基于制动强度的能量回收控制方法*

王 虎

(天津科技大学 机械工程学院, 天津 300457)

摘 要: 针对高效利用电动车能量的问题,提出了一种基于制动强度的电动汽车能量回收控制方法.基于车辆制动的理想曲线和ECE曲线,结合制动强度将制动情况分成四种类型并给出了每种类型所需制动力.基于模糊控制理论提出了机械制动力和电机制动力分配比例的模糊控制模型,建立了再生制动比例与车辆行驶速度、制动力和电池电荷量三个指标之间的模糊模型.在NEDC工况上进行了实验,结果表明,本文方法在回收能量数量、能量回收率和能量效率等方面都具有更好的性能,能够使电动汽车制动策略更加科学节能.

关 键 词: 电动车; 再生回馈; 模糊控制; 制动强度; 能量回收; 最高效率; 制动力矩; 隶属度函数

电动汽车由于具有零排放和灵活小巧等优点在城市交通中得到了大力发展[1-3].但是充电桩数量缺乏、电池效能较低等问题严重制约了电动汽车的发展.因此,增强电动汽车的再生制动技术作为节约电动车能量的一种有效方法得到了国内外的广泛关注和研究.

福特公司的线控能量回收装置使车辆的使用成本有了较大的下降[4-5].丰田集团在20世纪末就推出了搭载能量回收装置的汽车[6].日产公司也在2010年推出的纯电动汽车上应用了能量回收装置.Michael提出了理想再生制动分配、最大能量回收分配和并联制动分配等能量回收控制方法.Mehrdad提出了优化再生制动和机械制动的能量回收优化方法.国内也对电动汽车能量回收方法展开了深入研究[7-8].李蓬等建立了整车动力学模型和再生制动控制模型,使能量回收率有了很大提升[9];刘丽君等建立了联合再生力矩、电池功率和制动力的计算模型,使能量回收达到了较高的比例[10];詹迅等为特定的制动回馈装置设计了新的制动再分配方案,在保证行车安全的前提下简化了控制策略[11].虽然目前对于能量回收的研究已经有了大量成果,但是多数都只是停留在理论及实验阶段[12-15],投入量产的还是一些经典可靠的模型.因此,研究新的更科学、更可靠、更稳定的能量回收控制方法十分必要.

本文从提高电动汽车能量使用效率的角度出发,提出了一种基于制动强度的能量回收控制方法.该方法基于车辆制动的理想曲线和ECE曲线将制动情况分成四种类型,并给出了每种类型所需的制动力.针对机械制动力和电机制动力之间的分配问题,提出了一种分配机械制动力和电机制动力之间比例的模糊控制模型,建立了车辆行驶速度、制动力和电池电荷量与再生制动比例之间的关系.最后基于NEDC工况对该方法进行了实验验证.

1 能量回收模型

电动车辆制动过程中回收能量的大小主要由其制动方法决定.制动方法主要包括两方面内容:一是制动力分配,主要是指合理地协调分配汽车前后轮之间的制动力,从而保证汽车在制动过程中安全平稳;二是制动过程中的能量回收,主要是协调电机制动力的大小,使其能够最高效地利用制动过程中的能量.汽车在制动过程中,前轮制动力、后轮制动力和电机制动力之间通过相互协调来实现汽车的平稳安全制动,制动过程如图1所示.本文从制动力分配和电机制动力的模糊控制两个方面研究制动中的能量回收控制方法.

图1 车辆制动过程
Fig.1 Vehicle braking process

1.1 制动力分配模型

为了保证在安全稳定的前提下合理高效地利用制动能量,确定制动力分配策略时需要考虑以下规则:一是在保证电动车安全稳定的同时使电机尽可能地参与制动;二是制动力分配策略必须简单可行;三是可以显著提高制动能量回收率和利用率.根据制动力理想分配曲线、ECE中车辆行驶及能量回收相关规定,结合当前主流的理想制动分配方法、并行制动力分配方法和最大能量回馈分配方法的特点,提出了基于制动强度的制动力分配模型.该制动力分配模型包括四个阶段,第一阶段是只利用再生制动力制动;第二阶段是同时利用再生制动力和机械制动力制动;第三阶段是同时利用再生制动力和机械制动力制动,但是再生制动力逐渐减小,机械制动力逐渐增大;第四阶段是只利用机械制动力制动.各个阶段之间的分界点由制动强度确定.相应的分界点根据电动车辆的相关参数计算,如表1所示.

