一种直流互感器暂态校验装置及校验算法设计*

聂 琪, 李登云, 胡浩亮, 曾非同, 万 鹏

(中国电力科学研究院有限公司 计量研究所, 武汉 430074)

摘 要: 暂态校验设备缺乏、校验技术水平较低和缺少试验规范是导致当前直流互感器暂态校验试验无法开展的重要原因,为了解决上述问题,研制了一种基于高速采样与FT3实时快速解析技术的直流互感器暂态校验装置.提出测量阶跃波形参考电平的众数法和平均值法,并对其进行分析比较,基于众数法的阶跃波形测量的准确度更高,故利用该暂态校验装置对某厂家的直流互感器进行暂态特性试验.试验结果表明,该直流互感器暂态校验装置可实现模拟量与数字量输出的直流互感器的全暂态参数校验.

关 键 词: 直流互感器; 暂态校验; 众数法; 柔性直流输电; 高速采样; FT3实时快速解析; 全暂态参数校验; 校验试验

近年来,柔性直流输电作为新一代直流输电技术,在孤岛供电、城市配电网的增容改造、交流系统互联、大规模风电场并网方面均展示较强的优势,弥补了传统直流输电的局限性.柔性直流输电系统的调控能力较强,但故障瞬时电流大,直流阀IGBT的过流能力弱,因此,为提高柔性直流系统的响应速度,抑制故障电流,对柔性直流输电用直流互感器的暂态特性提出了较高要求[1-2].国家标准GB/T26216.1-2010和GB/T26217-2010中明确规定了直流互感器暂态特性指标,包括过冲、上升时间、趋稳时间、响应时间等参数,建议使用阶跃响应测量直流互感器的暂态特性[3];标准IEC61869-15中给出较全面的直流互感器暂态特性指标及指标解释.

国内针对交流互感器暂态特性校验技术研究相对成熟[4-5],而对直流互感器暂态特性校验技术的研究则相对落后.目前通常对阶跃响应时间与阶跃上升时间进行测量[6],或采用示波器录波方式观察阶跃响应波形的上升时间和延迟时间[7-9],缺乏全面、完整的暂态参数测量方法.

本文研制了一种直流互感器暂态校验装置,基于高速采样和FT3实时快速解析技术,可实现模拟量输出型与数字量输出型直流互感器的暂态特性测量.提出了阶跃波形幅值测量的3种算法及比较,利用LabVIEW软件设计基于众数算法的阶跃波形幅值及暂态参数测量程序,从而能够实现阶跃响应全暂态参数的准确测量.

1 直流互感器暂态特性校验方案

根据IEC61869-15的要求,直流互感器暂态特性校验需要计算阶跃响应曲线的上升时间、阶跃响应时间、建立时间、过冲、趋稳时间和延迟时间等参数.直流电压互感器暂态特性校验方案如图1所示.直流电压互感器暂态校验时,利用暂态电压源系统输出阶跃电压,同时施加到标准分压器与被测直流电压互感器的高压侧.利用直流互感器暂态校验装置,对标准分压器和被测互感器的二次输出信号进行测量.校验时,由暂态电压源的控制系统提供同步触发信号.

图1 直流电压互感器暂态校验方案
Fig.1 Transient calibration scheme for DC voltage transformer

暂态电压源系统一般由200 kV直流电压源、储能电容、开关组件等组成,构成典型的二阶RLC电路,用于产生阶跃电压信号,其主要技术参数如表1所示.标准分压器的上升时间小于1 μs,满足暂态校验要求.

