建筑工程

温度变化对水泥土渗透特性影响试验*

陈四利1, 李 锋2, 侯 芮1, 倪春雷1

(1. 沈阳工业大学 建筑与土木工程学院, 沈阳 110870; 2. 青岛市建筑工务发展中心, 山东 青岛 266071)

摘 要: 为了分析温度变化对水泥土渗透性的影响,进行了不同温度下水泥土的三轴压缩渗透试验,研究了海水和清水环境中不同水泥掺量和不同温度下水泥土的渗透系数变化规律,通过回归方法,得到了海水环境或清水环境的水泥土渗透系数随温度变化的回归曲线方程.结果表明,在海水环境或清水环境下,水泥土的渗透系数均随着温度的增加而逐步增大,随着水泥掺量的增加而逐步降低;随着三轴压缩中轴向应力的增加,水泥土的渗透系数变化规律呈现出U形分布形式;在同一温度下,海水环境下的水泥土渗透系数大于清水环境下的水泥土渗透系数.

关 键 词: 水泥土; 三轴压缩; 渗透系数; 温度; 海水环境; 清水环境; 水泥掺量; 回归方程

由于多数水泥土工程与地下水等可能溶有腐蚀性介质的环境接触,比如在地下水中常溶有一定浓度的等离子.这些侵蚀性溶液通过与水泥土发生物理化学等相互作用导致水泥土材料劣化甚至失效破坏,特别是在我国沿海地区多数地下水泥土工程中水泥土直接与海水环境接触,海水的渗入对水泥土工程的腐蚀效应必将引起水泥土工程的使用安全性,如果在水泥土施工制作搅拌时渗入了海水,其影响更为严重[1].另外,由于温度变化加速了水泥土工程中环境侵蚀的进度,因此,越来越引起科学工作者的重视,探讨复杂环境如海水环境、水泥土周围温度变化对水泥土渗透特性的影响,为处于周围环境具有腐蚀性的水泥土工程安全性设计提供了技术参数和指导,具有重大的理论和工程意义[2].

近些年来,国内外学者对水泥土力学特性、渗透特性以及化学腐蚀等方面开展了相应的研究.如郝巨涛[3]、Consoli等[4]对水泥土的力学特性进行了试验研究;陈四利和宁宝宽等[5-9]研究了水泥土在冻融、污水以及化学腐蚀作用下水泥土的力学性能;在水泥土渗透特性方面,陈四利和杨雨林等[10-12]研究了污水环境对水泥土渗透性能的影响;庞文台等[13]研究了复合水泥土的抗渗性能;张雷等[14]研究了水泥掺量和龄期对水泥土渗透性的影响;袁伟[15]研究了海水环境对水泥土渗透性和强度的影响及机理.本文在此基础上,采用温度、渗流、应力及化学耦合三轴压缩试验系统(T-H-M-C)进行水泥土三轴压缩试验,分析在海水环境、清水环境、不同水泥掺量以及不同温度下水泥土渗透特性的变化规律,获得了有益的结果.

1 试验方案及试件制备

1.1 试验材料和试样制备

本文试验中水泥土所使用的土样性质指标如表1所示.水泥采用普通硅酸盐水泥(强度等级为42.5).

表1 土样的主要物理力学性质指标
Tab.1 Main physical and mechanical performance indexes of soil

天然重度γ/(kN·m-3)天然含水率ω/%天然液限ωL/%天然塑限ωP/%塑性指数IP液性指数IL19.218.723.518.35.20.08

采用海水素与自来水1∶3.5的比例配制海水,用于模拟海水环境,经检测其配制的海水主要离子成分如表2所示,pH值为8.2~8.4.

表2 海水素的主要可溶盐离子
Tab.2 Main soluble salt ions of manmade seawater (g·L-1)

可溶盐离子Cl-Na+Mg2-SO2-4K+Ca2+Br-含量16.3~17.19.0~9.81.04~1.202.1~2.40.32~0.360.29~0.380.05~0.06

水泥土试件中水泥掺量分别为12%、16%和20%,试验试件尺寸为φ37×72.5 mm,每组3个试件,共42组,制备126个试件.脱模后的试件分别放入海水和清水环境中养护90 d,试件及养护如图1所示.

图1 水泥土试件养护
Fig.1 Curing of cemented soil specimens

1.2 试验方案

根据《水泥土配合比设计规程》(JGJT 233-2011)以及本试验的设想,进行水泥土试件三轴压缩渗透试验.本次试验采用温度、渗流、应力及化学耦合三轴压缩试验系统(T-H-M-C),如图2所示.