表1 电动车辆参数
Tab.1 Electric vehicle parameters

额定功率kW最大扭矩(N·m)最高转速(r·min-1)额定容量A·h转换效率转换速率整车重量kg轴距mm质心高度mm7527010000450.936.310502600480

各阶段制动强度和前后轮所需的制动力如下:

1) 制动强度Z≤0.21时,车辆所需的制动力较小,直接利用驱动轴电机提供制动力进行制动.此时前后轮的制动力分配策略为

(1)

式中:Fbf为前轮制动力;Fbr为后轮制动力;G为车辆重力.

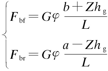
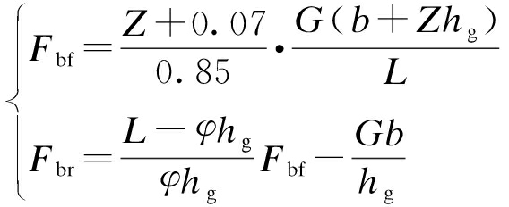
2) 制动强度0.21<Z≤0.52时,从优先考虑可靠制动的角度出发,需要由机械摩擦制动力和驱动电机制动力协同工作制动.为了使能量回收达到最大,需要在平稳安全的前提下最大程度地降低后轮承担的制动任务,主要依靠前轮来进行制动.此时前后轮制动力分配策略为

(2)

式中:b为后轮至车辆重心的距离;hg为车辆重心高度;L为车辆前后轮之间的距离.

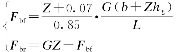
3) 制动强度0.52<Z≤0.7时,车辆可能采取紧急制动.为了在保证安全的同时使回收能量最大,前后轮之间制动力分配策略为

(3)

式中,φ为路面附着系数.

4) 制动强度Z>0.7时,此时车辆由于制动强度很大而处于紧急制动状态.这种情况下应该优先考虑车辆的安全性,沿着理想曲线制动来使前后轮一致抱死,从而实现安全平稳制动.此时前后轮制动力分配策略为

(4)

式中,a为前轮至车辆重心的距离.

总的制动过程曲线如图2所示.

图2 制动过程曲线
Fig.2 Braking process curves

1.2 模糊控制模型

目前,对于机械制动力和电机制动力之间的比例分配主要采用基于车速的查表法进行.该方法具有操作简单、性能可靠等优点,但是由于分配策略单一,不能适应车辆实际行进中的各种复杂情况,给车辆的安全带来了隐患,同时也不适用于再生能量最大化回收的要求.本文提出了一种模糊控制的分配方法.模糊控制算法作为一种智能算法,在多变量、变量状态变化较大及控制问题不能用数学模型表达等问题上具有较大的优势.由于车辆制动能量回收受到多种因素的影响,并且各个因素与能量回收率之间没有清晰的数学模型,因此,采用模糊控制方法具有良好的效果.通过对车辆能量回收率影响因素的分析,可知车辆行驶速度V、制动力F和电池电荷量SOC对能量回收率的大小发挥着关键作用.本文基于上述三个变量建立模糊控制模型.

