考虑多源信息的配电网故障定位容错方法*

于安迎1, 程云祥1, 卢 芳1, 李嘉媚2, 刘 旭1

(1. 国网山东省电力公司 日照供电公司, 山东 日照 276826; 2. 上海交通大学 电子信息与电气工程学院, 上海 200240)

摘 要: 针对传统配电网故障定位算法仅考虑配电网馈线终端单元作为单一信息源存在容错率较低的问题,利用用户用电采集系统的供电信息作为冗余信息,考虑分布式电源接入配电网的影响构建故障定位适应度函数,并通过二进制粒子群算法求解模型.利用改进D-S证据理论进行证据融合,根据证据决策准则得到配电网故障区段定位结果.仿真结果表明,该算法可有效实现故障定位,并且在单重故障与双重故障下FTU信息有误时,较传统算法相比容错率有所提高.

关 键 词: 泛在电力物联网; 多源信息; D-S证据理论; 粒子群算法; 容错率; 故障定位; 分布式电源; 配电网

传统的配电网故障定位模型只使用配电开关监控终端(FTU)作为单一信息源,将故障定位问题转化为优化问题[1-3],当信息出现漏报、误报时,传统方法容错率较低.随着泛在电力物联网建设的全面推进,用户与电网企业产生共享数据,提高了电网与用户之间的泛在连接能力,可依托全业务统一数据中心,将用户用电采集系统作为故障定位冗余信息源,提高故障定位容错性.与此同时,促进清洁能源消纳成为电力物联网建设的重要内容之一,因此配电网故障定位必须考虑分布式电源(DG)接入对故障潮流的影响[4-5].

文献[6]基于配电网的故障指示器、配变报警和电话投诉三种信息源建立不同的网络树状图,通过搜索网络树状图进行初步故障定位,并利用改进的D-S证据理论进行信息融合;文献[7]利用径向基函数神经网络估计短路回路等值电抗,以FTU故障信息和短路回路等值电抗为特征量,建立改进的BP神经网络故障区段定位模型.文献[6-7]虽然都计及了故障信息的不可靠性,但是只考虑了配电网单电源的情况.文献[8]为提高故障定位模型的容错性,将节点的漏报、误报与线路区段状态一起作为故障定位模型的特征变量,导致变量维数过大,可能导致该方法收敛性较差.针对以上问题,本文提出了计及分布式电源影响的基于多源信息的配电网故障定位方法.

1 定位模型分析

1.1 利用FTU信息的故障定位模型

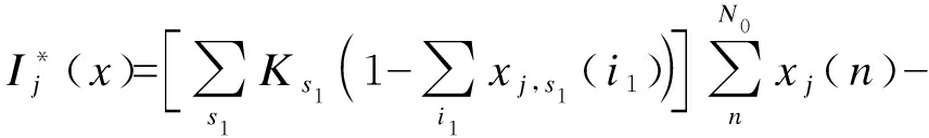
当配电网某一点发生短路故障,可以通过设定区别短路电流与工作电流的FTU上报阈值获取故障过流信息[9].但是由于DG的接入,配电网潮流不再是单向,因此假定系统电源至配电网馈线的方向为正方向,第j号开关处检测到的过流信息编码为

(1)

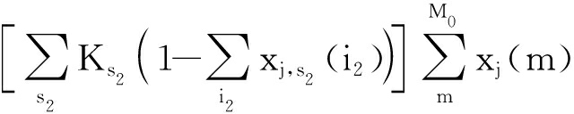
考虑DG接入后对故障电流的影响,将系统分为两部分,以第j号开关为分割点,其中包括系统电源的部分为上半区,另一部分为下半区,可构建开关函数为

(2)

式中:“∑”为逻辑“或”运算;Ks1Ks2为电源的接入系数,判断第j号开关上、下半区的电源是否接入系统,若接入其值取1,否则为0;xjs1xjs2分别为第j号开关到上半区电源s1、下半区电源s2路径上所经过线路区段的状态值,当线路故障时状态值取1,否则取0;xj(m)、xj(n)分别为第j号开关上、下半区线路区段状态值;M0N0分别为第j号开关上、下半区线路区段总数.

