管道漏磁图像的卷积核信息熵相似度约束方法*

王竹筠,杨理践,高松巍,刘 斌

(沈阳工业大学 信息科学与工程学院,沈阳 110870)

摘 要:为了提高卷积神经网络中卷积核对管道漏磁图像的特征学习能力,提出一种基于信息熵相似度约束的卷积核优化方法.建立一种信息熵相似度约束规则,通过判定条件对权值相近或相似度过高的卷积核进行优化.搭建实验平台并建立样本数据库进行实验,该方法可优化其特征提取能力,得到具有区分目标和背景语义信息能力的优化卷积核.结果表明,优化卷积核对目标具有较强的特征提取能力,能提高网络分类准确率和工作效率,实验结果与理论分析具有很好的一致性.

关 键 词:漏磁信号;伪彩色图像;卷积神经网络;特征提取;阈值;卷积核;信息熵;相似度约束

管道漏磁(magnetic flux leakage,MFL)检测技术在长输油气管道中发挥着重要作用.管道漏磁信号的智能化识别一直是当今研究的重点,其中,对管道漏磁信号成像后的图像进行特征提取是当今研究的热点.由于管道漏磁信号比较复杂,因此漏磁图像的特征类型也较多,结构也比较复杂.为了更好地对漏磁图像进行识别,提取特征的有效性可提高分类网络准确率.

陈超[1]利用最大类间方差模糊约束法获取隶属度函数计算目标轮廓特征;桑海峰等[2]将通过相邻层的特征连接增强信息流动性;姜慧明等[3]将梯度图多尺度融合至U-Net编码器;郑婷月等[4]利用残差块学习细节纹理特征;文献[5-7]直接将图像输入到卷积神经网络中,其算法能够自动学习图像特征,减少人工特征提取过程;文献[8-9]利用变形卷积网络有效针对图像目标特征进行提取;张军阳等[10]通过混洗操作改变矩阵卷积方式;文献[11-12]将低分辨率图像特征映射成高分辨率特征,实现图像的高精度化;Bayar等[13]通过约束卷积层增强图像特征.在卷积神经网络中,卷积核的特征提取能力才是决定网络分类准确度的关键.上述文献主要是从卷积层的结构和计算方式进行改进,没有针对卷积核的优化方法进行深入研究.

本文建立一种稀疏自编码网络,对卷积核进行优化训练,去除冗余的卷积核并提高卷积核对漏磁图像特征的提取能力,通过加入信息熵相似度约束规则进一步提升卷积核对目标和背景信息的区分能力.

1 管道漏磁图像特征提取

卷积神经网络(CNN)通过卷积层中的卷积核可自动学习特征并直接提取图像特征.

1.1 管道漏磁伪彩色图像主要特征

管道漏磁内检测技术是通过漏磁检测器检测到的漏磁通来判断管道是否有缺陷存在[14],经过图像处理可得到完整的漏磁伪彩色图像,如图1所示.

图1 管道漏磁伪彩色图像

Fig.1 Pseudo-color image of pipeline magnetic flux leakage

从图1可看出,管道漏磁信号大致有环焊缝、螺旋焊缝、缺陷等类型.由于管道漏磁信号特征较多,因此同一类型之间的特征也会有区别,为卷积核的特征提取带来一定困难.

1.2 卷积核特征提取方法

在卷积神经网络中,一个卷积层可以包含很多卷积面.卷积面又称为卷积特征图,每个卷积面都是根据输入、卷积核和激活函数来计算的.卷积面的输入通常是一幅或者多幅图像.卷积核是一个矩阵,又称为卷积滤波器,用来提取卷积神经网络中输入图像特征.如果输入是一幅大小为M×N的图像,用矩阵X表示,卷积核是大小为m×n的矩阵w,偏置为b,则卷积核的计算过程如图2所示.

图2 卷积核工作原理

Fig.2 Working principle of convolution kernel

卷积层通过卷积核得到输入图像从低级到高级的特征.卷积核是一个权值矩阵,一般通过随机产生一些接近于0的小数作为初始值.卷积核通过与图像的卷积运算来提取图像中的不同特征.