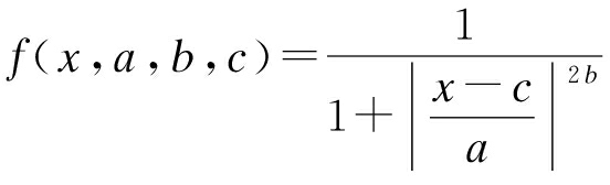
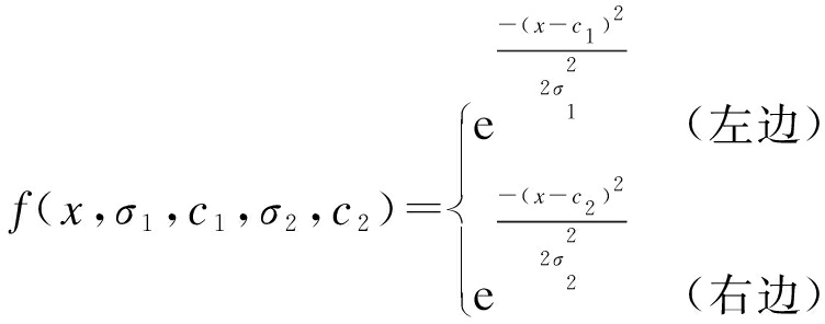
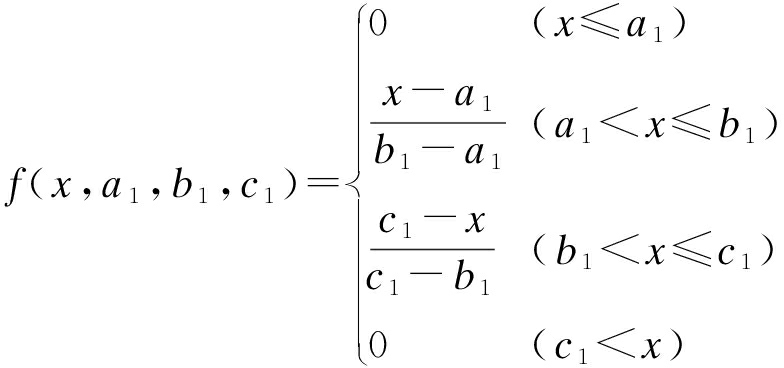
1) 车辆行驶速度.车速与能量回收率有直接关系,当车速较低时能够回收的能量较少,车速较高时能够回收的能量较多.本文将车速分成高速、中速和低速三档来建立模糊模型,其中,低速和高速模型的隶属度函数采用双边高斯型函数,中速模型的隶属度函数采用三角型函数.双边高斯型函数和三角型函数定义分别为

(5)

(6)

本文中低速时,σ1=20、c1=50、σ2=10、c2=70,高速时与其相反.本文中a1=10、b1=50、c1=90.

2) 制动力.制动力的大小决定了制动方式,当制动力较大时优先选择机械摩擦制动,制动力较小时可以优先选择电机制动.制动力同样分成高、中、低三档来建立模糊模型.其中,低档对应所需制动力较小,实际中通常是车辆行驶在缓坡时的制动力.中档是普通行驶条件下的制动,该档时能够回收的能量较大.高档对应了紧急制动的情况.低档和高档模型的隶属度函数采用双边高斯型函数,中档模型的隶属度函数采用三角型函数.本文中低档时,σ1=210、c1=520、σ2=130、c2=710,高档时与其相反.本文中a1=120、b1=500、c1=880.

3) 电池电荷量.电池电荷量表示电池当前电量与电池最大容量之间的比值.电池电荷量的大小直接决定电机能否进行制动.电池电荷量也分成高、中、低三档来建立模糊模型.其中,低档和高档模型的隶属度函数采用双边高斯型函数,中档模型的隶属度函数采用钟型函数.钟型函数的定义为

(7)

式中:a=0.1;b=0.35;c=0.5.本文中低档时,σ1=0.2、c1=0.5、σ2=0.1、c2=0.7,高档时与其相反.