表1 暂态校验系统主要技术参数
Tab.1 Main technical parameters for transient calibration system

参数名称参数指标幅值5~200kV连续可调,分辨力500V上升时间≤10μs过冲≤5%趋稳时间≤100μs持续时间趋稳后的时间1~10ms连续可调持续时间内纹波≤1%放电时间≤1min标准互感器准确度优于0.2%,上升时间≤1μs

直流互感器暂态校验装置主要由高速报文解析装置和校验系统组成,其中,校验系统包括高速采集卡、时钟同步装置和上位机控制系统.高速采集卡可用于标准互感器与被测互感器的模拟量采集,高速报文解析装置用于对数字量输出型直流互感器的FT3数字报文进行解析.时钟同步装置用于接收外部同步触发信号,并提供校验装置同步采集的电秒脉冲与光秒脉冲.校验装置可完成模拟量输出型与数字量输出型直流互感器的暂态特性校验.对模拟量输出型直流互感器进行暂态校验时,由高速采集卡同时对标准互感器与被测互感器的输出模拟量信号进行采样.对数字量输出型直流互感器进行暂态校验时,由高速采集卡与高速报文解析装置分别对标准互感器和被测互感器的模拟量、数字量进行采样.

高速采集卡采用NI公司的PXI系列采集卡,采样率设置为2 MHz,采样分辨率为16位,测量准确度优于0.2%,测量延时小于0.1 μs.高速报文解析装置基于FPGA和嵌入式系统双构架,利用FPGA的实时性和嵌入式系统强大的协议栈功能实现FT3协议的快速解析,数字量化误差小于0.01%,整体输出延时小于1 μs;时钟同步装置也基于FPGA技术开发,脉冲信号的上升沿和下降沿时间均小于300 ns,正反向输出信号相位误差小于10 ns,直流互感器暂态校验装置能够满足暂态特性测量的硬件需求.

2 暂态校验算法设计

直流互感器暂态特性校验时,暂态校验算法主要针对直流互感器暂态校验装置的标准与被测采样通道阶跃波形的暂态参数进行计算.暂态阶跃响应校验算法的关键在于:1)准确测量阶跃波形的最终稳态值和初始稳态值,也常称为高参考电平和低参考电平值;2)准确测量各阶跃点的时刻和幅值.阶跃波形参数测量原理如图2所示.

图2 阶跃波形参数测量原理
Fig.2 Measurement principle of step waveform prameters

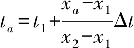
假设图2中点(taxa)为阶跃波形,a%阶跃的时间和幅值分别为taxa,(t1x1)和(t2x2)分别为该点前后相邻的两个离散采样点,采样时间间隔Δt=t2-t1,也为阶跃波形采样频率的倒数.xLxH分别为阶跃波形的低参考电平及高参考电平,则a%阶跃点的幅值xa

xa=a%(xH-xL)+xL

(1)

暂态阶跃响应校验时,校验装置的采样率通常较大,Δt较小,(t1x1)和(t2x2)两个采样点间的采样波形近似线性,采用插值法计算ta

(2)

阶跃点的时间和幅值测量准确度与阶跃波的低参考电平及高参考电平测量准确度有关.常用的测量阶跃波形参考电平方法有最值法、平均值法和众数法.最值法最为简单,即将阶跃波形采样数据中的最大值和最小值分别作为阶跃波形的高参考电平与低参考电平.最值法不适用于噪声较大或具有较大过冲的阶跃波形,即测量误差较大.平均值法是将测量阶跃稳态波形中某时间段内数据的平均值作为该阶跃稳态波形的参考电平值,具体实现如图3所示.

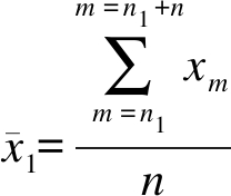
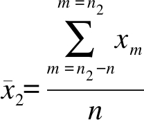
假设采样频率为f的某阶跃波形序列x[0,m]的50%阶跃点对应的时间和元素索引值为t2n2,设置时间边界窗为2Δt1,使Δt1=t2-t1=t3-t2,时间边界窗宽度可根据阶跃电源的持续时间进行调整.分别取时间窗两个边界范围内的n组数据,测量其平均值t1t3对应采样点的索引值为n1=n2-fΔt1n3=n2+fΔt1,则n组数据的平均值

图3 基于平均值法的阶跃波形幅值测量原理
Fig.3 Measurement principle of step waveform amplitude based on average method

(3)

(4)

平均值法阶跃波形幅值测量准确度主要取决于样本数n和Δt1的取值,通常样本数n越大,测量结果越准确.若Δt1值过大,边界窗会超出阶跃波形范围;Δt1值过小,所取样本可能会包含阶跃沿或过冲波形数据,导致平均值测量不准确.

