建筑工程

风灾致村镇建筑损失评估及台风灾害管理系统*

王国新a,b,李明鑫a,b

(大连理工大学 a.海岸与近海工程国家重点实验室,b.建设工程学部水利学院工程抗震研究所,辽宁 大连 116024)

摘 要:为了对风灾作用下村镇建筑的损失进行评估,提出了风灾损失评估方法.分析了结构类型、保存完好程度、建筑面积密度、不同构件间相互作用等因素对建筑损失的影响程度,对围护结构及主体承重结构分别建立风速和风向的破坏矩阵,定义了群体低矮民居建筑的破坏等级,并建立了相关的建筑直接损失评估模型.为了将风灾评估方法应用到实际情形中,对ArcGIS进行二次开发,建立了台风灾害管理系统,模拟结果与相关灾情统计对比结果表明,提出的建筑损失评估方法综合全面,管理系统具有一定的可行性.

关 键 词:风灾;结构类型;围护结构;主体承重结构;损失评估;经济损失;二次开发;管理系统

历次风灾调查报告[1-3]表明,东南沿海地区低矮房屋由于其抗风能力较差,经常遭受严重的损失.因此,开展风灾对低矮房屋的危害性评估工作具有重要的现实意义.

目前,低矮房屋在风灾作用下的研究多侧重于房屋表面风荷载的模拟[4-8],而针对整体结构在风灾中的损失评估研究较少.钟兴春等[9]通过蒙特卡洛模拟,以屋面瓦及墙体的破坏情况为主要判断对象评估农村房屋的破坏状态;刘学敏[10]对砌体房屋的主体结构在不同风速下的表现情况进行了有限元模拟,并将层间位移角及顶点位移作为评估指标对房屋在不同风速下的损坏做了定量定性的分析;文献[11-12]对低矮房屋的围护构件(门窗、屋面板、屋面瓦)和墙体在风灾作用下的损坏进行了预估.

本文基于Li等[13]对风灾作用下低矮民居围护构件的损失研究,结合工程实际中不同类型低矮房屋在风灾中的表现,提出了一种风灾对低矮房屋危害性评估的方法.该方法考虑了风速、风向、风致干扰效应、围护构件间相互作用、结构类型及保存完好程度等因素的影响,并作出相应的建筑直接经济损失预估,最后将该方法应用到自主开发的台风灾害管理信息系统中,能够便捷地为风灾预防及灾后救援提供帮助.

1 风灾作用下低矮房屋损失评估

不同地区低矮民居的外形、结构类型以及建筑材料等存在较大差异,因此,为了提出一种通用的低矮房屋风灾评估方法,本文将房屋的评估对象分为两部分:围护结构和主体承重结构.由于围护结构在风灾中更易破坏,损失更为严重,因此,对围护结构的损失评估需要更为细致.Li等[13]考虑了围护构件(屋面瓦、屋面板、门窗)的物理属性、面积密度、不同构件间相互作用等影响因素,基于蒙特卡洛模拟得到了不同风速风向下围护结构的损失,其结果将作为本文中围护结构的破坏矩阵.

灾后调研表明,风灾中主体结构的破坏不如围护结构严重.因此,评估方法将主要考虑结构类型以及保存完好程度的影响,结合文献[9-10]的研究成果,得到主体结构的破坏概率,即

P=Pm,wCsCp

(1)

式中:Pm,w为同一风速下砌体结构保存较差时的破坏概率;Cs为房屋的结构类型对主体承重结构破坏概率影响系数;Cp为房屋的保存完好程度对主体承重结构破坏概率影响系数.

图1为芸美村结构类型分布.依据作者实地调研及参考东南沿海风灾调研报告,东南沿海常见的低矮民居结构类型主要有三种:砌体结构、砖混结构和框架结构,其特点如表1所示.