卷积层由多张特征图组成,每个特征图中的神经元通过卷积核与上一层特征图的局部区域相连.特征图计算表达式为

(1)

式中:为第l层的第j张特征图;f为激活函数;Mj为输入图像集合;为第l-1层的第i张特征图;为第l-1层的第i个特征图到第l层的第j个特征图的卷积核;为偏置.

卷积神经网络分类能力的高低主要取决于网络对图像的学习能力,即卷积核对图像的特征提取能力.卷积核的好坏由其内部的权值决定,因此,权值的选取十分重要.

2 信息熵相似度约束规则

卷积核的权值影响网络的特征提取能力,通过信息熵相似度约束规则优化卷积核的权值.

2.1 图像信息熵

信息熵是一种特征的统计形式,反映图像携带平均信息量的多少,即表示图像中灰度分布的目标特征所包含的信息量,其表达式为

(2)

式中,Pij为图像中颜色值为i像素所占的比例.

在得到图像信息熵后,利用L1-norm距离进行图像间的相似性度量,图像间的距离描述为

DL1-norm(pq)=|H(p)-H(q)|

(3)

式中:pq为任意两幅图像;H(p)、H(q)为图像对应的信息熵.

两幅图像空间联合信息熵间的距离为

D(pq)=w1|μp-μq|+w2|σp-σq|

(4)

式中:w1w2为[0,1]区间权重,且二者和为1;μσ为距离参数.

卷积核整体能够包含的特征信息是恒定的,因此在预训练过程中会出现卷积核之间包含信息不均衡的情况,导致网络的分类准确率低.而信息熵能有效地反映卷积核包含的图像结构信息,卷积核的信息熵越大,包含结构信息越丰富;反之则结构信息越少.卷积核中存在部分卷积核权值相同或相似的情况,说明此类卷积核都在学习相同的特征,导致卷积核的区分表达能力降低,出现冗余信息.

2.2 信息熵相似度约束流程

为防止卷积核出现冗余情况,在卷积核训练网络中加入信息熵相似度约束限制.约束规则防止了过拟合的同时又提高了卷积核的区分性表达能力.通过计算E的大小来判断卷积核权值的相似程度,E越大表明相似度越低,反之相似度越高,其计算表达式为

(5)

式中,KijKij分别为任意两个卷积卷积核对应的权值.

信息相似度约束规则可筛选出网络的最优卷积核.计算卷积神经网络中卷积核的信息熵,通过相似度判定条件对卷积核进行约束,对不符合条件的卷积核进行更新,最终得到符合约束条件的新卷积核.卷积核信息熵约束规则流程如图3所示.

图3 卷积核信息熵相似度约束流程图

Fig.3 Flow chart for similarity constraint of convolution kernel information entropy

定义单幅图像中的背景信息熵与目标信息熵的比值为φ,通过φ值判断卷积核提取的目标信息与背景信息的差异性,其计算表达式为

(6)

式中:AB分别为背景像素和目标像素的数量;ga(ij)和gb(ij)分别为背景和目标的像素;RaRb分别为背景和目标信息的区域.

特征图通过输入图像和卷积核相乘得到一个M×N的矩阵,其中每行表示一个输出图像,共有M个输出图像.输入图像矩阵在网络中变换为

F=((Ih+2ph-kh)/th+1)·

((Is+2ps-ks)/ts+1)

(7)

式中:I为输入图像尺寸;p为扩充量;k为减少量;t为步长;下标hs分别为高度和宽度.

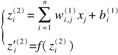
从漏磁信号图像中随机采集像素大小为5×5的小图像色块作为训练样本输入网络中进行训练.网络训练过程如下:

1)对每个样本色块进行前向传播计算.当输入样本为xi时,隐含层的输入和输出计算表达式为

(8)

式中:n为样本数量;为隐含层输入;zi(2)为隐含层输出;f(z)为Relu激活函数.输出层的输入和输出计算表达式同式(8).