众数法[10]将阶跃响应波形曲线的幅值范围区间[xminxmax]分为M份等宽度的小区间,并将M份等宽度的小区间分别编号为Δx1,Δx2,…,Δxi,…,ΔxM.令xH附近阶跃响应波形曲线以最大频率落在某一区间,利用上限与下限公式计算该区间内的众数xM,即得到高参考电平值xH;同理,计算xL附近低参考电平值xL,即

(5)

(6)

式中:L为众数所在组下限;U为众数所在组上限;Δ1为众数所在组次数与其下限相邻组的次数之差;Δ2为众数所在组次数与其上限相邻组的次数之差.通常众数法的分区宽度Δx越小,统计的阶跃波形的幅值密度分布越精确.若想降低上升时间测量不确定度,可缩小众数法的分区宽度Δx,但也会受到测量系统分辨力的限制.

为了验证暂态校验算法的准确性,本文研制了阶跃信号波形发生装置,通过LabVIEW上位机编程控制函数信号发生器输出两路上升时间、相位、过冲和建立时间可调的阶跃响应曲线.函数信号发生器型号为泰克公司的AFG3252,根据第三方检测机构出具的校准数据显示,其幅值误差率小于1%,时间误差小于1 μs,阶跃信号波形发生装置如图4所示.

图4 阶跃信号波形发生装置
Fig.4 Step signal waveform generating device

本文针对众数法和平均值法的测量准确度进行了分析比较,通过阶跃信号发生装置编程输出4种上升时间与过冲值不同的阶跃波形,利用平均值法与众数法分别对阶跃波形幅值进行多次测量,结果如图5所示.

众数法测量结果的波动相对较小,多次测量值的标准偏差较小;而平均值法的测量结果会有较大的突变值,特别对具有过冲的阶跃波形进行测量时较为明显.因此,本文选用众数法测量阶跃波形的高参考电平与低参考电平.

针对当前部分利用方波测量直流互感器暂态特性的情况进行改进,首先,利用众数法测量阶跃波形中全部50%阶跃点的时间,自适应判断阶跃波形为单阶跃波形或方波,并识别出方波波形中阶跃波的数量.基于前面的边界窗法,以时间窗口2Δt1在50%阶跃点处将方波分解为多个单阶跃波形[t1t3],分解原理如图6所示.

分别将标准方波波形与试品方波波形分解为多个单阶跃波形,再利用众数法和线性插值法测量每个单阶跃波形中对应的5%、10%、90%、98.5%、101.5%阶跃点的时间与幅值,计算出上升时间、阶跃响应时间、趋稳时间和过冲等暂态参数.

3 性能试验

为充分验证直流互感器暂态校验装置性能,首先利用研制的直流互感器暂态校验装置对某厂家的模拟量输出型直流电压互感器进行暂态特性试验,然后利用国家高电压计量站直流互感器校验仪暂态整检装置对直流互感器暂态校验装置进行性能检测,测量装置及性能试验如图7所示.

图5 基于平均值法和众数法的测量准确度比较
Fig.5 Comparison of measurement accuracy based on average and mode methods

选取的直流电压互感器电压等级为500 kV,二次输出为模拟量5 V,准确度等级为0.05级,出厂试验报告中仅给出阶跃响应时间指标小于250 μs,没有提供具体数值.对直流电压互感器进行暂态特性试验时,阶跃电压源输出阶跃波形的上升时间为10 μs,无过冲,试验波形如图8所示.标准分压器和被测直流互感器的暂态试验结果如表2所示.

图6 方波分解原理
Fig.6 Decomposition principle of square wave

图7 直流互感器暂态校验装置及性能试验
Fig.7 Transient calibration device and performance test for DC transformer

图8 模拟量输出型直流互感器暂态试验波形
Fig.8 Transient test waveform of analog output from DC transformer

表2 模拟量输出型直流互感器暂态试验结果
Tab.2 Transient test results of analog output from DC transformer

暂态参数试验结果标准互感器被测互感器高参考电平/kV202.2440202.6614低参考电平/kV-0.00600.0052上升时间/μs10.404726.5754响应时间/μs54.250791.3832趋稳时间/μs56.786198.2100过冲/%0.13070.1235延迟时间/μs-37.1326

由表2的测量结果可知,阶跃电压源上升时间参数为10 μs时,标准分压器测量上升时间为10.4 μs,与技术参数相近.而被测直流互感器上升时间为26.57 μs,阶跃响应时间与趋稳时间分别为91.38、98.21 μs,延迟时间为37.13 μs,因此,直流互感器暂态校验装置能够实现直流互感器的暂态特性校验.