图1 芸美村结构类型分布

Fig.1 Distribution of structure types in Yunmei village

表1 东南沿海民居常见结构类型

Tab.1 Common structure types of houses in southeast coast area

结构类型特点Cs砌体结构主要分为砖砌体和石砌体结构.大部分为双坡木屋架,墙体为主要承重结构,无圈梁,楼板直接架在横墙上,整体性比较差.多建于20世纪90年代前.1.0砖混结构竖向承重结构为砖墙/砌块,圈梁、楼板及构造柱为钢筋混凝土.承重结构是楼板和墙体,层数一般小于等于6.多建于20世纪90年代后.0.6框架结构主要由梁、板、柱组成的共同框架来承受房屋的全部荷载,整体性、刚度较好.多建于2000年以后.0.3

风灾中,低矮房屋的结构类型对主体结构的影响难以进行量化估计.本文将风灾调查报告[14]中以砌体结构房屋的倒塌数量作为参照对象,对不同结构类型房屋的倒塌比例进行归一化,初步得到结构类型对主体承重结构抗风能力的影响系数,如表1所示.影响系数越大,代表该结构类型的房屋抗风能力越差.

主体结构抗风性能的另一个影响因素是结构保存完好程度,根据建筑结构的保存现状和建造年代等对其分为三类:保存完好、保存一般、保存较差.根据工程经验并结合相关文献研究,建筑保存完好程度对主体结构抗风能力影响系数如表2所示.

表2 抗风能力影响系数

Tab.2 Influencing coefficient of wind resistance

保存完好程度Cp保存完好0.5保存一般0.8保存较差1.0

由于针对风灾中低矮民居的破坏定义较少,本文结合工程经验并参照地震灾害评估研究进行了破坏等级划分.各破坏等级的定义主要由围护结构及主体承重结构的破坏情况来定义,如表3所示.

2 建筑直接经济损失

风灾过后,每栋建筑的直接经济损失是指基于当前价格,修复被破坏房屋,恢复到灾前同样规模和标准所需的建筑价格.建筑的直接经济损失可划分为各构件的替换成本,即

C=DC0V

(2)

式中:C为构件的置换成本;D为构件的破坏率;C0为构件成本在房屋总成本中的占比;V为房屋的建造成本.

表3 风致破坏等级划分

Tab.3 Level classification of wind-induced damage

破坏等级破坏定义屋面瓦破坏屋面板破坏门窗破坏主体承重结构破坏基本完好屋面结构只有屋面瓦发生轻微破坏,屋面板及门窗完好.主体结构完好,不加修理可继续使用<10%00否轻微破坏屋面瓦部分破坏,门窗开始破坏,导致雨水开始渗入,屋面板基本完好,主体结构完好,不需要修理或者稍加修理可继续使用≥10%且<30%>0且<10%>0且<20%否中等破坏屋面瓦破坏严重,门窗近半破坏,屋面板开始破坏,导致雨水渗透严重,造成内部损失,主体结构出现局部裂缝,需要一般修理后方可使用≥30%且<70%≥10%且<30%≥20%且<50%否严重破坏屋面结构整体破坏,门窗破坏严重,雨水渗透严重,主体结构破坏,结构濒于崩溃或倒塌,难以修复或者无法修复≥70%≥30%≥50%是

受地区、建筑样式和结构类型等因素影响,房屋的单位造价及各构件的具体成本占比难以给出统一的估计.通过实地调研并结合现有文献,拟定的沿海地区低矮民房平均造价及各构件成本占比如表4、5所示.

表4 低矮民房平均造价

Tab.4 Average cost of low-rise houses

房屋结构类型单位造价/(元·m-2)砌体结构800砖混结构1200框架结构1500

表5 房屋各部分成本平均占比

Tab.5 Average cost proportion of each building part

组成成本占比/%外墙17主体框架13屋顶13基础11组成成本占比/%门窗 5内部41总共100

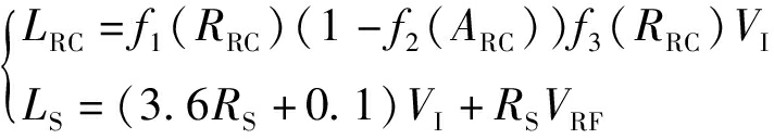
表5中的房屋内部组成包含了安装工程和水电暖工程等,不包括房屋内的财产,其经济损失模型采用文献[11]中提出的模糊模型,即

(3)

式中:LRCLS分别为由失效屋面瓦及屋面板造成的房屋内部损失;RRC为屋面瓦失效比例;ARC为失效屋面瓦所占面积;VI为房屋内部建造成本;RS为失效屋面板占比;VRF为屋面结构成本占比.与失效屋面瓦有关的三个函数f1f2f3具体计算过程可参考文献[11].

