基于电流预测控制的永磁同步电机矢量控制策略*

杜 川

(新乡学院 机电工程学院,河南 新乡 453003)

摘 要:针对传统永磁同步电机控制系统存在动态响应速度和稳态精度较差的问题,提出了一种基于电流预测控制的永磁同步电机矢量控制策略.在传统矢量控制的基础上引入模型预测控制来代替传统电流PI控制,将永磁同步电机的数学模型离散化,并根据开关状态的选择建立评价函数.基于上述理论分析,在Matlab/Simulink环境中建立了仿真模型.结果表明,所提出的永磁同步电机矢量控制策略具有较快的响应速度和较小的超调,且稳态转速与电流波动较小.

关键词:永磁同步电机;矢量控制;预测控制;离散化;评价函数;仿真;动态性能;稳态精度

随着永磁材料与现代电力电子技术的快速发展,永磁同步电机因具有结构简单以及功率密度、效率、转矩惯量比均较高等优势,在航空、汽车和新能源发电领域得到了广泛应用[1-2].为了提高永磁同步电机的控制性能,德国学者Blaschlk在1971年提出了一种先进的矢量控制策略,与传统的电机转速开环控制相比,矢量控制更有利于系统的动态和静态性能优化,矢量控制的出现使得电机技术的发展进入了全新阶段[3-4].在此后的一段时间内,矢量控制被广泛应用于工业系统,国内外学者在矢量控制的基础上展开了大量的永磁同步电机控制技术研究,矢量控制系统中最常用的控制手段为PI控制,PI控制具有实现简单、鲁棒性强等优点,但PI控制器的参数设置常常依赖于工程经验,且具有较慢的动态响应特性和较低的稳态精度,因而该控制具有一定的局限性[5-6].针对上述问题,文献[7-8]提出了一种永磁同步电机模糊控制算法,该算法可适用于控制参数未知的情况;文献[9-10]提出了一种永磁同步电机人工智能控制算法.上述算法能够在一定程度上提高电机控制系统的稳定性,但该类算法较为复杂,不易于实现,难以在实际工程中得到大规模的推广应用.

本文提出了一种基于电流预测控制的永磁同步电机矢量控制策略.在充分研究传统矢量控制的基础上,引入电流预测控制思想,解决传统电流PI控制动态响应速度和稳态精度难以达到最佳值的问题.通过Matlab/Simulink验证了所提控制方法具有较好的动态响应特性和稳态精度.

1 永磁同步电机矢量控制

1.1 数学模型

对于永磁同步电机而言,常用的分析坐标系有3种,分别为abc坐标系、αβ坐标系与dq坐标系.其中abc坐标系是以电机定子电枢绕组作为坐标的静止坐标系;αβ坐标系为定子两相静止坐标系;dq坐标系为电机转子旋转坐标系.上述3种坐标系可通过Clark变换、Park变换、反Clark变换和反Park变换相互推导求出.永磁同步电机的各类坐标系关系如图1所示,且d轴与α轴之间夹角为θr.

图1 同步电机各类坐标系关系
Fig.1 Relationships among different coordinates of synchronous motor

通常将电机的交流量转化为直流量进行分析,因此,永磁同步电机最常用的分析方法就是dq坐标系分析法.dq坐标系下的永磁同步电机数学模型可用于分析电机的暂态响应特性和稳态运行特性.当建立dq坐标系下的数学模型时,常作以下假设:忽略电机的铁芯饱和;不计铁芯涡流和磁滞损耗;转子无阻尼绕组;相绕组中的感应电动势波形为正弦波.

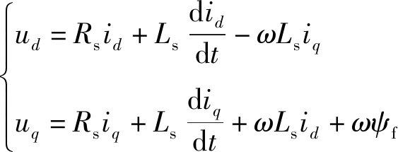
定子电压方程为

(1)

磁链方程为

(2)

式中:uduq为定子电压在dq坐标系下的分量;idiq为定子电流在dq坐标系下的分量;ω为转子的角速度;Rd为定子绕组的电阻;p为电机的极对数;ψdψq为定子磁链在dq坐标系下的分量;LdLq为定子的直轴和交轴电感;ψf为永磁体和定子交链的磁链.

