基于复杂网络理论的空中交通网络脆弱性分析*

吴佳益,徐开俊,杨 泳

(中国民用航空飞行学院 飞行技术学院,四川 广汉 618300)

摘 要:针对当前空中交通网络节点通信覆盖性能差的问题,提出一种基于复杂网络理论的空中交通网络脆弱性分析方法.采用网络节点分布结构模型与传输信道模型构建多层复杂网络模型,通过自适应时变时延约束误差修正方法对网络节点密度进行优化调整,对空中交通网络节点分布密度融合程度进行跟踪控制,以节点区域覆盖度为约束条件对信息状态向量进行预测,根据控制节点密度函数计算空中交通网络的覆盖能力,通过能量均衡控制方法完成空中交通网络节点的最优部署,实现空中交通网络脆弱性分析.仿真测试结果表明,与传统方法相比,所提方法能提高空中交通网络节点覆盖度,改善网络的通信覆盖性能.

关键词:复杂网络;传输信道模型;节点分布结构模型;空中交通网络;密度;脆弱性;节点覆盖度;延约束误差修正

由于某些突发性或随机性事件的影响,会导致整个交通网络功能受到损伤,交通网络的脆弱性也呈现出来.而对于错综复杂的空中交通网络,其网络内部的连接关系也更为复杂,网络间元素的相互依赖程度也更加明显,这使得空中交通网络变得更加复杂[1-2].全面有效地研究空中交通网络的脆弱性,能从根源上将空中交通网络的致命缺点寻找出来,可以有效解决空中交通网络运行效率差的问题.

目前国内外学者在交通网络的脆弱性研究中已经取得了很多成果,一些学者应用复杂网络理论进行研究,但是仍然存在不足之处[3].其中大部分研究者只关注了某一个交通子网络的脆弱性,并没有将空中交通网络节点密度考虑在内.传统方法中,对空中交通网络脆弱性分析方法主要采用模糊BP神经网络、支持向量机(support vector machine,SVM)等[4-5],但这些方法不仅对空中交通网络节点先验规则特征信息的需求量较大,而且对时变和时延的自适应调节性能也不好.针对上述问题,本文提出一种基于复杂网络理论的空中交通网络脆弱性分析方法.

1 脆弱性分析方法

1.1 空中交通网络节点分布结构建模

多层复杂网络模型由网络节点分布结构模型与传输信道模型共同组成,为了实现对空中交通复杂网络模型的构建,需分析空中交通网络节点分布结构模型和数据传输信道模型.考虑由N个传感器节点组成的分布式空中交通网络,网络节点分布密度控制问题可描述为

x(k+1)=A(k)x(k)+Γ(k)l(k)

(1)

zi(k)=x(k)+ui(k)(i=1,2,…,N)

(2)

式中:x(k)∈Rn×1为空中交通网络节点的分布目标状态;A(k)∈Rn×n为空中交通网络节点的分布状态转移矩阵;过程噪声l(k)为均值为零,且方差为Q(k)的高斯白噪声[6]Γ(k)为发送节点集驱动矩阵;zi(k)∈Rp×1为第i个空中交通网络节点的能量测量值;节点的密度测量状态矩阵ui(k)∈Rp×1为一个均值为零且方差为Di(k)的高斯白噪声.

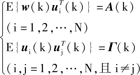
假定空中交通网络的输出增益过程加权向量w(k)与ui(k)之间存在相关性关系,且各测量节点分布密度之间均相关,即

(3)

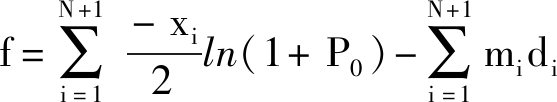
在时变状态下节点的初始状态x(0)均值为x0,方差为P0,且独立于w(k)和ui(k),i=1,2,…,N,得到空中交通网络节点分配的无约束方程为

(4)

式中:di为误差惩罚项;mi为节点分配系数.根据空中交通网络节点在数据融合中心接收到消息的时变性[7-8],通过时变误差控制,得到节点均匀分布在监测区域的状态参量需满足

Si(k)=zi(k)+qi(k)=

x(k)+ui(k)+qi(k)=

x(k)+vi(k)

(5)

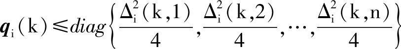
式中:vi(k)为数据融合函数;qi(k)为量化密度信息的方差,其满足

(6)

其中,Δi(k,r)为k时刻第i个密度控制值的第r个分量量化步长;diag(·)为对角矩阵函数.由此得出空中交通网络节点的分布结构模型,如图1所示.