3 台风灾害管理信息系统

针对风灾的危险性分析以及对低矮民居的危害性评估具有现实意义,但更为重要的是怎样将其应用到实际中并发挥应有的作用.鉴于此,本文开发了台风灾害管理系统,主要分为三个具体的功能:台风风速预测、单体建筑损失预测、群体民居建筑损失预测.

由于台风灾害管理信息系统的运行过程中可能会对海量的数据资料进行处理,并兼有通用及专业的功能,因而,系统对电脑的硬件配置具有较高的要求,以免出现系统操作过慢或出现异常等情况.运行该系统所需要的最低配置如下:CPU为Intel Pentium Dual-core;内存为1 GB;硬盘为80 GB;操作系统为Window 7.另外电脑需要预装ArcGIS Runtime SDK for.NET或者ArcGIS Engine许可.

3.1 台风风速预测

由于低矮民居的破坏状态受风速和风向影响较大,因此,在台风移动过程中,建筑位置处风速和风向的确定尤为重要.该功能采用Rankine漩涡模型,可以计算风场中任意一点的风速、风向,计算过程为

(4)

式中:vθ为测点位置处的切向风速,方向可由右手螺旋定则确定;vmax为最大风速;R为最大风速半径;r为台风眼至测点的距离.建筑位置处的风速可由两部分叠加而成,即

v=vθ+vo

(5)

式中,vo为台风中心的移动速度.

台风风速预测功能主要由四部分组成:台风信息输入、测点信息输入、台风路径显示和说明.用户点击左上角工具栏的打开文件,系统会提示用户选择含有台风信息的文本文件,台风时程信息读取完成后会自动填充至各文本框.下一步,用户需要输入记录间隔以及测点的经纬度坐标、地面粗糙度,点击“计算”,每时刻测点与台风中心的距离将会显示.最后,点击“显示路径”,台风中心每时刻的相对位置及其移动路径会动态显示在页面的左下角,如图2所示.

图2 台风风速预测

Fig.2 Wind speed prediction

3.2 单体建筑损失预测

系统的第二个功能为单体建筑损失预测,其基于风灾作用下围护结构损失分析及低矮民居损失评估,对单体建筑在风灾中的等级破坏及直接经济损失作出分析.

首先需要输入台风荷载,用户根据实际需要,可以使用第一部分测点风速、风向的计算结果来模拟单体建筑的风灾损失,也可以点击工具栏的打开项,读取另外的风速记录.

下一步,需要用户根据实际情况选择或者输入具体的建筑属性,结构类型包括三种:砌体结构、砖混结构与框架结构,屋顶类型包括单坡屋顶,双坡屋顶以及平屋顶,安全等级则需要根据建筑的保存完好程度选择“保存完好”、“一般损坏”或者“严重损坏”,建筑的面积密度依据实际而定,取值一般在0.1~0.6之间,建筑的估值是指基于当前价格,重建该房屋所需要的费用,单位为万元.

最后,点击“损失预测”,该单体建筑的经济损失随时间的变化将会显示在页面的左下方,同时,建筑信息汇、建筑最终的破坏状态预估、建筑的围护结构及主体承重结构的最终破坏将会显示在页面右下方的文本框里,用户可以根据需要选择是否将其导出,如图3所示.

图3 单体建筑损失预测

Fig.3 Loss prediction of single building

3.3 群体民居建筑损失预测

系统的第三个功能为群体民居建筑损失预测,其是基于VB.NET对ArcGIS进行二次开发实现的.目前公开的资料中,台风灾情统计常以省、市为统计单位,以区/县为单位的较少,而以村镇为统计单位的几乎没有,因此无法对某一具体受灾村庄进行台风灾害模拟并与其实际灾情统计相比较.此处以厦门地区实地调研的芸美村为例,对一实测台风莫兰蒂(最大风速40.8 m/s,13级)的群体民居建筑损失进行预测,模拟结果与附近城市的历史台风灾情统计做对比.