永磁同步电机的电磁转矩方程为

Te=1.5p(ψdiq-ψqid)

(3)

机械运动方程为

(4)

式中:Te为电磁转矩;TL为负载转矩;J为电机的转动惯量.

1.2 矢量控制

永磁同步电机矢量控制原理框图如图2所示.永磁同步电机通过矢量控制来实现电流的解耦控制,采用SVPWM方法进行脉冲宽度调制,并输送给两电平逆变器来驱动电机运行.永磁同步电机矢量控制系统是一个由转速外环、电流内环构成的双闭环控制系统,采用id=0 A的控制方式,将测量得到的电机转速与转速给定值进行比较,可由误差信号通过PI控制器输出电流q轴分量的参考值.将dq轴电流分量分别进行电流环预测控制调节,得到电机控制系统所需的电压,然后通过反Park变换得到SVPWM输入,之后再生成对应的开关脉冲,进而实现永磁同步电机的闭环矢量控制.

2 永磁同步电机电流预测控制

模型预测控制主要是通过系统的内部模型来预测系统的未来状态.主要实现过程是首先定义一个目标函数,然后以在线滚动的方式对各开关的未来状态进行计算,接着选出能够使目标函数最小化的开关状态,能够表现出更加快速准确的动态响应.本文以电流作为控制对象,实现永磁同步电机的电流预测控制.

图2 永磁同步电机矢量控制原理框图
Fig.2 Block diagram of vector control principle for PMSM

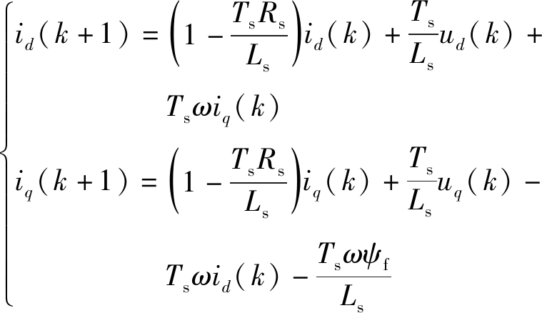
2.1 数学模型离散化

首先对永磁同步电机的数学模型进行离散化,根据永磁同步电机的数学模型可求得其在dq坐标轴下的电压方程,即

(5)

式中,LsRs分别为发电机的等效电感和内电阻.

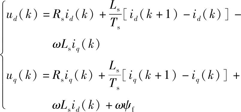
根据开关时间Ts定义离散变量,根据双线性变换原理,在kk+1时刻内,对式(5)微分项进行离散化,即可得到永磁同步电机离散化之后的电压方程,即

(6)

对式(6)进行进一步化简,可以求得基于电流预测的永磁同步电机的电流方程,即

(7)

根据式(7)即可求得电机在k+1时刻的dq轴电流预测值.同时,还需要求得电机在k时刻的电压值,而电压值和电机驱动的开关状态相关,不同的开关状态具有不同的电压矢量.

2.2 评价函数

模型预测方法中的开关状态由评价函数决定,因此,预测控制算法的性能好坏也由评价函数决定.本文以电流预测为控制目标,使得输出电流能够很好地跟踪参考电流的取值,因此,定义评价函数为

(8)

式中,分别为dq轴的电流分量标幺值.由SVPWM控制原理[11-12]可知,控制系统具有8个电压矢量,将S(n)记为不同电压矢量对应的开关状态.对8个电压矢量作用下的评价函数进行计算,选取评价函数结果最小的一个电压矢量,在下一个开关周期将该电压矢量发出.如果当前的电压矢量为零矢量,则选取使得总开关切换次数最少的方案进行投切控制.

2.3 实现流程

永磁同步电机电流预测控制流程图如图3所示.首先对输入的直流电压Udcdq轴电流信号idiq进行检测和离散化处理,并结合离散化数学模型对定义的评价函数进行初始化,然后分别计算在8个电压矢量作用下的评价函数,以评价函数最小作为控制矢量的选择依据,以输出的电压矢量进行电流预测控制.