车辆制动时应该优先选择电机制动,使回收的能量最大化.制动力较大时采用摩擦制动来使车辆稳定.车辆正常行驶时尽量选择电机制动来回收制动能量.车量低速行驶时尽量选择机械制动,以避免电机转矩较低导致电量不足.车速较高时优选电机制动和机械制动联合工作的方式,基于上述原则,可以建立车辆行驶速度V、制动力F和电池电荷量SOC与再生制动比例K之间的模糊关系模型.四者之间关系的三维曲面图如图3所示.由图3可知,通常情况下,再生制动比例与电池电荷量、制动力之间是反比的关系,与车辆行驶速度之间是正比的关系,即电池电荷量越高、制动力越大的情况下,再生制动比例越小;车辆行驶速度越大时,再生制动比例越大.

图3 各种因素与再生制动比例之间模糊关系
Fig.3 Fuzzy relationship among various factors and regenerative braking ratios

2 实验及分析

目前,对电动汽车进行测试仿真的主流软件包括PSAT、CRUISE和ADVISOR等.ADVISOR软件是NREL(national renewable energy laboratory)开发的高级车辆仿真软件.随着该软件的发展,已经广泛应用在电动汽车的测试领域.此外,该软件开放了所有函数接口并且能够在Matlab/Simulink环境中运行,因此,本文选择ADVISOR软件作为实验软件.实验选择新欧洲道路循环工况(NEDC)进行测试.NEDC是ECE道路工况和市郊循环工况的有机结合,能够比较逼真地对城市道路和郊区道路进行模拟.实验中涉及的参数包括:时间1 200 s,距离10.95 km,最大车速120 km/h,平均车速33.4 km/h,最大加速度1.06 m/s2,最大减速度1.39 m/s2,停车次数13次.实验采用本文中的模型与ADVISOR中的模型进行比较.整个实验过程中车辆的行驶状态如图4所示.

图4 车辆行驶状态
Fig.4 Vehicle running status

实验过程中电池充放电情况对比如图5所示.图5中,电流为正表示车辆处于放电驱动行驶状态,电流为负表示车辆处于充电制动状态.由两种方法的实验结果可知,在放电驱动行驶状态时,本文方法和ADVISOR的电池放电状态基本相同.在充电制动状态时,本文方法的电流量大于ADVISOR,这表明本文方法具有更强的充电能力,在制动过程中能够回收更多的能量.

图5 电池充放电情况
Fig.5 Charging and discharging of battery

实验过程中的电机扭矩状态如图6所示.图6中,电机扭矩为正表示车辆处于放电驱动行驶状态,扭矩为负表示车辆处于充电制动行驶状态.在放电驱动行驶状态时,本文方法和ADVISOR的扭矩变化情况基本相同.在充电制动行驶状态时,本文方法的电机扭矩大于ADVISOR的电机扭矩,这表明采用本文方法进行制动时,电机在制动过程中起到了更大的作用.

图6 电机扭矩状态
Fig.6 Motor torque status

实验中的电池SOC状态如图7所示.随着车辆行驶,电池中的电量逐渐减少,因此,两种方法的电池SOC变化总趋势都是随着时间的增加逐渐减小.但是本文方法在行驶的整个过程中电池SOC的值都大于ADVISOR.这表明采用本文方法时有更多的能量对电池进行充电,即本文方法对更多的能量进行了回收.因此,本文方法有更高的能量回收率,进而提高了能量的使用效率.

图7 电池SOC状态
Fig.7 Battery SOC status

测试过程中本文方法和ADVISOR的能量回收数据如表2所示.

表2 实验中能量回收数据
Tab.2 Energy recovery data during experiments

方法能量消耗kJ制动能量kJ回收能量kJ回收率%能量效率本文方法6202104564310.370.478ADVISOR635410352814.420.412差值-152103625.950.066

由上述指标值可知,本文方法在行驶过程中消耗的能量少于ADVISOR中消耗的能量.本文方法的回收能量在制动能量中的比例为10.37%,大于ADVISOR的4.42%,这表明本文方法有更高的能量回收率.本文方法的能量效率为0.478,高于ADVISOR的0.412.综上所述,本文方法具有更好的能量回收能力,能够有效地提高电动汽车的能量使用效能,从而达到节约能量的目的.

