.

长柱的屈曲分析步骤为:首先进行静力分析,在柱顶面施加单位压力并激活预应力选项,再对其进行特征值屈曲分析,并将特征屈曲分析得到的一阶特征值屈曲模态进行扩展.在ANSYS中的特征值屈曲分析中,通过分析可以得到结构的屈曲荷载系数和相应的屈曲模态,将屈曲系数与外加的单位荷载相乘即可得到屈曲荷载.通过特征屈曲分析得到的长柱五阶屈曲模态如图8所示.由于特征值屈曲分析是非线性屈曲分析的初步评估,因此,在非线性屈曲分析之前,读取千分之一的一阶特征值屈曲变形,将其作为初始缺陷施加到长柱有限元模型中.当对长柱进行非线性屈曲分析时,需要打开自动时间步和大变形效益开关,并在长柱顶端施加由一阶特征值屈曲模态中得到的屈曲荷载系数所确定的临界荷载,之后进行迭代求解直到计算发散为止.

图8 长柱屈曲模态
Fig.8 Buckling modes of long column

完成长柱的屈曲分析后,进行ANSYS时程后处理,得到长柱试件的荷载位移曲线,结果如图9所示.由图9可知,带约束拉杆L形组合长柱的轴压极限承载力为4 136 kN,此时长柱顶端(加载端)的竖向位移为3.12 mm.与L形方钢管混凝土组合异形长柱[12]相比,在相同的竖向位移下带约束拉杆L形组合长柱所对应的极限承载力较高.

通过ANSYS时程后处理,可以得到带约束拉杆L形方钢管混凝土组合异形长柱顶端竖向位移的位移时间曲线,结果如图10所示.由图10可知,在位移加载前期带约束拉杆L形方钢管混凝土组合长柱的位移呈线性增长,当竖向位移约达到3 mm后,位移突增,并呈现出一定的失稳特点.

3.5 长柱破坏形式与应力云图

带约束拉杆L形方钢管混凝土组合异形长柱试件变形图如图11所示.由图11可见,长柱整体和单肢柱在长柱中间部位都发生了较大的弯曲变形,而单肢柱的变形更为明显.

图9 长柱试件的荷载位移曲线
Fig.9 Load-displacement curves of long column specimen

通过ANSYS通用后处理,可以得到长柱试件破坏时的等效应力云图,结果如图12所示.由图12a、b可知,当带约束拉杆L形方钢管混凝土组合异形长柱试件破坏时,钢管和混凝土都达到了极限应力.由图12c、d可知,作用于缀条和约束拉杆上的应力较小,且受压侧应力大于受拉侧应力,但两侧均未破坏.

图10 长柱试件的位移时间曲线
Fig.10 Displacement-time curve of long column specimen

图11 长柱试件的变形图
Fig.11 Deformation diagram of long column specimen

4 结 论

采用有限元软件ANSYS对带约束拉杆L形方钢管混凝土组合长柱进行有限元分析和试验对比,可以得出以下结论:

1) 通过设置钢筋(钢板条)加劲肋的构造措施,提高了钢管在侧边中部对核心混凝土的约束作用,延缓了钢管在达到屈服强度前的局部屈曲,从而提高了钢管混凝土柱的承载力和延性,增强了L形方钢管混凝土组合异形长柱的力学性能;

2) 在位移加载前期带约束拉杆L形方钢管混凝土组合长柱的位移呈线性增长,但随着时间的增长,位移突增,此时组合长柱变现出一定的失稳特点;

图12 长柱试件破坏时的等效应力云图
Fig.12 Equivalent stress nephograms of long column specimen after failure

3) 在轴压变形过程中,整体和单肢柱在长柱中间部位都发生了较大的弯曲变形,而单肢柱的变形更为明显;

4) 通过与未带约束拉杆的L形方钢管混凝土组合长柱的轴压性能进行对比可知,带约束拉杆组合长柱的承载力和延性都得到了提高,可用于实际工程结构中.

参考文献:

[1]田存.方钢管混凝土组合异形柱住宅体系工程应用研究 [D].邯郸:河北工程大学,2017.

(TIAN Cun.The application of residential building system for using special-shaped concrete filled square steel tubular structure [D].Handan:Hebei University of Engineering,2017.)

[2]刘凯,杨晓明,杨秀雷,等.钢管混凝土组合异形柱结构抗震性能分析 [J].工程建设,2017,49(5):12-20.

(LIU Kai,YANG Xiao-ming,YANG Xiu-lei,et al.Study on seismic behavior of special-shaped column composed of concrete-filled steel tubes [J].Engineering Construction,2017,49(5):12-20.)

[3]周婷.方钢管混凝土组合异形柱结构力学性能与工程应用研究 [D].天津:天津大学,2012.

(ZHOU Ting.Mechanical behavior and engineering application of special-shaped column composed of concrete-filled square steel tubes[D].Tianjin:Tianjin University,2012.)

[4]陈志华,陈俊,闫翔宇,等.汶川方钢管混凝土组合异形柱结构设计 [J].建筑结构,2013(增刊1):1350-1354.