图2 温度渗流应力化学耦合试验系统
Fig.2 Temperature-transfusion-stress-chemistry coupling test system

在试验过程中,分别施加了0.4、0.6、0.8 MPa围压,对水泥掺量分别为12%、16%、20%的水泥土,将其温度分别设为5、10、15、20、25、30、35 ℃进行三轴压缩渗透试验,并分析温度、水泥掺量以及海水环境对水泥土渗透系数的影响.

1.3 渗透系数计算

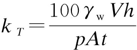
本试验选用稳定渗流方法,具体步骤为:在试样渗透通道的上方向内部注水,下方与大气相通,并保持阀门处于开启状态,从而水泥土试件上下形成一个稳定的水头压力差.当试样内部的渗流趋于稳定且不随时间变化时,水泥土渗透系数计算公式为

(1)

式中:kT为水温T ℃时的水泥土渗透系数;γw为水的重度;V为渗流过程中其时间间隔为t渗出的水量;h为水泥土试件高度;p为渗透压力;A为水泥土试件的横截面积;t为时间间隔.

根据《水泥土配合比设计规程》(JGJ/T 233-2011)的要求,渗透试验时应以水温20 ℃为标准温度,其标准温度下的渗透系数为

(2)

式中:k20为试验时标准温度(水温为20 ℃)的渗透系数;η20为水温20 ℃时水的动力黏滞系数;ηT为水温T ℃时水的动力黏滞系数.

2 试验结果及分析

2.1 常温下海水环境对渗透系数的影响

为了对比分析常温下海水和清水对水泥土渗透系数的影响,由于篇幅有限,只讨论围压为0.4 MPa时常温下不同水泥掺量清水环境和海水环境的水泥土渗透系数对比情况,结果如图3所示.无论哪种水泥掺量,在海水环境下,水泥土渗透系数均大于清水环境下的水泥土渗透系数.试验数据以及图中曲线表明,荷载初期,水泥土渗透系数随着轴向应力的增加而逐步降低,当荷载达到某值后(约极限荷载的40%),其水泥土渗透系数随着荷载的增加几乎不再变化,出现平稳状态(约极限荷载的40%~70%之间),当荷载超过约极限荷载的70%时又开始逐步增大,即整个加载过程中水泥土渗透系数呈现出先减小平稳再增大的U形分布趋势.在极限荷载40%~70%之间U型底处,对于12%、16%和20%三种水泥掺量,在海水环境下,其水泥土平均渗透系数与清水环境下的水泥土平均渗透系数相比,其差值分别为0.729×10-8、0.386×10-8和0.284×10-8 cm/s.这种U形分布现象表明,水泥土试件在极限荷载的40%之前,呈现出压密阶段,随着荷载的逐步增加(40%~70%),试件几乎停止压密,此时为新裂纹萌生阶段,此阶段的渗透系数变化最小,当荷载超过70%时,水泥土试件内部微裂纹开始扩展,呈现出水泥土渗透系数逐步增大的现象.由于海水对水泥土具有腐蚀作用,破坏了水泥土内部结构的微细观结构,导致抗渗性降低.同时随着水泥掺量的增加,其水泥土结构越来越密实,无论是海水环境还是清水环境,其抗渗透性逐步提高.

图3 不同水泥掺量下清水和海水环境对水泥土渗透系数的影响曲线
Fig.3 Influence curves of clean water and seawater environments on permeability coefficient of cemented soil with different cement contents

2.2 清水环境下温度变化对渗透系数的影响

仅考虑围压为0.4 MPa的情况,在清水环境下,水泥土的渗透系数随温度的变化试验曲线如图4所示.试验结果表明,水泥土的渗透系数随温度的升高而逐步增大.对于5、10、15、20、25、30、35 ℃温度下,三种水泥掺量的水泥土渗透系数均呈线性增加,水泥掺量为12%、16%、20%所对应的水泥土渗透系数分别增加了2.35、1.93、1.71倍.渗透系数变化规律表明,同一温度下其水泥掺量越多,水泥土渗透系数越小;随着温度的增加,高水泥掺量的水泥土渗透系数的变化率明显低于低水泥掺量的水泥土渗透系数增加变化率.

图4 清水环境下水泥土渗透系数随温度变化曲线
Fig.4 Variation of permeability coefficient of cemented soil with temperature in clean water environment

2.3 海水环境下温度变化对渗透系数的影响

对于围压为0.4 MPa的情况,在海水环境下水泥土渗透系数随温度变化规律如图5所示.试验结果表明,水泥土的渗透系数变化规律与清水环境下的水泥土渗透系数变化规律相似,水泥土的渗透系数随温度的增加而逐步增大.即随着温度从5 ℃升到35 ℃,水泥掺量为12%、16%、20%的水泥土渗透系数分别增加2.55、2.24、1.87倍,渗透系数变化规律表明,同一温度水泥掺量越高,其水泥土的渗透系数越小;在海水环境下,水泥土的渗透系数随温度增大的变化率大于清水环境下水泥土的渗透系数变化率.这主要是由于海水溶液中腐蚀性离子的作用,导致水泥土内部结构劣化,水泥土抗渗能力降低.