1.2 利用用户用电采集系统的故障定位模型

用户用电采集系统可对电力用户的用电信息进行采集、处理和实时监控,实现用电信息的自动采集、计量异常检测、电能质量检测等,因此,可以利用用户用电采集系统采集的实时用户信息确定用户处的实时供电情况,作为故障定位的另一信息源.

考虑到DG接入配电网之后,用户的供电电源不再只是系统电源,所以判定该区域是否供电正常时需考虑该区域的供电电源.在保护装置正常工作的情况下,第j个用户的供电情况为

(3)

式中,sj为用户j的供电电源.

1.3 证据融合模型

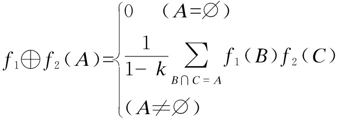
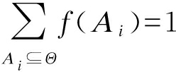
本文采用D-S证据理论进行信息融合.D-S证据理论在1967年由Dempster[10]提出,利用上、下限概率解决多值映射问题,后由Shafer[11]进一步推广.对于某一问题的所有可能结果用集合Θ表示,Θ称为识别框架,包含有限的互斥命题,即Θ={A1A2,…,Ap}.对于集合Θ概率分配函数f应满足

f(∅)=0

(4)

(5)

式中,Aif的焦元.

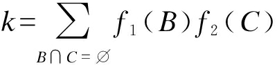
对于本文中来自两个信息源的证据,它们的概率分配函数分别为f1f2,且相互独立,可将其进行融合,即

(6)

(7)

式中,k为证据之间的冲突系数.

然而由于存在FTU信息漏报、异常的情况,可能使由异常信息得到的证据与由正确信息得到的证据发生冲突.当证据之间的冲突程度较大时,通过上述规则融合后会出现与实际不相符的结果,证据之间发生冲突的原因是各证据体之间的焦元无交集.由于全集Θ与所有焦元均有交集,所以在证据体中加入全集Θ,并对于证据体中原有焦元的概率分配密度乘以相同的折扣率u(u<1),则有

F′={A1A2,…,ApΘ}

(8)

f′(Ai)=uf(Ai)

(9)

f′(Θ)=1-u

(10)

由于现场运行中FTU采集的信息漏传、误传问题十分严重,可靠度较低,因此u1取为0.6;而用户用电采集系统召测的信息比较准确,可靠度较高,因此u2取为0.8.

1.4 证据决策准则

引入用户用电采集系统的供电信息作为冗余信息,虽然提高了故障定位的准确度,但是由于用户供电信息较少,利用其进行故障定位时容易出现收敛至出现多个最优解的情况.综上,通过改进的证据决策准则确定最终决策结果.

1) 当分别利用两种信息源进行故障定位均收敛至一个最优解时,直接选择证据融合之后概率密度最大的焦元作为最终决策结果.

2) 当在进行故障定位收敛至多个最优解时,选择满足下述条件的证据融合条件,取证据融合之后概率密度最大的焦元作为最终决策结果:

k值最小.k表示证据之间的矛盾程度,k值越小,证据之间冲突程度越小.

② 概率密度差值最大.证据融合之后按照概率密度递减排序,计算排序第一焦元与第二焦元概率密度差值,差值越大代表概率密度最大焦元的支持程度越高.

③ 焦元的最大概率密度大于全集的概率密度.

2 模型求解算法

粒子群算法是根据鸟群捕食行为而提出的一种群体智能演化算法.在每次迭代中,粒子根据位置和速度两个矢量来寻求问题的可行解,并根据个体最优解Pbest和群体最优解Gbest更新粒子的位置矢量和速度矢量.粒子群算法的主要特点是控制参数较少,可以进行随机搜索,具有全局优化能力和并行性等.粒子的位置和速度更新公式为

(11)

(12)

式中:分别为粒子ik+1代第d维的速度与位置;α为惯性因子;c1c2为加速因子;为粒子ik代第d维的个体最优位置;为整个群体中第k代第d维的群体最优位置;为粒子ik次迭代时,在第d维上生成的[0,1]区间上的随机数.

