基于改进型P/Q控制的多源微电网功率脉动抑制*

董鹤楠1,2,苑 舜2,4,李 闯2,韩子娇3,丁惜瀛2

(1.国网辽宁省电力有限公司电力科学研究院 电网技术中心,沈阳 110006;2.沈阳工业大学 电气工程学院,沈阳 110870;3.国网辽宁省电力有限公司 调度控制中心,沈阳 110004;4.国家能源局 东北监管局,沈阳 110006)

摘 要:针对微电网三相不对称负载引起的功率脉动严重影响供电质量的问题,提出基于正负序信号解耦的改进型P/Q控制策略.利用叠加原理将并网点采集的实时信号分解,提取出各自独立、三相平衡的正负序分量,设计陷波器实现正负序分量的解耦控制,通过抑制负序电流分量降低功率脉动.仿真结果证明:提出的控制策略能够准确地对脉动电流正负序分量进行解耦控制,在保证正序分量有效输出的同时,将负序分量降到最低,改进后功率脉动降低了50%.

关 键 词:并网逆变器;三相不平衡;功率脉动;负序电流;电能质量;P/Q控制;不对称电流分解;解耦控制

微电网结构配置灵活,可由单一种类微源DG(distributed generation)构成,亦可由多种不同类型的DG构建而成[1].风电、光伏、储能等多种类型的DG组成多源微电网,利用控制中心协调多种不同类型分布式能源,可有效降低清洁能源不确定性对电能质量的影响.

多源微电网多种不同种类的DG能量互补性好,但由于各DG动、静态性能差距大,加之负荷种类繁多,有相当比例是单相负荷和非线性负荷,因此微网系统中存在三相电流、电压不对称现象[2-3].并网运行时,微电网三相电压、电流不对称,使得并网点传输的有功功率和无功功率脉动严重,有功功率脉动会污染大电网的电能质量,而无功功率脉动则产生严重的功率损耗;孤网运行时三相不平衡带来的危害更为严重,甚至会造成微网系统失稳[4-6].

在微电网中,DG常用的控制策略包括P/Q控制、V/F控制和下垂控制.P/Q控制跟随并网点电压,通过控制并网电流使DG输出功率跟随给定值.采用P/Q控制的DG以电流形式并网,并、离网切换冲击较小,但P/Q控制算法基于三相对称提出,控制中难以解决三相不对称问题[7-12].

文献[13]分析了在电网发生故障情况下功率脉动的现象.文章指出为了得到有功脉动幅值和无功脉动幅值的变化关系,可以通过给定补偿参数连续调节电流值.但该文章只是对功率脉动进行了定性而不是定量分析,没能给出功率脉动的准确表达式,难以对功率脉动进行针对性抑制.

本文提出一种改进型P/Q控制策略,抑制功率脉动,通过陷波器对三相不平衡电压和电流进行正序、负序分解,定量给出有功、无功脉动幅值与正、负序电流之间的解析关系;在此基础上通过正、负序电流解耦控制实现有功功率和无功功率调节,有效抑制功率脉动.

1 多源微电网模型

图1的多源微电网由风机、光伏、储能三种微源构成,有交流与直流两种母线,微网通过交流母线的并网开关,实现微电网与主网之间的并、离切换.

图1 多源微电网结构

Fig.1 Structure of multi-source microgrid

图1的多源微电网采用主从控制,以储能装置作为主微源,风电及光伏等微源作为从属微源.孤网运行时,主微源通过V/F控制提供微电网的电压及频率基准,其他从微源均采用P/Q控制,实现功率的最大输出.

2 DG运行机理与功率脉动

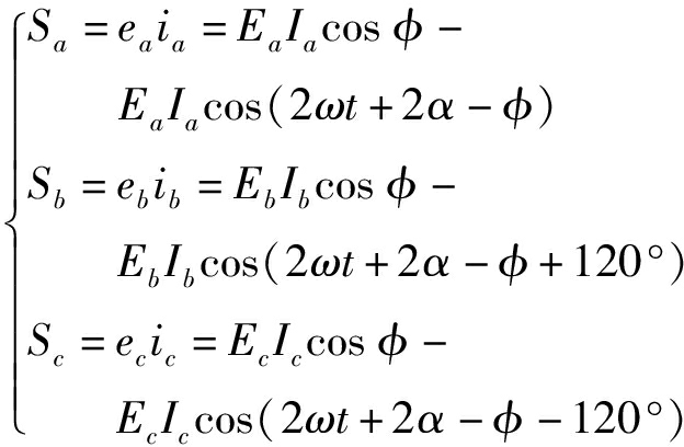
DG并网逆变器通过滤波电抗L直接与电网相连,PCC处的三相电压和电流及瞬时输出功率可表示为

(1)

(2)

(3)

式中:eaebeciaibic为PCC点处的三相瞬时电压和电流;EaEbEcIaIbIc为PCC点三相电压和电流的有效值;α为瞬时电压的初始相位;φ为瞬时电压和电流的相角差.

abc三相对称时,三相合成总功率可表示为

S0=Sa+Sb+Sc=3E0I0cos φ

(4)

式中:E0=Ea=Eb=EcI0=Ia=Ib=Ic.