图3 永磁同步电机电流预测控制流程图
Fig.3 Flow chart of current predictive control for PMSM

3 仿真结果

基于上述理论分析,在Matlab/Simulink环境中建立两电平逆变器驱动永磁同步电机矢量控制仿真模型.在具体仿真过程中额定功率为2 200 W,额定电压为380 V,额定电流为4.65 A,额定效率为85.5%,额定转速为1 500 rad/min,额定转矩为14 N·m,额定磁链为0.6 T,转动惯量为0.015 4 kg·m2,轴直径为28 mm,极对数为2,定子的电阻和电感分别为3.45 Ω和0.01 H.仿真开始时,电机空载启动,在1.5 s转速参考值为0.9 p.u.,在3.5 s转速参考值减为0.4 p.u.,在5.5 s转速参考值为0.8 p.u.,同时在3.5、5.5和7.5 s时负载转矩分别设置为0.2、0.4和0.8 p.u.,整个仿真时间为9 s.

图4为永磁同步电机在电流预测控制下的系统转速波形.由转速实际值和参考值的对比仿真曲线可见,转速实际值能够以斜坡方式快速跟踪给定转速值,并根据参考值的变化而变化,且转速在整个变化过程中都十分平稳,几乎无转速超调量,永磁同步电机表现出较好的动态响应特性和稳态运行精度.

图4 电流预测控制下的转速波形
Fig.4 Speed waveform of current predictive control

图5为永磁同步电机在电流预测控制下的电磁转矩波形.由图5可见,电磁转矩随着转速变化也会发生一定波动,主要表现为在转速变化的持续时间之内,整个过程中电机的转矩脉动范围与稳态波动范围较小,即表现出了良好的动态和稳态性能.

图6为永磁同步电机电流预测控制下的定子电流波形.由图6可见,在正常带载情况下运行时,永磁同步电机具有良好的电流正弦度,随着负载转矩的变化,定子电流也会发生一定变化,且变化趋势与转矩变化一致,表明永磁同步电机具有良好的动态响应特性和稳态运行特性.

4 结 论

本文提出了一种基于电流预测控制的永磁同步电机矢量控制策略,并将其替代传统PI控制应用在永磁同步电机控制系统的电流环中,该系统采用的是矢量控制策略,转速环仍然为传统PI控制.设计了相应的预测控制评价函数来选择开关周期的最佳电压矢量,提高了永磁同步电机的控制性能.通过在Matlab/Simulink环境中搭建仿真模型进行了实验验证.仿真结果表明,基于电流预测的永磁同步电机矢量控制方法能够实现电机转速的有效跟踪,具有较好的动态响应特性和稳态精度,可为永磁同步电机的实际工程应用提供一定的依据和参考.

图5 电流预测控制下的电磁转矩波形
Fig.5 Electromagnetic torque waveform of current predictive control

图6 电流预测控制下的定子电流波形
Fig.6 Stator current waveform of current predictive control

参考文献(References):

[1] 李立毅,张江鹏,赵国平,等.考虑极限热负荷下高过载永磁同步电机的研究 [J].中国电机工程学报,2016,36(3):845-852.

(LI Li-yi,ZHANG Jiang-peng,ZHAO Guo-ping,et al.Research on the high overload permanent magnet synchronous motor considering extreme thermal load [J].Proceedings of the CSEE,2016,36(3):845-852.)

[2] 高翔.高精度永磁同步电机位置伺服系统研究 [D].哈尔滨:哈尔滨理工大学,2016.

(GAO Xiang.Research on position control servo system of high precision permanent magnet synchronous motor [D].Harbin:Harbin University of Science and Technology,2016.)

[3] 安群涛,孙力,孙立志.新型开放式绕组永磁同步电机矢量控制系统研究 [J].中国电机工程学报,2015,35(22):5891-5898.

(AN Qun-tao,SUN Li,SUN Li-zhi.Research on novel open-end winding permanent magnet synchronous motor vector control systems [J].Proceedings of the CSEE,2015,35(22):5891-5898.)

[4] 朱军,程志磊,汪旭东,等.一种永磁同步电机电流直接反馈矢量控制 [J].电机与控制学报,2015,19(6):35-40.

(ZHU Jun,CHENG Zhi-lei,WANG Xu-dong,et al.Improved simplified vector control based on current direct feedback for PMSM [J].Electric Machines and Control,2015,19(6):35-40.)

[5] 符慧,左月飞,刘闯,等.永磁同步电机转速环的一种变结构PI控制器 [J].电工技术学报,2015,30(12):237-242.