图1 空中交通网络节点分布结构模型
Fig.1 Distribution structure model for air traffic network nodes

1.2 传输信道模型构建

在空中交通网络节点分布结构模型的基础上,构建传输信道模型,进行节点密度控制优化设计,提高空中交通网络节点的信息覆盖率.假设空中交通网络有L条传输信道[9],构建空中交通网络簇头节点分配的信道特征分解函数为

(7)

式中:al为共轭系数;δ(t-τl,0)为信道特征函数.

采用单通道窄带模型表示空中交通网络的节点密度信息融合中心[10],信息扩维测量方程可表示为

M(k)=H(k)x(k)+V(k)

(8)

式中:为空中交通网络的初始节点密度扩维测量值;H(k)=为节点密度的特征联合概率分布扩维测量矩阵;为空中交通网络传输节点的能量均衡测量矩阵.

在时间延迟最小的信道模型中,w(k)与V(k)的相关性为

E[w(k)V(k)]=[B1(k),B2(k),…,BN(k)]=

B(k)

(9)

式中,B(k)为单位下三角阵,且其逆阵仍为单位下三角阵[11].在空中交通网络的节点分布模型中,可将节点密度控制问题转换为网络传输节点的能量均衡和定位问题,根据Cholesky分解可知[12-13],正定实对称阵RV(k)的特征分解结果为

RV(k)=B(k)I(k)BT(k)

(10)

式中,I(k)=diag{r1(k),r2(k),…,rN(k)},为节点发射功率的对角阵.通过信道模型的构建,将空中交通网络节点的密度控制问题转化为

C(k)=F(k)x(k)+G(k)

(11)

式中,C(k)、F(k)、G(k)分别为空中交通网络节点的均衡密度、分布密度及对角密度,转化后的节点区域覆盖度相关统计特性为

(12)

综上所述,通过网络节点分布结构模型与传输信道模型完成对空中交通复杂网络节点的脆弱性分析,在此基础上,进行空中交通网络节点密度控制优化设计.

1.3 节点密度自适应时变时延约束误差修正

在空中交通网络节点的分布结构模型和传输信道模型设计的基础上,本文进行了空中交通网络节点优化部署设计.通过控制节点密度改善网络的覆盖能力,针对当前空中交通网络节点密度控制过程中,时变和时延自适应调节性能不好的问题,本文采用时变时延对空中交通网络节点密度进行控制,通过状态空间重组,可将节点的覆盖范围等价表示为

x(k+1)=Φ(k)x(k)+J(k)C(k)

(13)

式中,Φ(k)、J(k)分别为子空间覆盖范围与节点覆盖范围函数,节点密度自适应时变时延约束控制向量为

Φ(k)=A(k)-J(k)F(k)

(14)

(15)

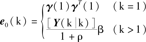
为便于进一步推导,对空中交通网络进行自适应分层,采用融合滤波进行误差跟踪控制,得到空中交通网络节点部署的λ(k)表达式为

(16)

式中,c(k)为调节系数,c(k)=tr[N(k)]/tr[C(k)],且

(17)

其中:N(k)为密度控制因子;P(k)为状态控制因子;β为节点传输的衰减因子.引入信息矩阵Y(k|k)=P-1(k|k)进行能量均衡控制,得到节点的无偏估计结果为

(18)

γ(k)=C(k)-F(k)Y(k|k-1)

(19)

式中:γ(k)为网络节点时变实验的测量残差;ρ为遗忘因子.设定ρ=0.95,β=1.2.通过上述设计,实现空中交通网络节点密度自适应时变时延约束误差修正控制.

1.4 空中交通网络节点密度控制实现

考虑一类时变时延约束控制的空中交通网络节点分布密度融合跟踪控制系统,以节点区域覆盖度最大化设计作为约束条件.

利用空中交通网络节点传输量化信息的误差协方差阵P(k-1|k-1)得到子网络节点的鲁棒性融合协方差阵P(k|k)为

P(k|k)=[I-K(k)F(k)]P(k|k-1)

(20)

K(k)=P(k|k-1)FT(k)·

[F(k)P(k|k-1)FT(k)]-1

(21)

仍考虑一类噪声相关的网络融合跟踪系统,假设融合中心已获得k-1时刻的信息状态融合估计和相应的信息矩阵Y(k-1|k-1),以及k时刻的全部量化信息α(k),则k时刻的信息状态估计及其信息阵Y(k|k)可表示为

(22)

Y(k|k)=Y(k|k-1)+FT(k)F(k)

(23)

结合适应能量均衡控制,得到空中交通网络节点j(1≤j≤N)的密度扩展量化更新迭代为

(24)

式中:采用自适应时变时延约束误差修正方法进行节点密度的优化调整,得到最优节点密度输出估计为

(25)

Y(k|k)=Y(N,k|k)=

Y(k|k-1)+FT(k)F(k)

(26)

计算空中交通网络节点密度分布的信息状态向量的预测值及其相应的能量均衡信息矩阵Y(k|k-1).在此基础上,得出网络节点密度分布结果与能量均衡状态,对空中交通网络的脆弱性进行综合分析.