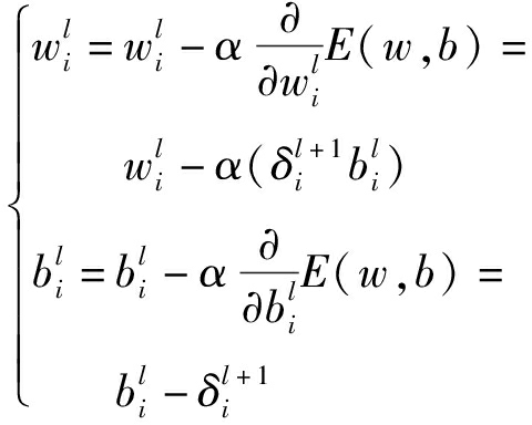
2)卷积核在迭代学习训练过程中,通过反向传播算法不断更新权值参数寻找最优的权值参数,则权值参数更新表达式为

(9)

式中:α为学习速率;δi为残差.

在训练过程中不断计算残差的数值,当残差值小于设定的阈值0.8时则判定参数收敛,得到更新后新卷积核Kij.

3 实验与结果分析

3.1 实验背景

本实验选择Caffe环境作为实验平台,处理器为Inter(R)Core(TM)i7-7700k CPU@4.20 GHz,GPU采用的是NVIDIA GTX 1070,RAM空间大小为16.0 GB,开发工具为Visual2013和Matlab.

实验数据集包括600张管道漏磁伪彩色图像,每张图像大小为140×320,样本图像如图4所示.将600张管道漏磁图像Iij的样本库直接输入到改进后的网络模型中,其中450张作为训练集,150张作为测试集.设置单次处理批数为40,步长为2,学习率为0.000 1,迭代次数为5 000次.将优化后得到的卷积核赋予给CNN网络,卷积核按照从左到右,从上到下原则进行遍历.

图4 实验样本图像

Fig.4 Sampled images for experiments

3.2 结果分析

将200张小色块图像作为样本分别输入到有信息熵约束和无信息熵约束的网络中进行实验,设置迭代次数为1 200,卷积核数目为40,卷积核大小为5×5.卷积核优化前后信息熵对比结果如图5所示.

图5 卷积核优化前后信息熵对比

Fig.5 Comparison of convolution kernel information entropy before and after optimization

从图5中可看出,优化后卷积核信息熵差值越来越小,控制了网络的过拟合,而优化前的卷积核信息熵则几乎保持不变,保持在约35%,说明此时各卷积核携带的图像特征信息变得更加均衡.多次实验统计结果表明,当卷积核信息熵之间差距为15%时,卷积核提取到的目标像素和背景像素的平均比值相差最大,且卷积核会提取到较为完整的目标特征.

为进一步确认卷积核的优化情况,需通过相似度判定来确定卷积核是否有冗余现象.本实验在预训练网络中加入相似度约束条件,根据卷积核提取到的特征信息量来设定相似性判断的阈值ε,统计分析表明,当卷积核之间的相似性参数小于0.5时,它们提取的图像特征几乎相同,因此本实验设置ε=0.5.计算图4中卷积核两两之间的相似度参数E,以前4个卷积核(K1K4)为例,结果如表1所示.

表1 卷积核优化前后权值相似度对比

Tab.1 Comparison of weight similarity for convolution kernel before and after optimization

卷积核优化前相似度优化后相似度K1,29.79.7K1,32.42.4K1,40.12.2K2,33.33.3K2,42.12.1K3,40.25.3

由表1可以看出,优化前K1,4K3,4之间的相似度参数小于设定阈值,说明K1K3K4差异性小,三个卷积核的权值相近,存在冗余现象.故将K3K4卷积核进行初始化,通过迭代更新权值,再次计算K1K4K5卷积核之间的相似度参数E.