芸美村位于厦门市海沧区,常住人口加暂住人口2 400余人,居民住宅共547栋,主要结构类型为砖混结构、砌体结构及框架结构.其中,砖混结构和砌体结构房屋占比最高,二者之和达到83.4%.砖混结构大多为近年新建的楼房,多为2~4层,主要分布在芸美村西南部.砌体结构多为旧房屋,部分损坏较为严重,主要分布在芸美村的西北部.框架结构房屋主要分布在芸美村东北部,层数较高,一般3~8层.

首先点击“文件读取”,可以读取含有相应建筑信息的三种格式的地理文件(*.shp,*.mxd,*.lyr),左侧上方的图框显示各图层,下方的图框为鹰眼地图功能,右侧的图框为地图显示,如图4所示.地理文件包含的信息可以通过点击“地理信息显示”中的列表查看或者地图显示来查看.另外用户可以通过地图显示功能查看所需要的建筑属性,例如,如果想查询砖混结构类型房屋的分布,依次点击“属性选择-结构类型”、“属性值选择-砖混结构”,点击查询,村庄中的砖混结构房屋的位置就会在右侧的地图中高亮显示.

图4 芸美村砖混结构房屋分布

Fig.4 Distribution of masonry-concrete buildings in Yunmei village

第二步是定义台风荷载信息,如同第二功能,用户可以自行选择台风荷载.此处以台风莫兰蒂实测风速记录来模拟该群体民居建筑损失.

第三步是计算建筑面积密度.点击“建筑面积密度计算”后,系统会以各建筑中心为圆心,周围50 m圆中所包含的所有建筑面积之和占该圆面积的比例即为该建筑的面积密度.同样,用户即可以通过点击工具栏中的识别,可以获取任意要素的建筑面积密度,也可以通过列表查询获得.

最后点击“建筑损失分析-开始分析”,依据前面提出的风灾致低矮建筑损失评估方法,并结合第三步得到的各建筑面积密度,系统可以得到风灾后村庄中各位置建筑的围护结构及主体结构的破坏情况,系统将会自动判断各建筑的破坏等级并计算相应的建筑直接经济损失.

实测台风记录莫兰蒂作用下该村庄各建筑遭受的具体灾害程度分布如图5所示.由图5可以看出,如果在经历13级台风(10 m高度处最大风速40.8 m/s)作用后,村庄的建筑均处于中等破坏及以上,甚至部分建筑达到了严重破坏.点击“建筑损失分析-直接经济损失显示”,系统可以自动计算所有建筑直接经济损失之和,显示村庄的总经济损失以及将各建筑的经济损失显示在右侧的地图中.

图5 群体建筑破坏等级分布

Fig.5 Distribution of damage level for group buildings

由于在目前公开的资料中,台风灾情统计常以省、市为统计单位,以村镇为统计单位的几乎没有,所以无法将芸美村在遭遇台风作用后的模拟结果与风灾实例相对比.表6为近年福建及周围县市曾经遭遇台风灾害后的灾情统计,由于影响经济损失的因素较多,如地区GDP和建筑密集度等,因此,导致即使同一台风经过时,不同区域的经济损失也可能发生较大差异.图6为群体建筑直接经济损失图.模拟结果显示芸美村经历13级台风后的直接经济损失为2 065万元,与表6中的灾情统计相比,符合预期.

用户可以通过列表查看以及地图显示来查看各种破坏等级的建筑.另外,该系统具有一定的数据分析功能,例如,用户可以按照结构类型、屋顶类型、保存完好程度、建筑层数等来分别统计不同破坏等级房屋的数量,这样可以方便用户进一步进行数据分析.图7为系统分别统计了各结构类型各破坏等级的数量,可以看出相比其他结构类型房屋,砌体结构房屋破坏最为严重,严重破坏占比达到了75%,符合实际情况.