利用直流互感器校验仪整检装置对直流互感器暂态校验装置进行整检,暂态整检装置输出5种上升时间、过冲和延迟时间不同的阶跃波形.模拟量通道与数字量通道校验结果如表3、4所示.

表3 模拟量通道暂态特性校验
Tab.3 Calibration of transient characteristics of analog channel

阶跃类型上升时间误差μs响应时间误差μs趋稳时间误差μs过冲%1-0.03-0.03-0.090.772-0.2421.9621.860.0030.1150.0549.690.0340.06-0.021.31-0.035-0.0822.1322.39-0.21

表4 数字量通道暂态特性校验
Tab.4 Calibration of transient characteristics of digital channel

阶跃类型上升时间误差μs响应时间误差μs趋稳时间误差μs过冲%18.64 1.221.900.6826.1921.9220.340.1133.7947.9847.560.0144.86-1.840.25-0.7957.6117.6216.53-0.27

由试验结果可知,模拟量通道校验结果相对数字量通道校验结果更精确,上升时间误差小于1 μs,响应时间误差与设定的试品延时误差最大为2.13 μs,趋稳时间与响应时间的误差相近,过冲误差小于1%;数字量通道校验的上升时间误差最大为8.64 μs,响应时间误差与设定的试品延时误差最大为2.38 μs,过冲误差小于1%.数字量通道校验时的上升时间测量误差较大的主要原因是:输入的数字量采样率较低,引入不确定度误差.整检装置输出的FT3数字阶跃波形采样率为50 kHz,采样间隔时间为20 μs,校验装置利用线性插值法计算阶跃点的时间和幅值时会引入较大的误差.

4 结 论

研制的直流互感器暂态校验装置能够实现直流互感器的上升时间、阶跃响应时间、趋稳时间、过冲和延迟时间等暂态参数的测量.模拟量通道校验误差相对较小,时间测量误差小于3 μs,过冲测量误差小于1%,能够满足直流互感器暂态校验需求.数字量通道校验的延迟时间测量误差与过冲测量误差较小,但上升时间测量误差相对较大.由于输入的FT3数字量采样率较低,会引入不确定误差,因此需要改进暂态校验算法,以修正数字采样时间间隔.

参考文献

[1]于永生,冯延晖,江红鑫,等.一种风电场经柔性直流输电并网控制方法改进探讨 [J].电网与清洁能源,2015(7):81-87.

(YU Yong-sheng,FENG Yan-hui,JIANG Hong-xin,et al.An improvement on large-scale wind power grid integration through VSC-HVDC [J].Power System and Clean Energy,2015(7):81-87.)

[2]徐政,刘高任,张哲任,等.柔性直流输电网的故障保护原理研究 [J].高电压技术,2017,43(1):1-8.

(XU Zheng,LIU Gao-ren,ZHANG Zhe-ren,et al.Research on fault protection principle of DC grids [J]High Voltage Engineering,2017,43(1):1-8.)

[3]中国国家标准化管理委员会.GB/T 26216.1-2010 电子式直流电流测量装置 [S].北京:中国标准出版社,2011.

(National Standardization Administration Committee of China.GB/T 26216.1-2010 Electronic DC current measuring devices for HVDC transmission systems [S].Beijing:China Standard Press,2011.)

[4]王玲,汪本进,吴士普,等.电子式电流互感器暂态特性检测系统研究 [J].高压电器,2014,50(11):86-91.

(WANG Ling,WANG Ben-jin,WU Shi-pu,et al.Study on transient characteristics test method of elec-tronic current transformer [J].High Voltage Apparatus,2014,50(11):86-91.)