将图4中的6幅图像输入到卷积神经网络中进行验证,计算目标与背景的像素值,从而得到图6所示的优化前后目标与背景像素的对比度.

从图6a中可看出,未经预训练的卷积核在提取图4e的目标特征时,特征图中目标像素和背景像素的对比度最大值为2.01;在图6b中,利用预训练卷积核对图4e进行特征提取后生成的特征图像素对比度可达2.62,大于未经预训练的卷积核,说明优化网络提高了卷积核对图像目标特征的学习能力,可以有效区分目标与背景.

为了验证优化后卷积核的有效性,将优化卷积核应用到卷积神经网络中,并与原始卷积神经网络分类结果进行对比,对比结果如表2所示.

从表2中可看出,卷积核数量为40,大小为5×5时网络分类效果最优、工作效率最高.实验结果表明,优化卷积核后的网络相较于原始网络,其提取特征能力更佳,网络分类准确率更高,分类效果更好.

将图4d、f进行可视化,优化卷积核提取特征效果如图7所示.由图7可知,优化后的卷积核能较好地提取出管道漏磁图像的焊缝、缺陷等特征,特征的边缘信息完整,为之后网络的分类提供重要依据.

图6 优化前后目标与背景像素对比度

Fig.6 Contrast ratio of target and background pixels before and after optimization

表2 卷积核优化前后网络分类准确率对比

Tab.2 Comparison of network classification accuracy for convolution kernel before and after optimization

优化前后数量大小准确率/%前后103×375203×379405×582505×585103×389203×392405×594505×594

图7 优化卷积核特征提取效果图

Fig.7 Effect diagram of feature extraction by optimized convolution kernel

4 结 论

本文提出了一种通过信息熵相似度约束规则对卷积核优化算法,实现了对管道漏磁伪彩色图像特征的提取.通过实验对比分析可知:利用相似度判定法则对各卷积核进行信息熵相似度约束判定,通过判定结果剔除相同或者相似的卷积核,更新卷积核权值,从而优化网络中的卷积核,减少冗余信息的存在,提高了卷积核对特征的区分表达能力,同时防止网络过拟合.

参考文献(References):

[1] 陈超.多阈值优化的运动图像轮廓特征提取方法[J].沈阳工业大学学报,2019,41(3):315-319.

(CHEN Chao.Multi-threshold optimization method for contour feature extraction of moving images[J].Journal of Shenyang University of Technology,2019,41(3):315-319.)

[2] 桑海峰,王传正,吕应宇,等.基于多信息流动卷积神经网络的行人再识别[J].电子学报,2019,47(2):351-357.

(SANG Hai-feng,WANG Chuan-zheng,LÜ Ying-yu,et al.Pedestrian recognition based on multi-information flow convolutional neural network[J].Journal of Electronic Science,2019,47(2):351-357.)

[3] 姜慧明,秦贵和,邹密,等.改进U型卷积网络的细胞核分割方法[J].西安交通大学学报,2019,53(4):100-107.

(JIANG Hui-ming,QIN Gui-he,ZOU Mi,et al.An improved U-Net for cell nuclear segmentation[J].Journal of Xi’an Jiaotong University,2019,53(4):100-107.)

[4] 郑婷月,唐晨,雷振坤.基于全卷积神经网络的多尺度视网膜血管分割[J].光学学报,2019,39(2):119-126.

(ZHENG Ting-yue,TANG Chen,LEI Zhen-kun.Multiscale retinal vascular segmentation based on full convolution neural network[J].Acta Optica Sinica,2019,39(2):119-126.)

[5] Zhao B D,Lu H Z,Chen S F.Convolutional neural networks for time series classification[J].Journal of Systems Engineering and Electronics,2017,28(1):162-169.

[6] Hinton G E,Osindero S,Teh Y W.A fast learning algorithm for deep belief nets[J].Neural Computation,2006,18(7):1527-1554.

[7] Swietojanski P,Ghoshal A,Renals S.Convolutional neural networks for distant speech recognition[J].IEEE Signal Process Letters,2014,21(9):1120-1124.