图5 海水环境下水泥土渗透系数随温度变化曲线
Fig.5 Variation of permeability coefficient of cemented soil with temperature in seawater environment

2.4 不同环境下温度变化对渗透系数的影响

对于围压为0.4 MPa的情况,不同水泥掺量下的水泥土渗透系数随温度变化规律如图6所示.试验结果表明,在同一温度下,由于海水环境的侵蚀作用,水泥土在海水环境下的渗透系数大于清水环境下的渗透系数.对于5、10、15、20、25、30、35 ℃温度下,在海水环境下,水泥掺量分别为12%、16%、20%的水泥土渗透系数随温度增加分别增加了2.55、2.24、1.87倍,而清水环境下的水泥土渗透系数分别增加2.28、1.81、1.56倍.试验数据变化规律表明,无论是哪种水泥掺量,在海水环境或清水环境下,其水泥土的渗透系数随温度的增加而逐步增加,而且海水环境下水泥土的渗透系数均大于清水环境下的渗透系数.

图6 不同水泥掺量、不同环境下水泥土渗透系数随温度变化曲线
Fig.6 Variation of permeability coefficient of cemented soil with temperature at different cement contents and in different environments

2.5 温度变化对渗透系数影响的回归曲线

2.5.1 清水环境下温度变化对水泥土渗透系数影响的回归曲线

对于围压为0.4 MPa的情况,在清水环境下,水泥土的渗透系数随温度的逐步增加几乎呈现出线性变化,如图7所示.根据试验数据,可以得到清水环境下(水泥掺量为12%、16%、20%)水泥土的渗透系数随温度变化的回归曲线方程,即

图7 清水环境下水泥土渗透系数随温度变化的回归曲线
Fig.7 Regression curves of permeability coefficient of cemented soil at different temperatures in clean water environment

k=0.111x+0.713, R2=0.987

(3)

k=0.056x+0.590, R2=0.965

(4)

k=0.039x+0.364, R2=0.910

(5)

2.5.2 海水环境下温度变化对水泥土渗透系数影响的回归曲线

对于围压为0.4 MPa的情况,在海水环境下,水泥土的渗透系数随温度的逐步增加几乎呈现出线性变化,如图8所示.根据试验数据,可以得到海水环境下(水泥掺量为12%、16%、20%)水泥土的渗透系数随温度变化的回归曲线方程,即

k=0.157x+1.086, R2=0.953

(6)

k=0.109x+0.186, R2=0.975

(7)

k=0.080x+0.682, R2=0.955

(8)

图8 海水环境下水泥土渗透系数随温度变化的回归曲线
Fig.8 Regression curve of permeability coefficient of cemented soil at different temperatures in seawater environment

3 结 论

本文通过三轴压缩渗透试验,探讨了在海水环境和清水环境下,不同温度、不同水泥掺量对水泥土渗透特性的影响,得出了如下结论:

1) 在常温下,无论是海水或清水环境下,对于12%、16%和20%水泥掺量,在整个加载过程中,水泥土渗透系数呈现出先减小平稳再增大的U形分布趋势.

2) 在海水或清水环境下,随着温度的增加其水泥土渗透系数逐步增大,表明温度的变化对水泥土渗透性产生影响;无论哪种水泥掺量,海水环境下的水泥土渗透系数均大于清水环境下的水泥土渗透系数.

3) 根据试验数据,在海水或清水环境下,水泥土的渗透系数随温度的逐步增加几乎呈现出线性变化,得到了水泥土在海水环境或清水环境下的渗透系数随温度变化的回归曲线方程.

参考文献(References):

[1]陈四利,宁宝宽.岩土材料的环境效应 [M].北京:冶金工业出版社,2010.

(CHEN Si-li,NING Bao-kuan.Environment effect of geotechnical material [M].Beijing:Metallurgical Industry Press,2010.)

[2]倪春雷.腐蚀应力温度耦合作用下水泥土渗透特性的试验研究 [D].沈阳:沈阳工业大学,2016.

(NI Chun-lei.Experimental research on permeability characteristic of cement soil under corrosion-stress-temperature coupling action [D].Shenyang:Shenyang University of Technology,2016.)

[3]郝巨涛.水泥土材料力学特性的探讨 [J].岩土工程学报,1991,13(3):53-59.

(HAO Ju-tao.The discuss of mechanical properties of cemented soil [J].Chinese Journal of Geotechnical Engineering,1991,13(3):53-59.)