由式(3)、(4)可知,三相对称交流系统中,单相功率存在二倍频脉振分量,而三相总功率中二倍频分量的和恒定为零,输出总功率稳定.

当发生不对称故障或单相负荷过重时,三相电压、电流呈现出不对称现象.理论上不对称向量可以唯一地分解为正序、负序、零序三组对称分量.因为采用的逆变器没有零序通路,因此可利用不对称分解理论将三相不对称电压电流分解为与同步转速ω0正向旋转的正序分量和反向旋转的负序分量.

为了简化分析,将PCC点的三相电压和电流进行d/q旋转变换,三相不对称时合成电压、电流向量可表示为

(5)

(6)

式中:EI为三相电压和电流向量;E+E-I+I-分别为正、负序电压和电流向量;分别为dq轴上电压和电流的正负序分量.

PCC点三相瞬时有功与无功功率可表示为

P+jQ

(7)

(8)

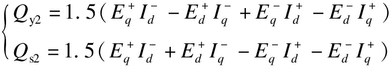
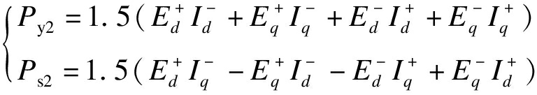
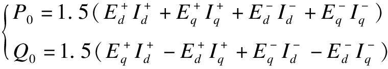
式中:P0Q0分别为有功、无功瞬时平均分量;Py2Ps2为二倍频有功瞬时脉动分量;Qy2Qs2为二倍频无功瞬时脉动分量,各分量幅值可表示为

(9)

(10)

(11)

由式(7)可知,系统存在不对称电压与电流时,系统输出功率中二倍频分量不为零,此时用电设备会产生振动,影响整个系统稳定性.

3 功率脉动抑制方法

3.1 改进型P/Q控制策略

基于P/Q控制机理,结合三相不平衡时有功与无功功率和正、负序电压电流的关系,本文提出一种改进型的P/Q控制结构,抑制由不对称产生的二倍频脉动.

根据式(9)~(11)可推导出

(12)

由式(12)可知,策略可以通过控制电流实现功率脉动的抑制,在P/Q控制系统中计算出功率脉动Py2=0,Ps2=0时,正、负序电流的给定值,再利用叠加原理将正、负序电流分别作为P/Q控制的电流给定,实现功率脉动抑制.

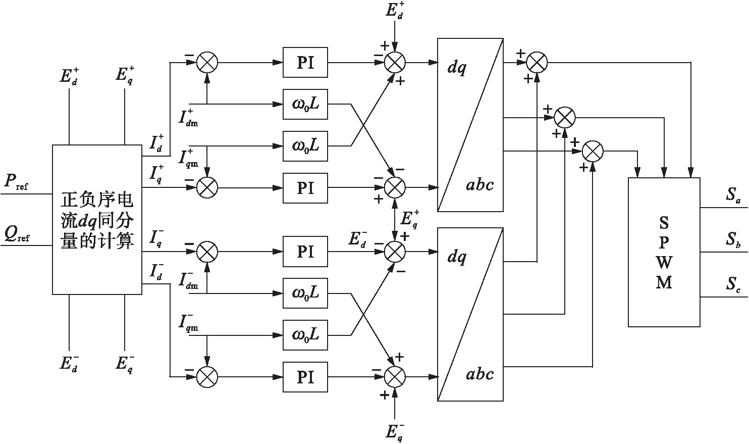
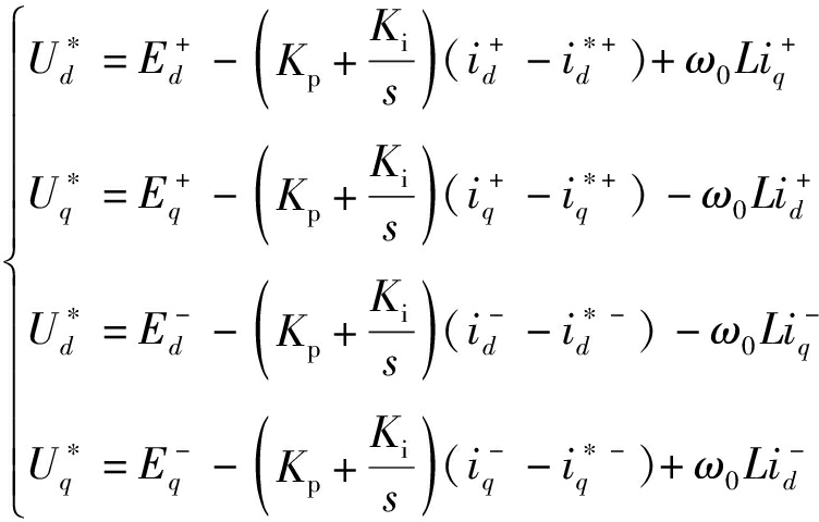
图2为改进型P/Q控制结构框图,根据获得的电流给定值,利用前馈-反馈复合控制算法来实现电压值的给定,实现并网逆变器的输出可跟随给定值的目标.PrefQref为有功与无功功率给定值,其值与DG并网逆变器的瞬时功率平均分量相等,即Pref=P0Qref=Q0.