2 结果与分析

为了测试设计控制算法在空中交通网络节点密度优化方面的性能,本文进行了仿真实验.仿真实验的硬件环境描述为:处理器为AMD Athlon 1.83 GHz,2 Gbit内存,主频为DDR 258;软件环境为Matlab 2007.网络节点总数N=1 024,节点初始失效概率p=0.478,能量分布密度W=11 pJ/(bit·m2),数据包大小为100 Mbit,在空中交通网络节点密度控制定位寻优中的时间步长为100.根据上述仿真环境和参数设定进行空中交通网络的节点密度控制仿真分析,得到节点的输出部署分布状态图如图2所示.图2中,SN为根节点,V0为中继节点.

图2 空中交通网络节点初始部署图
Fig.2 Initial deployment diagram of air traffic network nodes

分析图2可知,根节点分布呈X型,在中继结点附近根节点密度最高.为研究优化效果,采用本文方法和文献[4]方法进行对比,通过节点密度控制,分析不同通信轮数下的空中交通网络节点的死亡数目对比结果如图3所示.

对比分析图3仿真结果可知,采用文献[4]方法进行空中交通网络节点密度控制,通信轮次在0.7×107轮左右,空中交通网络节点开始出现死亡,在1.5×107通信轮次后,近20个通信节点死亡,严重降低了通信性能和网络的覆盖性.而本文方法在进行空中交通节点密度控制时,可以提高节点的通信覆盖能力.图4描述了外界环境干扰(如雷击、周边负载设备的开关机、发电机、无线电通讯等)下不同的时变时延干扰信噪比与空中交通节点覆盖率的关系.由图4分析得知,本文方法具有较好的时变时延适应能力和调整能力,提高了空中交通网络节点的通信覆盖率.

图3 节点死亡个数变化曲线
Fig.3 Change of number of dead nodes

图4 空中交通网络节点的通信覆盖性能对比
Fig.4 Comparison of communication coverage ability of air traffic network nodes

3 结 论

为解决当前空中交通网络节点通信覆盖性能差的问题,提出基于复杂网络理论的空中交通网络脆弱性分析,研究得出如下结论:

1)通过构建空中交通网络节点分布结构模型及传输信道模型,完成空中交通网络脆弱性分析.

2)采用自适应时变时延约束误差修正方法优化调整节点密度,实现空中交通网络节点的最优化部署.

3)所提方法能够有效提高节点密度,提高了网络节点覆盖率.未来将进一步考虑该方法的实用性,以实际应用于空中交通为目标进行进一步研究.

参考文献(References):

[1] 吴姗,韩晓龙,刘婵娟,等.基于复杂网络的全球海运网络脆弱性分析 [J].计算机工程与应用,2018,54(15):254-259.

(WU Shan,HAN Xiao-long,LIU Chan-juan,et al.Vulnerability analysis of global container shipping network based on complex network [J].Computer Engineering and Applications,2018,54(15):254-259.)

[2] 刘涤尘,冀星沛,王波,等.基于复杂网络理论的电力通信网拓扑脆弱性分析及对策 [J].电网技术,2015,39(12):3615-3621.

(LIU Di-chen,JI Xing-pei,WANG Bo,et al.Topological vulnerability analysis and countermeasures of electrical communication network based on complex network theory [J].Power System Technology,2015,39(12):3615-3621.)

[3] 于宝,冯春,朱倩,等.中国高速铁路网络脆弱性分析 [J].中国安全科学学报,2017,27(9):110-115.

(YU Bao,FENG Chun,ZHU Qian,et al.Vulnerability analysis of China’s high speed railway network [J].China Safety Science Journal,2017,27(9):110-115.)

[4] 张超,张凤鸣,王瑛,等.基于复杂网络视角的航空通信网络鲁棒性分析 [J].系统工程与电子技术,2015,37(1):180-184.

(ZHANG Chao,ZHANG Feng-ming,WANG Ying,et al.Method to analyse the robustness of aviation communication network based on complex networks [J].Systems Engineering and Electronics,2015,37(1):180-184.)

[5] Lin T Y,Santoso H A,Wu K R.Global sensor deployment and local coverage-aware recovery schemes for smart environments [J].IEEE Transactions on Mobile Computing,2015,14(7):1382-1396.

[6] 闫玲玲,陈增强,张青.基于度和聚类系数的中国航空网络重要性节点分析 [J].智能系统学报,2016,11(5):586-593.