[8] 邓志鹏,孙浩,雷琳,等.基于多尺度形变特征卷积网络的高分辨率遥感影像目标检测[J].测绘学报,2018,47(9):1216-1227.

(DENG Zhi-peng,SUN Hao,LEI Lin,et al.High reso-lution remote sensing image target detection based on multi-scale deformation feature convolution network[J].Journal of Surveying and Mapping,2018,47(9):1216-1227.)

[9] 高鑫,李慧,张义,等.基于可变形卷积神经网络的遥感影像密集区域车辆检测方法[J].电子与信息学报,2018,40(12):2812-2819.

(GAO Xin,LI Hui,ZHANG Yi,et al.Remote sensing image dense area vehicle detection method based on deformable convolution neural network[J].Journal of Electronics and Information,2018,40(12):2812-2819.)

[10] 张军阳,郭阳,扈啸.二维矩阵卷积的并行计算方法[J].浙江大学学报(工学版),2018,52(3):515-523.

(ZHANG Jun-yang,GUO Yang,HU Xiao.Parallel computing method of two-dimensional matrix convo-lution[J].Journal of Zhejiang University(Engineering Edition),2018,52(3):515-523.)

[11] Badrinarayanan V,Kendall A,Cipolla R.A deep convolutional encoder-decoder architecture for image segmentation[J].IEEE Transactions on Pattern Analysis and Machine Intelligence,2017,12(39):1137-1149.

[12] Kappeler A,Yoo S,Dai Q,et al.Video super-resolution with convolutional neural networks[J].IEEE Transa-ction Computation Imaging,2016,2(2):109-122.

[13] Bayar B,Stamm M C.Constrained convolutional neural networks:a new approach towards general purpose image manipulation detection[J].IEEE Transactions on Information Forensics and Security,2018,13(11):2691-2706.

[14] 王国涛,郭天昊.油气管道特殊缺陷的漏磁信号识别方法[J].沈阳工业大学学报,2019,41(4):401-405.

(WANG Guo-tao,GUO Tian-hao.Magnetic flux leaka-ge signal identification method for special defects of oil and gas pipelines[J].Journal of Shenyang University of Technology,2019,41(4):401-405.)

Constraint method for convolution kernel information entropy similarity of pipeline magnetic flux leakage images

WANG Zhu-jun, YANG Li-jian, GAO Song-wei, LIU Bin

(School of Information Science and Engineering, Shenyang University of Technology, Shenyang 110870, China)

AbstractIn order to improve the feature learning ability of convolution kernel for pipeline magnetic flux leakage images in convolutional neural networks(CNN), a convolution kernel optimization method based on information entropy similarity constraint was proposed.An information entropy similarity constraint rule was established, and the convolution kernel with similar weights or extreme similarities was optimized by judging conditions.An experimental platform and a sample database were built for experimentations.The as-proposed method could optimize the feature extraction ability and get the optimized convolution kernel capable of distinguishing target and background semantic information.The results show that the optimized convolution kernel has strong feature extraction ability for the target, and can improve the accuracy and efficiency of network classification.The experimental results are in good agreement with the theoretical analysis.

Key wordsmagnetic flux leakage signal; pseudo-color image; convolutional neural network; feature extraction; threshold; convolution kernel; information entropy; similarity constraint

中图分类号:TP 391

文献标志码:A

文章编号:1000-1646(2020)01-0090-06

收稿日期2019-01-27.

基金项目国家自然科学基金面上项目(61571308,61871450).

作者简介王竹筠(1991-),女,辽宁抚顺人,博士生,主要从事无损检测、图像处理等方面的研究.

*本文已于2019-12-25 09∶15在中国知网优先数字出版.网络出版地址:http:∥kns.cnki.net/kcms/detail/21.1189.T.20191224.1626.002.html

doi:10.7688/j.issn.1000-1646.2020.01.17

(责任编辑:景 勇 英文审校:尹淑英)