表6 部分县市台风灾害灾情统计

Tab.6 Damage statistics after typhoon in some counties and cities

时间台风最大风速统计范围直接经济损失/亿元平均损失数据来源2015.8苏迪罗12级,35m/s安徽霍山县30余个村庄4.5001500万元/村庄六安市民政局2006.8桑美15级,50m/s福建省福鼎市受灾43.5万人,房屋破坏35.12万间32.8230.750亿元/万人福鼎市民政局2013.8潭美12级,35m/s福建省平潭县,受灾23万人1.3200.057亿元/万人平潭县民政局2015.7灿鸿14级,45m/s浙江省绍兴上虞区,受灾5万人1.5000.300亿元/万人绍兴市民政局2015.7灿鸿14级,45m/s浙江省绍兴新昌县,受灾1万人2.5302.530亿元/万人绍兴市民政局

图6 群体建筑直接经济损失

Fig.6 Direct economic loss for group buildings

图7 群体建筑损失统计

Fig.7 Loss statistics for group buildings

4 结 论

本文提出了一种风灾致村镇建筑损失评估方法,该方法对村镇建筑的围护结构及主体承重结构分别建立破坏矩阵,并根据二者的破坏状态判断低矮建筑的破坏等级,结合实地调研和工程经验建立了相关的建筑直接经济损失模型.开发了台风灾害管理信息系统,详细阐述了各功能的使用原理,并以实地调研村庄为模拟对象,采用实测台风记录对村庄进行破坏状态及经济损失预估模拟,模拟结果与有关灾情统计对比符合预期,验证了该系统以及风致村镇建筑损失评估方法的可行性.得到的结论如下:

1)提出的风致低矮民居损失评估方法可以综合考虑房屋的风速、风向、结构类型、保存完好程度、建筑面积密度等因素对房屋破坏状态的影响,结合工程经验及灾后调查报告,采用定量和定性的方式实现了灾后建筑破坏等级划分,并进一步拓展和建立了建筑直接经济损失预估模型.

2)台风灾害管理信息系统结合了ArcGIS在分析、计算地理信息中的优势,可以实现台风风场计算、建筑破坏等级评估、直接经济损失评估等功能.该系统可以方便用户查看群体低矮建筑中不同破坏等级的分布,并具有一定的数据分析功能,可以为有关部门及研究人员提供相关台风灾前预防及灾后救援等帮助.

参考文献(References):

[1] 葛学礼,朱立新,于文.我国村镇建筑防灾研究概述[J].自然灾害学报,2014,23(2):8-14.

(GE Xue-li,ZHU Li-xin,YU Wen.Overview of researches on disaster prevention of buildings in village and town[J].Journal of Natural Disasters,2014,23(2):8-14.)

[2] 霍林生,王银坤,李永鑫,等.台风“苏迪罗”对福建沿海村镇房屋破坏情况的调研[J].防灾减灾工程学报,2016,36(2):315-322.

(HUO Lin-sheng,WANG Yin-kun,LI Yong-xin,et al.Investigation of building damage condition of coastal towns and villages in Fujian province by typhoon “Soudelor”[J].Journal of Disaster Prevention and Mitigation Engineering,2016,36(2):315-322.)

[3] 万金红,陈武,张葆蔚,等.2014年超强台风“威马逊”灾害特征与社会致灾机制分析[J].灾害学,2016,31(3):78-83.

(WAN Jin-hong,CHEN Wu,ZHANG Bao-wei,et al.Analysis on flood disaster characteristics and disaster mechanism caused by the super typhoon “Rammasun” in 2014[J].Journal of Catastrophology,2016,31(3):78-83.)

[4] 李牧羽.东南沿海低矮房屋表面风荷载数值模拟与抗风设计研究[D].大连:大连理工大学,2015.

(LI Mu-yu.Numerical simulation of surface wind load and wind resistant design for low-rise buildings in southeast coastal areas[D].Dalian:Dalian University of Technology,2015.)

[5] 李永鑫.低矮双坡屋面房屋风致干扰效应研究[D].大连:大连理工大学,2016.

(LI Yong-xin.Wind-induced mean interference effects between low-rise buildings with gable roof[D].Dalian:Dalian University of Technology,2016.)

[6] 高阳.低矮建筑屋面局部极值风压特性的风洞试验研究[D].湘潭:湖南科技大学,2017.

(GAO Yang.Wind tunnel test research on extreme wind pressure characteristic on local roof of low-rise buildings[D].Xiangtan:Hunan University of Science and Technology,2017.)

[7] 戴益民,李秋胜.低矮房屋迎风屋面局部风压特性研究[J].建筑结构,2011,41(6):103-109.