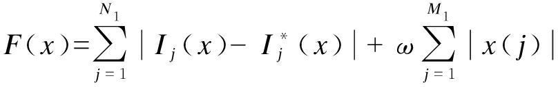
利用FTU与用户用电采集系统信息构建的适应度函数为

(13)

式中:Ij(x)为FTU与用户采集系统上传的故障信息;M1为线路区段总数;x(j)为线路区段状态;ω为不大于1的随机正系数.第一项为实际收到的故障信息与期望故障信息之间的差异,若为利用FTU构建的适应度函数,则N1为配电网中FTU的数量;若为利用用户用电采集系统信息构建的适应度函数,则N1为配电网中用户数量.第二项为发生故障的区段总数.

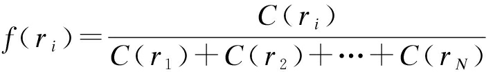
由于粒子群算法是一种群智能搜索算法,在每一次迭代中,粒子群由初始位置逐渐向最优解逼近.随着迭代次数的增加,粒子群中最优解所占比例将越来越大,因此,可以利用满足收敛条件后的粒子浓度表示概率分配函数.因为粒子群中存在适应度较差的解存在,所以无需考虑所有粒子,只需考虑浓度前N的粒子,概率分配函数f可表示为


(i=1,2,…,N)

(14)

式中:ri为粒子群中的粒子;C为概率密度.基于多源信息的故障定位过程如图1所示.

图1 故障定位流程图
Fig.1 Flow chart of fault location

3 算例分析

为了验证本文所提出的故障定位方法的有效性,采用图2所示的含分布式电源的配电网模型进行分析.图2中,G为系统电源,DG1、DG2为分布式电源;K1、K2为分布式电源接入开关;CB1~CB3为进线断路器;S1~S9为分段开关;L1~L10为线路区段编号;A~E为配电网内的用户.分段开关与断路器上均配置FTU,并且可采集用户A~E的用电信息.

图2 配电网案例分析图
Fig.2 Case analysis on distribution network

采用MATLAB编写BPSO和证据融合算法.在BPSO中,粒子群数目为100,最大迭代次数设置为100[10],加速因子c1=c2=2.1;在证据融合算法中,N取5.为验证算法有效性,分为以下4种场景进行分析,故障定位场景汇总如表1所示.

表1 故障定位场景汇总
Tab.1 Summary of fault location scenes

场景序号场景描述单一信息源故障定位多源信息源故障定位1区段3故障且FTU上传信息有误区段3、5故障区段3故障2区段2、4故障且FTU上传信息有误区段2故障区段2、4故障3区段5故障且FTU上传信息无误区段5故障区段5故障4区段5故障且FTU上传信息有误区段3、5故障区段5故障

1) 场景1.通过此场景验证单重故障时本算法具有较高容错性.当第5个FTU上传的有误信息为[1,0,1,0,0,0,0,-1,-1,-1,0,-1]时,根据证据决策准则可以直接取概率密度最大解,即得出区段3故障结论,结论与实际情况相符,具体结果见表2.利用FTU单一信息源进行故障定位,由于区段3、5故障的概率分配函数最大,则可得到区段3、5故障的结论.

表2 场景1的定位结果
Tab.2 Location results of scene 1

序号故障区段f1f2f定位结果130.1520.5100.37923,50.3940.1030.17331,300.1790.09943,900.1030.05753,400.1030.05763,5,70.18200.03873,5,90.15200.03281,3,4,50.12100.025区段3故障

2) 场景2.通过此场景验证双重故障时本算法具有较高容错性.当第4个FTU上传的有误信息为[1,1,0,0,-1,0,0,-1,-1,-1,0,-1]时,根据证据决策准则可以直接取概率密度最大解,即得出区段2、4故障结论,结论与实际情况相符,具体结果见表3.而利用FTU单一信息源进行故障定位,根据区段2故障的概率分配函数最大,会得到区段2故障的错误结论.