[5]束洪春,刘鑫,张青瑞.基于电子式电压互感器的行波测距技术 [J].沈阳工业大学学报,2016,38(4):367-372.

(SHU Hong-chun,LIU Xin,ZHANG Qing-rui.Traveling wave ranging technology based on electronic vol-tage transformer [J].Journal of Shenyang University of Technology,2016,38(4):367-372.)

[6]聂琪,胡浩亮,李登云,等.一种直流电流互感器阶跃响应校验系统 [J].电测与仪表,2018,55(19):112-118.

(NIE Qi,HU Hao-liang,LI Deng-yun,et al.A step response calibration system for DC current transformer [J].Electrical Measurement & Instrumentation,2018,55(19):112-118.)

[7]张杰,姚俊,姚翔宇,等.保护用电子式电流互感器暂态特性试验关键技术及装置研制 [J].高电压技术,2018,44(7):2159-2164.

(ZHANG Jie,YAO Jun,YAO Xiang-yu,et al.Critical technology and equipment development of transient characteristics test on electronic current transformer for protection [J]High Voltage Engineering,2018,44(7):2159-2164.)

[8]张杰,胡媛媛,刘飞,等.高压直流互感器现场校验关键技术 [J].高电压技术,2016,42(9):3003-3010.

(ZHANG Jie,HU Yuan-yuan,LIU Fei,et al.Critical technology of on-site calibration system for DC electronic instrument transformer [J].High Voltage Engineering,2016,42(9):3003-3010.)

[9]李登云,雷民,熊前柱,等.数字量输出型直流电压互感器的误差特性分析 [J].现代电子技术,2018,41(4):119-123.

(LI Deng-yun,LEI Min,XIONG Qian-zhu,et al.Error characteristic analysis of digital output type DC voltage transformer [J].Modern Electronics Technique,2018,41(4):119-123.)

[10]寇琼月,张红,张磊.数字示波器上升时间的测量不确定度分析与评定 [J].电子测量技术,2016(1):31-34.

(KOU Qiong-yue,ZHANG Hong,ZHANG Lei.Ana-lysis and evaluation of uncertainty of rise time mea-surement of digital oscilloscopes [J].Electronic Measurement Technology,2016(1):31-34.)

Design of a transient calibration device and algorithm for DC transformer

NIE Qi, LI Deng-yun, HU Hao-liang, ZENG Fei-tong, WAN Peng

(Measurement Research Institute, China Electric Power Research Institute Co.Ltd., Wuhan 430074, China)

Abstract The lack of transient calibration equipment, under developed calibration technology and lack of test specifications are important reasons for the termination of the transient calibration test for current DC transformer. In order to solve the above-mentioned problem, a transient calibration device for DC transformer based on high-speed sampling and FT3 real-time fast analysis technology was developed. A mode method and an average method for measuring the reference level of step wave form were proposed and compared. The step waveform measurement based on mode method has higher accuracy. Therefore, the as-proposed calibration device was used to perform transient characteristic test on a DC transformer from a manufacturer. The test results show that the transient calibration device for the DC transformer can realize the full transient parameter calibration of DC transformer with both analog and digital output.

Key words DC transformer; transient calibration; mode method; flexible DC transmission; high speed sampling; FT3 real-time fast analysis; full transient parameter calibration; calibration test

收稿日期 2019-07-18.

基金项目 国家重大科学仪器设备开发专项(2016YFF010240); 中国电力科学研究院有限公司科技项目(JL83-19-010); 国家电网公司科技项目(JL71-17-005).

作者简介 聂 琪(1991-),男,江西宜春人,工程师,硕士,主要从事高压计量与直流互感器校验技术等方面的研究.

*本文已于2020-05-15 16∶02在中国知网优先数字出版. 网络出版地址: http:∥kns.cnki.net/kcms/detail/21.1189.T.20200515.0956.006.html

doi:10.7688/j.issn.1000-1646.2020.03.05

中图分类号: TM 933

文献标志码:A

文章编号:1000-1646(2020)03-0264-06

(责任编辑:景 勇 英文审校:尹淑英)