(YAN Ling-ling,CHEN Zeng-qiang,ZHANG Qing.Analysis of key nodes in China’s aviation network based on the degree centrality indicator and clustering coefficient [J].CAAI Transactions on Intelligent Systems,2016,11(5):586-593.)

[7] 徐雪飞,李建华,郭蓉,等.复杂航空通信网络用频需求分析方法 [J].现代防御技术,2016,44(2):103-108.

(XU Xue-fei,LI Jian-hua,GUO Rong,et al.Analysis method of complex aeronautical communication network frequency demand [J].Modern Defence Technology,2016,44(2):103-108.)

[8] 张建东,李丹,吴勇,等.综合航空电子网络阻塞性分析与研究 [J].计算机应用,2016,36(2):25-28.

(ZHANG Jian-dong,LI Dan,WU Yong,et al.Congestion analysis and study of integrated avionics system network [J].Journal of Computer Applications,2016,36(2):25-28.)

[9] 陈娱,王姣娥,金凤君.中国国内航空网络的可靠性评价 [J].地理与地理信息科学,2015,31(3):59-64.

(CHEN Yu,WANG Jiao-e,JIN Feng-jun.Robustness and fragility of chinese air transport network [J].Geo-graphy and Geo-Information Science,2015,31(3):59-64.)

[10] 杨扬,董红丹,谭慧芳.基于SNA的区域航空物流网络空间结构研究 [J].公路交通科技,2017,34(9):138-145.

(YANG Yang,DONG Hong-dan,TAN Hui-fang.A SNA-based study of spatial structure of regional aviation logistics network [J].Journal of Highway and Transportation Research and Development,2017,34(9):138-145.)

[11] 杨忠振,于述南,陈刚.混合式航空货运网络优化 [J].交通运输工程学报,2016,16(1):103-114.

(YANG Zhong-zhen,YU Shu-nan,CHEN Gang.Op-timzation of mixed air cargo transportation network [J].Journal of Traffic and Transportation Engineering,2016,16(1):103-114.)

[12] 曲迎春,徐仲之,龚航,等.城市轨道交通网络脆弱性分析 [J].铁道科学与工程学报,2016,13(11):2276-2283.

(QU Ying-chun,XU Zhong-zhi,GONG Hang,et al.Vulnerability analysis of urban rail transit networks [J].Journal of Railway Science and Engineering,2016,13(11):2276-2283.)

[13] 董伟.随机交通流的组合控制预测模型和方法 [J].沈阳工业大学学报,2018,40(1):88-93.

(DONG Wei.Combined control prediction model and method of stochastic traffic flow [J].Journal of Shenyang University of Technology,2018,40(1):88-93.)

Vulnerability analysis of air traffic network based on complex network theory

WU Jia-yi,XU Kai-jun,YANG Yong

(The Flight Technology College,Civil Aviation Flight University of China,Guanghan 618300,China)

AbstractAiming at the problem of poor communication coverage ability of air traffic network nodes,a vulnerability analysis method for air traffic network based on complex network theories was proposed.A complex multi-layer network model was established using both distribution structure model and transmission channel model for network nodes,and the density of network nodes was optimized and adjusted with the self-adaptive time-varying delay-constraint-error correction method.The fusion degree of distribution density of air traffic network nodes was tracked and controlled,and the information state vector was predicted by taking the node area coverage as constraint condition.The coverage capacity of air traffic network was calculated according to the density function of control nodes,and the optimal deployment of air traffic network nodes was completed with the energy balance control method to realize the vulnerability analysis of air traffic network.The results of simulation test show that the as-proposed method can improve the coverage of air traffic network nodes and enhance the communication coverage ability of network in comparison with traditional methods.

Key wordscomplex network;transmission channel model;node distribution structure model;air traffic network;density;vulnerability;node coverage;delay-constraint-error correction

中图分类号:TP 393

文献标志码:A

文章编号:1000-1646(2019)06-0659-05

收稿日期2019-01-23.

基金项目国家自然科学基金民航联合基金资助项目(U1533127);中国民用航空飞行学院研究生创新项目(X2018-2);中国民用航空飞行学院创新团队支持计划项目(JG2019-15).

作者简介吴佳益(1991-),男,四川成都人,讲师,硕士,主要从事复杂网络,认知理论与情感计算等方面的研究.

** 本文已于2019-10-28 16∶16在中国知网优先数字出版.

网络出版地址:http:∥kns.cnki.net/kcms/detail/21.1189.T.20191028.1143.024.html

doi:10.7688/j.issn.1000-1646.2019.06.12

(责任编辑:景 勇 英文审校:尹淑英)