表3 场景2的定位结果
Tab.3 Location results of scene 2

序号故障区段f1f2f定位结果12,40.2000.4050.328220.3200.1890.2183400.1620.08242,4,900.1350.07452,4,500.0860.05962,70.18000.03772,100.16000.0338-0.14000.029区段2、4故障

3) 场景3.通过此场景验证本文提出的判决准则可有效解决利用冗余信息源进行故障定位收敛至多个解的问题.利用用户用电采集系统信息求解时,收敛至三个不同解,因此需要对三种情况分别讨论,证据融合结果具体见表4.由于情况三满足证据决策准则中的三个条件,因此接受情况三概率密度最大焦元为最终结果,即区段5故障.所得结果与实际情况相符,当收敛至多个解时故障定位方法依然有效.

表4 场景3的定位结果
Tab.4 Location results of scene 3

序号情况一故障区段f1f2f情况二故障区段f1f2f情况三故障区段f1f2f1900.4480.272800.3450.20950.4420.5130.5032-0.1630.1030.1153,800.2760.168-0.1630.1800.14137,900.1720.1045,80.1400.1030.1085,80.1400.1030.108450.44200.09950.44200.1015,90.0930.0560.07558,900.1380.0848,1000.1380.0842,500.1030.05162,900.1380.0848,900.1380.0844,500.1030.05175,60.16300.0375,60.16300.0375,60.16300.03085,80.14000.032-0.16300.03795,90.09300.0215,90.09300.021

4) 场景4.此场景对场景三的情况加以改进,验证当接收到的FTU信息有误并且利用用户用电采集系统信息求解时收敛至多个解时,故障定位方法的有效性,证据融合结果具体见表5.由于情况一满足证据决策准则中的三个条件,因此接受情况一概率密度最大焦元为最终结果,即区段5故障,所得结果与实际情况相符.而利用单一信息源进行故障定位时,根据区段3、5故障的概率分配函数最大,会得到区段3、5故障的错误结论.

表5 场景4的定位结果
Tab.5 Location results of scene 4

序号情况一故障区段f1f2f情况二故障区段f1f2f情况三故障区段f1f2f150.1050.5130.371900.1030.2763,800.2760.17023,50.55300.1223,50.55300.1283,50.55300.1283-00.1800.1057,900.1720.106800.3450.10645,900.1030.0608,900.1380.0858,1000.1380.08552,500.1030.0602,900.1380.0858,900.1380.08564,500.1030.060-00.1030.0645,800.1030.06473,5,60.13200.0293,5,60.13200.0303,5,60.13200.03083,5,80.10500.02350.10500.02493,5,100.10500.0233,5,80.10500.024103,5,100.10500.024

4 结 论

为了提高故障定位算法容错性,本文提出了一种基于多源信息融合的配电网故障定位方法.鉴于FTU上报信息误报漏报的问题,引入可靠性较高的用户用电采集系统信息作为冗余信息.针对用户用电采集系统信息较少,且易出现收敛至多个解的情况,提出证据决策准则确定故障区段.通过算例验证了本文提出方法的有效性与可行性,即使在FTU上报信息有误并且用户用电采集系统信息模型收敛至多个解时,依然可以准确地实现故障区段定位.

参考文献(References):

[1]郭艳艳,熊国江.基于正弦与余弦优化算法的配电网故障区间定位 [J].电力系统保护与控制,2017,45(13):97-101.

(GUO Yan-yan,XIONG Guo-jiang.Fault section location in distribution network by means of sine cosine algorithm [J].Power System Protection and Control,2017,45(13):97-101.)

[2]殷豪,李德强,孟安波,等.纵横交叉算法在配电网故障定位中的应用 [J].电力系统保护与控制,2016,44(21):109-114.

(YIN Hao,LI De-qiang,MENG An-bo,et al.Fault location for distribution network based on crisscross optimization algorithm [J].Power System Protection and Control,2016,44(21):109-114.)

[3]谢涛,蒯圣宇,朱晓虎,等.基于改进遗传算法的配电网故障定位方法 [J].沈阳工业大学学报,2019,41(2):126-131.

(XIE Tao,KUAI Sheng-yu,ZHU Xiao-hu,et al.Fault location method for distribution network based on improved genetic algorithm [J].Journal of Shenyang University of Technology,2019,41(2):126-131.)

[4]陈奎,张云,王洪寅,等.基于免疫算法的含分布式电源配电网的故障定位 [J].电力系统保护与控制,2017,45(24):57-62.