3 结 论

本文从提高电动汽车能量使用效率的角度出发,提出了一种基于制动强度的能量回收控制方法.基于车辆制动的理想曲线和ECE曲线,根据制动强度将制动情况分成四种类型并给出了每种类型所需制动力.提出了一种分配机械制动力和电机制动力之间比例的模糊控制模型.该模型建立了车辆行驶速度、制动力和电池电荷量与再生制动比例之间的关系.最后基于NEDC工况验证了本文模型的性能.实验结果表明,本文方法在回收能量数量、能量回收率和能量效率等方面都优于传统方法,可以为电动汽车能量回收方法研究和使用提供参考.

参考文献(References):

[1]陈燕,贝绍轶,汪伟,等.基于EMB与EBD的电动汽车制动能量回收系统研究 [J].现代制造工程,2016(12):62-66.

(CHEN Yan,BEI Shao-yi,WANG Wei,et al.Research on the braking energy recovery of the electric vehicle based on EMB and EBD [J].Modern Manufacturing Engineering,2016(12):62-66.)

[2]初亮,蔡健伟,富子丞,等.纯电动汽车制动能量回收评价与试验方法研究 [J].华中科技大学学报(自然科学版),2014,42(1):18-22.

(CHU Liang,CAI Jian-wei,FU Zi-cheng,et al.Research on brake energy regeneration evaluation and test method of pure electric vehicle [J].Journal of Huazhong University of Science & Technology (Natural Science Edition),2014,42(1):18-22.)

[3]张恩惠,赵洪星.随机环境下新能源汽车能量回收装置的研究 [J].压电与声光,2016,38(4):643-646.

(ZHANG En-hui,ZHAO Hong-xing.Research on energy recovery device of new energy vehicles in random environment [J].Piezoelectrics & Acoustooptics,2016,38(4):643-646.)

[4]丁惜瀛,王亚楠,田育珅,等.电动轮汽车DYC控制硬件在环仿真 [J].沈阳工业大学学报,2015,37(4):440-445.

(DING Xi-ying,WANG Ya-nan,TIAN Yu-shen,et al.Hardware-in-loop simulation for DYC control of electric-wheel vehicle [J].Journal of Shenyang University of Technology,2015,37(4):440-445.)

[5]范久臣,褚亚旭,何明明,等.电动汽车制动能量回收系统设计 [J].北华大学学报(自然科学版),2012,13(5):598-603.

(FAN Jiu-chen,CHU Ya-xu,HE Ming-ming,et al.Design of brake energy recovery system for electric vehicle [J].Journal of Beihua University (Natural Science),2012,13(5):598-603.)

[6]李欣,王佳.节能汽车制动能量回收与再利用 [J].机械设计与制造,2016(4):91-93.

(LI Xin,WANG Jia.Fuel-efficient cars braking energy recycling and reuse [J].Machinery Design & Manu-facture,2016(4):91-93.)

[7]陈克,李晓政,周霜霜.动力总成悬置系统优化与减振分析 [J].沈阳工业大学学报,2016,38(1):57-62.

(CHEN Ke,LI Xiao-zheng,ZHOU Shuang-shuang.Optimization and vibration reduction analysis for po-wertrain mounting system [J].Journal of Shenyang University of Technology,2016,38(1):57-62.)

[8]许广灿,徐俊,李士盈,等.电动汽车振动能量回收悬架及其特性优化 [J].西安交通大学学报,2016,50(8):90-95.

(XU Guang-can,XU Jun,LI Shi-ying,et al.Energy regenerative suspension and its performance optimization for electric vehicle [J].Journal of Xi’an Jiaotong University,2016,50(8):90-95.)

[9]李蓬,金达锋,罗禹贡,等.轻度混合动力汽车制动能量回收控制策略研究 [J].汽车工程,2005,27(5):570-574.

(LI Peng,JIN Da-feng,LUO Yu-gong,et al.Regene-rative braking control strategy for a mild HEV [J].Automotive Engineering,2005,27(5):570-574.)