图2 改进型P/Q控制算法结构图

Fig.2 Structure diagram of improved P/Q control algorithm

逆变器输出表达式为

(13)

式中:为P/Q逆变器输出的给定值;KpKi分别为PI控制器的比例和积分系数.与传统P/Q控制不同的是,改进算法优化可以获取功率脉动最低时的正、负序电流给定值,实现SPWM调制,抑制功率脉动.

3.2 正负序分量的分解

图2的改进型P/Q控制需要检测PCC点正、负序电压和电流值,根据式(5)将合成电流及负序电流转换到正序电流坐标系,电流测量值可表示为

I=I++e-j2ωtI-

(14)

由式(14)可知,在负序坐标系下,正序电流为直流分量,而负序电流变为交流分量,因此设计一个二倍频陷波器则可以滤除负序分量,获得电流正序分量的测量值.

4 仿真分析及验证

在MATLAB平台上建立如图1所示的多源微电网仿真模型,加入不对称负载,PCC点处的电流、有功功率、无功功率波形如图3所示.

图3a为负荷不对称引起的PCC点处电流不对称曲线,图3b中位于正半轴的曲线为有功功率波形,位于负半轴的曲线为无功功率波形,可见三相不对称电流造成了有功功率和无功功率的脉动.传统P/Q控制可显见有功与无功功率呈二倍频脉动.

图3 传统P/Q控制动态性能曲线

Fig.3 Dynamic performance curves of traditional P/Q control

改进型P/Q控制正负序电流曲线如图4所示,位于正半轴的曲线为正序电流波形,位于负半轴的曲线为负序电流波形.在20 s内负序电流随着控制时间的增加显著下降,电流负序量的减少必然使三相电流平衡度大幅提高,同时降低了功率脉动.

改进型P/Q控制动态性能曲线如图5所示.图5b中位于正半轴的曲线为有功功率波形,位于负半轴的曲线为无功功率波形.经过改进型P/Q控制后,电流恢复为三相对称电流,有功和无功功率脉动降低了50%,得到了明显的抑制.

图4 改进型P/Q控制正负序电流曲线

Fig.4 Positive and negative sequence current curves of improved P/Q control

图5 改进型P/Q控制动态性能曲线

Fig.5 Dynamic performance curves of improved P/Q control

5 结 论

本文提出了一种改进型P/Q控制策略,用来抑制三相不平衡引起的功率二倍频脉动.仿真结果表明:当三相电流不对称产生功率脉动时,改进型P/Q控制方法通过对并网点电压电流进行正负序分解,可以实现正负序电流解耦控制,限制了负序电流,进而有效抑制了功率脉动.

参考文献(References):

[1] 郑晶,李赓,张艳华,等.微电网研究综述[J].电气开关,2016,54(2):1-3.

(ZHENG Jing,LI Geng,ZHANG Yan-hua,et al.Summary of micro-grid[J].Electrical Switch,2016,54(2):1-3.)

[2] Zheng H,Zhang Y,Huang J,et al.A new method of three-phase unbalanced load harmonic current detection[J].Advanced Materials Research,2015,65(2):726-730.

[3] Robles E,Rivas J J,Peralta E,et al.Voltage regulation of a matrix converter with balanced and unbalanced three-phase loads[J].Journal of Applied Research and Technology,2015,13(5):510-522.

[4] 许泽富,唐芬,周家宇,等.不平衡负载工况下三相变流器有源功率解耦控制[J].电网技术,2019,43(3):331-341.

(XU Ze-fu,TANG Fen,ZHOU Jia-yu,et al.Active power decoupling control of three-phase converter with unbalanced load[J].Power System Technology,2019,43(3):331-341.)

[5] Jin W,Li Y L,Sun G Y,et al.Admittance model for three-phase AC micro-grid with unbalanced load compensated by the multi-functional grid-connected inver-ter[J].Energy Procedia,2019,158(2):2475-2480.