(CHEN Zhi-hua,CHEN Jun,YAN Xiang-yu,et al.Design of special-shaped column composed of concrete-filled square steel tubes structure in Wenchuan [J].Building Structure,2013(Sup1):1350-1354.)

[5]张广泰,李凤彬,荣彬.L形方钢管混凝土组合异形柱单向压弯稳定性研究 [J].建筑结构,2015(8):69-73.

(ZHANG Guang-tai,LI Feng-bin,RONG Bin.Research on unidirectional compression-bending stability of L-shaped specially-shaped column composed of concrete-filled square steel tube [J].Building Structure,2015(8):69-73.)

[6]李文,杨思雨,那昱.GFRP管混凝土钢管组合柱轴压性能 [J].沈阳工业大学学报,2017,39(3):346-351.

(LI Wen,YANG Si-yu,NA Yu.Axial compression performance of GFRP-concrete-steel tubular composite column [J].Journal of Shenyang University of Technology,2017,39(3):346-351.)

[7]宋力,杨秀荣.双层高强箍筋约束高强混凝土不同截面柱的受力 [J].辽宁工程技术大学学报(自然科学版),2016,35(12):1449-1453.

(SONG Li,YANG Xiu-rong.Mechanical performance analysis of double-layered high-strength stirrup confined concrete columns of different cross-section [J].Journal of Liaoning Technical University(Natural Science),2016,35(12):1449-1453.)

[8]吴邦睿,杨秀荣,樊成.带约束拉杆L形方钢管混凝土组合异形柱的受力研究 [J].水利与建筑工程学报,2017,15(3):157-160.

(WU Bang-rui,YANG Xiu-rong,FAN Cheng.Mechanical performance analysis of L shaped concrete-filled square steel tubular composite columns with restraint bars [J].Journal of Water Resources and Architectural Engineering,2017,15(3):157-160.)

[9]马清华.带约束拉杆L形钢管混凝土短柱的偏压基本力学性能研究 [D].广州:华南理工大学,2010.

(MA Qing-hua.Study on the behavior of L-shaped CFT stub columns with binding bars subjected to eccentric compression [D].Guangzhou:South China University of Technology,2010.)

[10]郭亚方.基于ABAQUS的T型截面钢管混凝土异形柱抗震性能研究 [D].邯郸:华北理工大学,2017.

(GUO Ya-fang.Seismic performance analysis for T column with concrete filled steel tube basing on ABAQUS [D].Handan:North China University of Science and Technology,2017.)

[11]刘记雄.T形钢管混凝土组合柱钢筋混凝土梁边节点抗震性能研究 [D].武汉;武汉理工大学,2015.

(LIU Ji-xiong.Study on earthquake resistance beha-vior of reinforced concrete beam to T-shaped concrete-filled rectangular composite tubular column exterior joint [D].Wuhan:Wuhan University of Technology,2015.)

[12]荣彬.方钢管混凝土组合异形柱的理论分析与试验研究 [D].天津:天津大学,2009.

(RONG Bin.Theoretical analysis and experimental study on special-shaped column composed of concrete-filled square steel tubes [D].Tianjin:Tianjin University,2009.)

[13]王颖,易坤.钢管混凝土结构及钢结构单层单跨框架力学性能分析 [J].沈阳工业大学学报,2018,40(1):115-120.

(WANG Ying,YI Kun.Analysis on mechanical pro-perties of concrete filled steel tube and steel structures with single story and single span frame [J].Journal of Shenyang University of Technology,2018,40(1):115-120.)

Axial compression properties of L-shaped concrete-filled square steel tubular composite columns with restraint bars

YANG Xiu-rong, JIANG An-nan

(Institute of Road and Bridge Engineering, Dalian Maritime University, Dalian 116026, China)

Abstract In order to study the axial compression properties of L-shaped concrete-filled square steel composite columns with restraint bars, the axial compression properties of L-shaped long composite columns with restraint bars were analyzed by a numerical simulation method using finite element software ANSYS and an experimental comparison method. Through analyzing buckling mode, deformation diagram and stress nephogram of each part in L-shaped long composite column, it is verified that the component has a higher compression-bearing capacity. The results show that the employment of restraint bars in steel tube can enhance the constraint effect of steel tube on concrete and improve the axial compression strength of concrete as well as the overall bearing capacity of components, providing a basis for subsequent application of components.

Key words restraint bar; composite column; axial compression property; buckling mode; finite element; nonlinear analysis; constraint effect; bearing capacity

收稿日期 2017-10-31.

基金项目 国家自然科学基金资助项目(51678101); 中央高校基本科研业务费专项基金资助项目(3132014326).

作者简介 杨秀荣(1991-),女,山东德州人,博士生,主要从事工程稳定性分析等方面的研究.

*本文已于2019-08-28 15∶58在中国知网优先数字出版. 网络出版地址: http:∥kns.cnki.net/kcms/detail/21.1189.T.20190827.1656.006.html

doi:10.7688/j.issn.1000-1646.2019.05.21

中图分类号: TU 398.9

文献标志码:A

文章编号:1000-1646(2019)05-0594-07

(责任编辑:尹淑英 英文审校:尹淑英)