(FU Hui,ZUO Yue-fei,LIU Chuang,et al.A variable structure PI controller for permanent magnetic synchronous motor speed-regulation system [J].Transactions of China Electrotechnical Society,2015,30(12):237-242.)

[6] 关欣,李叶松.永磁同步电机伺服系统PI参数整定 [J].电气传动,2016,46(8):26-30.

(GUAN Xin,LI Ye-song.Tuning method for PI pa-rameters of permanent magnet synchronous motor servo system [J].Electric Drive,2016,46(8):26-30.)

[7] 王继超,杨振强.基于细菌觅食优化算法的永磁同步电机位置伺服系统模糊控制策略 [J].电机与控制应用,2017,44(6):40-44.

(WANG Ji-chao,YANG Zhen-qiang.Bacterial foraging optimization algorithm based fuzzy control strategy for permanent magnet synchronous motor position servo system [J].Electric Machines &Control Application,2017,44(6):40-44.)

[8] 刘春芳,杜昭童.快速刀具伺服系统的模糊自适应滑模控制 [J].沈阳工业大学学报,2015,37(2):126-131.

(LIU Chun-fang,DU Zhao-tong.Fuzzy adaptive sliding mode control of fast tool servo system [J].Journal of Shenyang University of Technology,2015,37(2):126-131.)

[9] 缪仲翠,张昊,党建武,等.基于A-W PIλ永磁同步电动机的速度控制器设计 [J].中国矿业大学学报,2017,46(4):903-910.

(MIAO Zhong-cui,ZHANG Hao,DANG Jian-wu,et al.Design of speed controller based on A-W PIλfor permanent magnet synchronous motor [J].Journal of China University of Mining &Technology,2017,46(4):903-910.)

[10] 邱丹,陶诚.基于单神经元算法的内嵌式永磁同步电机智能驱动控制 [J].电机与控制应用,2017,44(10):36-41.

(QIU Dan,TAO Cheng.Intelligent drive control of interior permanent magnet synchronous motor based on single artificial neuron algorithm [J].Electric Ma-chines &Control Application,2017,44(10):36-41.)

[11] 赵辉,胡仁杰.SVPWM的基本原理与应用仿真 [J].电工技术学报,2015,30(14):350-353.

(ZHAO Hui,HU Ren-jie.Vector pulse width modulation and its simulation based on Simulink [J].Transactions of China Electrotechnical Society,2015,30(14):350-353.)

[12] 崔楠楠,吴斌,徐欢庆.一种多电平逆变器简化SVPWM算法 [J].电气传动,2015,45(3):45-47.

(CUI Nan-nan,WU Bin,XU Huan-qing.Simplified SVPWM algorithm for multilevel inverter [J].Electric Drive,2015,45(3):45-47.)

Vector control strategy for permanent magnet synchronous motor based on current predictive control

DU Chuan

(College of Mechanical and Electrical Engineering,Xinxiang University,Xinxiang 453003,China)

AbstractFocused on the poor dynamic response speed and inferior steady state accuracy of traditional permanent magnet synchronous motor (PMSM)control system,a vector control strategy for permanent magnet synchronous motor based on current predictive control was suggested.On the basis of traditional vector control,a model predictive control was introduced in lieu of traditional current PI control.The mathematical model for the permanent magnet synchronous motor was discretized,and an evaluation function was established according to the selection of switch states.Based on the above-mentioned theoretical analysis,a simulation model was established in the Matlab/Simulink environment.The results show that the as-suggested vector control of PMSM has faster response speed and smaller overshoot,and its steady state speed and current fluctuation is smaller.

Key wordspermanent magnet synchronous motor;vector control;predictive control;discretization;evaluation function;simulation;dynamic performance;steady state precision

中图分类号:TM 615

文献标志码:A

文章编号:1000-1646(2019)06-0616-05

收稿日期2017-12-21.

基金项目河南省高等学校重点科研项目(20B470006).

作者简介杜 川(1982-),男,河南新乡人,讲师,硕士,主要从事电机控制与电力传动等方面的研究.

** 本文已于2019-10-28 16∶34在中国知网优先数字出版.

网络出版地址:http:∥kns.cnki.net/kcms/detail/21.1189.T.20191028.1127.018.html

doi:10.7688/j.issn.1000-1646.2019.06.04

(责任编辑:尹淑英 英文审校:尹淑英)