[6] Gupta N,Daratha N.Probabilistic three-phase load flow for unbalanced electrical systems with wind farms[J].International Journal of Electrical Power and Energy Systems,2017,87(5):154-165.

[7] 阳同光,桂卫华.电网不平衡情况下并网逆变器控制策略综述[J].电工技术学报,2015,30(14):241-246.

(YANG Tong-guang,GUI Wei-hua.An overview on control strategies of grid-connected inverter under unbalanced voltage conditions[J].Transactions of China Electrotechnical Society,2015,30(14):241-246.)

[8] 曾正,李辉,冉立.交流微电网逆变器控制策略述评[J].电力系统自动化,2016,40(9):142-151.

(ZENG Zheng,LI Hui,RAN Li.Comparison on control strategies of inverters in AC microgrids[J].Automation of Electric Power Systems,2016,40(9):142-151.)

[9] 朱更辉,陈国振,韩耀飞.基于虚拟同步发电机的光伏并网逆变器控制策略[J].沈阳工业大学学报,2017,39(4):366-370.

(ZHU Geng-hui,CHEN Guo-zhen,HAN Yao-fei.Control strategy of photovoltaic grid-connected inver-ter based on virtual synchronous generator[J].Journal of Shenyang University of Technology,2017,39(4):366-370.)

[10] 徐敏锐,卢树峰,杨世海,等.大功率光伏逆变器输出滤波电抗器有功损耗测量[J].沈阳工业大学学报,2019,41(3):241-245.

(XU Min-rui,LU Shu-feng,YANG Shi-hai,et al.Active power loss measurement of output filtering reactor of large power photovoltaic inverter[J].Journal of Shenyang University of Technology,2019,41(3):241-245.)

[11] 徐天福,罗庆.基于P-Q解耦变换的智能电网状态估计算法[J].沈阳工业大学学报,2019,41(3):251-256.

(XU Tian-fu,LUO Qing.State estimation algorithm of smart grid based on P-Q decoupling transformation[J].Journal of Shenyang University of Technology,2019,41(3):251-256.)

[12] Ding X Y,Lan T X,Dong H N.Control strategy and stability analysis of virtual synchronous generators combined with photovoltaic dynamic characteristics[J].Journal of Power Electronics,2019,19(5):1270-1277.

[13] Wang F,Duarte J L,Hevdrix M.Design and analysis of active power control strategies for distributed generation inverters under unbalanced grid faults[J].Generation Transmission & Distribution,2010,4(8):905-916.

Power pulsation suppression of multi-source microgrid based on improved P/Q control

DONG He-nan1,2, YUAN Shun2,4, LI Chuang2, HAN Zi-jiao3, DING Xi-ying2

(1.Grid Technology Center, Electric Power Research Institute of State Grid Liaoning Electric Power Co.Ltd., Shenyang 110006, China; 2.School of Electrical Engineering, Shenyang University of Technology, Shenyang 110870, China; 3.Dispatching Control Center, State Grid Liaoning Electric Power Co.Ltd., Shenyang 110004, China; 4.Northeast China Energy Regulatory Bureau, National Energy Administration, Shenyang 110006, China)

AbstractIn order to solve the problem that power pulsation caused by three-phase imbalanced load seriously damages the quality of power supply in a microgrid, an improved P/Q control strategy based on decoupling of positive and negative sequence signals was proposed.The real-time signals collected from grid-connected points were decomposed through superposition principle, and positive and negative sequence components both independent with three-phase balance were extracted.A notch filter was designed to realize the decoupling control of positive and negative sequence components.The power pulsation was reduced by suppressing the negative sequence current.Simulation results show that the positive and negative components of pulsation current can be accurately decoupled and controlled with the as-proposed control strategy.The positive component can be effectively output, and the negative component can be minimized at the same time.As a result, the power pulsation reduces by 50%.

Key wordsgrid-connected inverter; three-phase imbalance; power pulsation; negative sequence current; power quality; P/Q control; asymmetric current decomposition; decoupling control

中图分类号:TM 76

文献标志码:A

文章编号:1000-1646(2020)01-0007-05

收稿日期2017-12-22.

基金项目国家自然科学基金项目(U1766204);国网辽宁省电力有限公司科技攻关项目(2019YF-01).

作者简介董鹤楠(1986-),男,内蒙古赤峰人,高级工程师,博士,主要从事微电网控制及电能质量关键技术等方面的研究.

*本文已于2019-12-23 16∶37在中国知网优先数字出版.网络出版地址:http:∥kns.cnki.net/kcms/detail/21.1189.T.20191223.1425.030.html

doi:10.7688/j.issn.1000-1646.2020.01.02

(责任编辑:景 勇 英文审校:尹淑英)