(DAI Yi-min,LI Qiu-sheng.Wind pressures around the windward roof edges on low-rise buildings[J].Buildings Structure,2011,41(6):103-109.)

[8] 胡尚瑜.台风作用下低矮房屋风荷载现场实测和风洞试验及理论分析研究[D].长沙:湖南大学,2012.

(HU Shang-yu.Field measurement,wind tunnel tesing and theoretical analysis of typhoons-induced wind loads on low-rise buildings[D].Changsha:Hunan University,2012.)

[9] 钟兴春,方伟华,曹诗嘉.基于构件损毁模拟仿真的沿海农村典型低矮房屋台风风灾易损性研究[J].北京师范大学学报(自然科学版),2017,53(1):51-59.

(ZHONG Xing-chun,FANG Wei-hua,CAO Shi-jia.Probabilistic component-based Monte Carlo simulation of vulnerability for a typical low-rise rural residential building in coastal China[J].Journal of Beijing Normal University(Natural Science),2017,53(1):51-59.)

[10] 刘学敏.强风作用下低矮房屋抗风能力分析[D].大连:大连理工大学,2016.

(LIU Xue-min.The resistance analysis of low-rise buildings in strong wind[D].Dalian:Dalian University of Technology,2016.)

[11] Federal Emergency Management Agency(FEMA).Multi-hazard loss estimation methodology,earthquake model,Hazus-MH 2.1 technical manual[R].Washington D C:Federal Emergency Management Agency,2012.

[12] Gulati S,George F,Hamid S.Estimating extreme losses for the Florida public hurricane model-part II[J].Theoretical and Applied Climatology,2018,131(3/4):1191-1202.

[13] Li M X,Wang G X.Research on the loss of group residential buildings under fierce winds[J].Natural Hazards,2018,90(2):705-733.

[14] 方伟华,钟兴春,乔阳,等.基于浙江省台风灾害保险数据的农村住房易损性评价[J].北京师范大学学报(自然科学版),2011,47(4):409-414.

(FANG Wei-hua,ZHONG Xing-chun,QIAO Yang,et al.Estimation of rural residential building vulnerability to tropical cyclone hazards by insurance claim data:case study in Zhejiang province of China[J].Journal of Beijing Normal University(Natural Science),2011,47(4):409-414.)

Loss assessment of rural buildings under wind disaster and typhoon disaster management system

WANG Guo-xina,b, LI Ming-xina,b

(a.State Key Laboratory of Coastal and Offshore Engineering, b.Institute of Earthquake Engineering, School of Hydraulic Engineering, Faculty of Infrastructure Engineering, Dalian University of Technology, Dalian 116024, China)

AbstractIn order to evaluate the loss of rural buildings under the action of wind disaster, a damage assessment method for low-rise buildings was proposed.The influences of various factors, including structural type, preservation degree, building area density and the interaction among different structural components etc., on building loss were analyzed.Damage matrixes of wind speed and wind direction were established for the envelope and the main load-bearing structures, respectively.The damage level of low-rise residential buildings was defined, and a direct loss assessment model of related buildings was established.Furthermore, in order to apply the wind disaster assessment method to actual situation, a secondary development of ArcGIS was carried out, and a typhoon disaster management system was established.Result comparison between the simulation data and the related disaster statistics shows that the as-proposed construction loss assessment method is entirely comprehensive and applicable to some degrees.

Key wordswind disaster; structure type; envelope structure; main load-bearing structure; damage assessment; economic loss; secondary development; management system

中图分类号:TU 362

文献标志码:A

文章编号:1000-1646(2020)01-0096-07

收稿日期2018-03-02.

基金项目国家自然科学基金项目(51578113);国家重点研发计划项目(2018YFD1100405).

作者简介王国新(1961-),男,辽宁沈阳人,教授,博士生导师,主要从事岩土地震工程等方面的研究.

*本文已于2019-10-22 17∶20在中国知网优先数字出版.网络出版地址:http:∥kns.cnki.net/kcms/detail/21.1189.T.20191223.1427.038.html

doi:10.7688/j.issn.1000-1646.2020.01.18

(责任编辑:钟 媛 英文审校:尹淑英)