[10]刘丽君,姬芬竹,杨世春,等.基于ECE法规和I曲线的机电复合制动控制策略 [J].北京航空航天大学学报,2013,39(1):138-142.

(LIU Li-jun,JI Fen-zhu,YANG Shi-chun,et al.Control strategy for electro-mechanical braking based on curves of ECE regulations and ideal braking force [J].Journal of Beijing University of Aeronautics and Astronautics,2013,39(1):138-142.)

[11]詹迅,秦大同,杨阳,等.轻度混合动力汽车再生制动控制策略与仿真研究 [J].中国机械工程,2006,17(3):321-324.

(ZHAN Xun,QIN Da-tong,YANG Yang,et al.A study of control strategy and simulation for regenerative for braking in mild hybrid electric vehicle [J].China Mechanical Engineering,2006,17(3):321-324.)

[12]张抗抗,徐梁飞,华剑锋,等.后驱纯电动车制动能量回收系统及其策略的对比研究 [J].汽车工程,2015,37(2):125-131.

(ZHANG Kang-kang,XU Liang-fei,HUA Jian-feng,et al.A comparative study on regenerative braking system and its strategies for rear-wheel drive battery electric vehicles [J].Automotive Engineering,2015,37(2):125-131.)

[13]苏玉青,李舜名,王勇.汽车能量回收系统研究概述 [J].噪声与振动控制,2016,36(2):6-11.

(SU Yu-qing,LI Shun-ming,WANG Yong.Overview of the research of automobile energy recovery systems [J].Noise and Vibration Control,2016,36(2):6-11.)

[14]张恩惠,赵洪星.基于压电材料的汽车能量回收装置的研究 [J].机床与液压,2017,45(13):52-55.

(ZHANG En-hui,ZHAO Hong-xing.Research of automobile energy recovery device based on piezoelectric material [J].Machine Tool & Hydraulics,2017,45(13):52-55.)

[15]于露.基于多尺度稀疏近邻图的近邻保持嵌入算法 [J].沈阳工业大学学报,2019,41(2):206-210.

(YU Lu.Neighborhood preserving embedding algorithm based on multi-scale sparse neighbor graphs [J].Journal of Shenyang University of Technology,2019,41(2):206-210.)

Energy recovery control method based on braking strength

WANG Hu

(School of Mechanical Engineering, Tianjin University of Science and Technology, Tianjin 300457, China)

Abstract Aiming at the problem of efficient use of electric vehicle energy, an energy recovery control method for electric vehicles based on braking strength was proposed. Based on ideal curves of vehicle braking and ECE curves,and in combination with the braking strength, the braking conditions were divided into four types, and the required braking force for each type was suggested. Based on the fuzzy control theory, a fuzzy control model for distribution ratio between mechanical braking force and electric braking force was proposed. A fuzzy model for regenerative braking ratio in association with vehicle running speed, braking force and battery charge was also established. Some experiments were carried out under NEDC conditions. Experimental results show that the as-proposed method has better performance in terms of recovered energy, recovery rate and recovery efficiency, and can make the braking strategy for electric vehicles more scientific and energy-saving.

Key words electric vehicle; regenerative feedback; fuzzy control; braking strength; energy recovery; highest efficiency; braking torque; membership function

中图分类号: TP 276

文献标志码:A

文章编号:1000-1646(2020)04-0417-06

doi:10.7688/j.issn.1000-1646.2020.04.11

收稿日期 2018-12-03.

基金项目 天津市教委科研计划项目(2017KJ037).

作者简介 王 虎(1980-),男,河南南阳人,讲师,硕士,主要从事汽车电子与汽车安全性等方面的研究.

*本文已于2020-07-15 15∶00在中国知网优先数字出版. 网络出版地址: http:∥kns.cnki.net/kcms/detail/21.1189.T.20200714.1334.034.html

(责任编辑:钟 媛 英文审校:尹淑英)