(CHEN Kui,ZHANG Yun,WANG Hong-yin,et al.Fault-section location of distribution network containing distributed generation based on immune algorithm [J].Power System Protection and Control,2017,45(24):57-62.)

[5]刘彦超.含分布式电源配电网的快速故障区段定位 [J].电气技术,2017(9):61-71.

(LIU Yan-chao.Fast fault section locating for distribution network with distributed generations [J].Electrical Engineering,2017(9):61-71.)

[6]高湛军,李思远,彭正良,等.基于网络树状图和改进D-S证据理论的配电网故障定位方法 [J].电力自动化设备,2018(6):65-71.

(GAO Zhan-jun,LI Si-yuan,PENG Zheng-liang,et al.Fault location method of distribution network based on tree structure diagram and improved D-S evidence theory [J].Electric Power Automation Equipment,2018(6):65-71.)

[7]王艳松,宗雪莹,衣京波.配电网故障定位容错算法 [J].电力自动化设备,2018(4):91-95.

(WANG Yan-song,ZONG Xue-ying,YI Jing-bo.Fault tolerant algorithm for fault location in distribution network [J].Electric Power Automation Equipment,2018(4):91-95.)

[8]鲍玉川,张萌,张巧霞,等.考虑多类故障假说变量的配电系统故障诊断方法研究 [J].智慧电力,2019(2):63-67.

(BAO Yu-chuan,ZHANG Meng,ZHANG Qiao-xia,et al.Fault diagnosis method for distribution system considering multitype failure hypothesis variables [J].Smart Power,2019(2):63-67.)

[9]吴凡,赵晋泉,朱斌,等.基于MOPSO的含分布式光伏配电网故障区段定位 [J].电力系统保护与控制,2018,46(6):46-53.

(WU Fan,ZHAO Jin-quan,ZHU Bin,et al.Faulty section location based on MOPSO for distribution networks with distributed photovoltaic generation [J].Power System Protection and Control,2018,46(6):46-53.)

[10]Dempster A P.Upper and lower probabilities induced by a multivalued mapping [J].The Annals of Mathematical Statistics,1967,38(2):325-339.

[11]Shafer G.A mathematical theory of evidence princeton [M].New Jersey:Princeton University Press,1976.

Fault-tolerant algorithm for fault location in distribution network considering multi-source information

YU An-ying1, CHENG Yun-xiang1, LU Fang1, LI Jia-mei2, LIU Xu1

(1. Rizhao Power Supply Company, Shandong Electric Power Company Limited, Rizhao 276826, China; 2. School of Electronic Information and Electrical Engineering, Shanghai Jiaotong University, Shanghai 200240, China)

Abstract Aiming at the problem that the traditional fault location algorithm only considers feeder terminal unit (FTU) as a single information source, which causes a lower fault tolerance rate, the power supply information of electricity collection system for users was used as redundant information, and fault location fitness functions were constructed by considering the influence of distribution generations in distribution network. The model was solved by binary particle swarm optimization algorithm, and the improved D-S evidence theory was employed for evidence fusion. In addition, the fault location results were acquired according to the evidence decision criteria. The simulation results show that the as-proposed algorithm can effectively identify fault location, and its fault tolerance rate is improved compared with that of traditional algorithm when the information of FTU is mistaken in the case of single or double faults.

Key words ubiquitous power Internet of Things; multi-source information; D-S evidence theory; particle swarm optimization algorithm; fault tolerance rate; fault location; distribution generation; distribution network

中图分类号: TM 711

文献标志码:A

文章编号:1000-1646(2020)04-0373-06

doi:10.7688/j.issn.1000-1646.2020.04.03

收稿日期 2019-10-18.

基金项目 国家自然科学基金项目(U1866206); 国网山东省电力公司科技项目(52061718004F).

作者简介 于安迎(1970-),男,山东临沂人,高级工程师,主要从事配网运行与控制技术等方面的研究.

*本文已于2020-07-15 15∶47在中国知网优先数字出版. 网络出版地址: http:∥kns.cnki.net/kcms/detail/21.1189.T.20200715.1440.006.html

(责任编辑:景 勇 英文审校:尹淑英)