[4]Consoli N C,De Moraes R R,Festugato L.Parameters controlling tensile and compressive strength of fiber-reinforced cemented soil [J].Journal of Materials in Civil Engineering,2013,25(10):1568-1573.

[5]陈四利,宁宝宽,刘一芳,等.化学侵蚀下水泥土的无侧限抗压强度试验 [J].新型建筑材料,2006(6):40-42.

(CHEN Si-li,NING Bao-kuan,LIU Yi-fang,et al.Experimental study of unconfined compression strength on cement soil under chemical erosion [J].New Building Materials,2006(6):40-42.)

[6]陈四利,史建军,于涛,等.冻融循环对水泥土力学特性的影响 [J].应用基础与工程科学学报,2014,22(2):343-349.

(CHEN Si-li,SHI Jian-jun,YU Tao,et al.Influence of freezing and thawing cycles on mechanical properties of cemented soil [J].Journal of Basic Science and Engineering,2014,22(2):343-349.)

[7]陈四利,张精禹,魏星.不同环境下水泥土动弹性模量的试验研究 [J].振动与冲击,2016,35(18):181-185.

(CHEN Si-li,ZHANG Jing-yu,WEI Xing.Experimental study on dynamic elastic modulus of cemented soil in different environment [J].Journal of Vibration and Shock,2016,35(18):181-185.)

[8]陈四利,张精禹.氯化钠腐蚀及干湿循环条件下水泥土的力学特性 [J].沈阳工业大学学报,2015,37(4):456-462.

(CHEN Si-li,ZHANG Jing-yu.Mechanical properties of cemented soil under condition of sodium chloride corrosion and dry-wet cycles [J].Journal of Shenyang University of Technology,2015,37(4):456-462.)

[9]宁宝宽,陈四利,丁梧秀,等.环境侵蚀下水泥土的强度及细观破裂过程分析 [J].岩土力学,2009,30(8):2215-2219.

(NING Bao-kuan,CHEN Si-li,DING Wu-xiu,et al.Analysis of meso-fracture process of cemented soil under environmental erosion [J].Rock and Soil Mechanics,2009,30(8):2215-2219.)

[10]陈四利,杨雨林,周辉,等.污水环境对水泥土渗透性能影响的试验研究 [J].岩土力学,2015,36(11):3047-3054.

(CHEN Si-li,YANG Yu-lin,ZHOU Hui,et al.Effect of sewage environment on permeability of cemented soil [J].Rock and Soil Mechanics,2015,36(11):3047-3054.)

[11]陈四利,董凯赫,宁宝宽,等.水泥复合土的渗透特性试验研究 [J].应用基础与工程科学学报,2016,24(4):758-765.

(CHEN Si-li,DONG Kai-he,NING Bao-kuan,et al.Experimental study on permeability of cement composite soil [J].Journal of Basic Science and Engineering,2016,24(4):758-765.)

[12]杨雨林.污水对水泥土渗透性能影响的试验研究 [D].沈阳:沈阳工业大学,2015.

(YANG Yu-lin.Experimental study on effect of sewage environment on permeability of cemented soil [D].Shenyang:Shenyang University of Technology,2015.)

[13]庞文台,申向东.复合水泥土抗渗性能的实验研究 [J].硅酸盐通报,2012,31(6):1617-1620.

(PANG Wen-tai,SHEN Xiang-dong.Study on impervious performance of cement-soil [J].Bulletin of the Chinese Ceramic Society,2012,31(6):1617-1620.)

[14]张雷,王晓雪,叶勇,等.水泥土抗渗性能室内试验研究 [J].岩土力学,2006,27(增刊2):1192-1196.

(ZHANG Lei,WANG Xiao-xue,YE Yong,et al.Laboratory study on permeability resistance of cemented soil [J].Rock and Soil Mechanics,2006,27(Sup2):1192-1196.)

[15]袁伟.海水环境对水泥土渗透性和强度的影响及机理分析 [D].青岛:中国海洋大学,2012.

(YUAN Wei.Effect of seawater condition on permeability and strength of cement-treated soil and mechanism analysis [D].Qingdao:Ocean University of China,2012.)

Tests on influence of temperature variation on permeability of cemented soil

CHEN Si-li1, LI Feng2, HOU Rui1, NI Chun-lei1

(1. School of Architecture and Civil Engineering, Shenyang University of Technology, Shenyang 110870, China; 2. Qingdao Public Works Development Center, Qingdao 266071, China)

Abstract In order to analyze the effect of temperature variation on the permeability of cemented soil, the triaxial compression penetration tests of cemented soil under different temperatures were carried out. The variation law of permeability coefficient of cemented soil under different cement contents and temperatures in both seawater and clean water environments was studied. The regression curve equation of permeability coefficient of cemented soil in clean water and seawater environments with temperature variation was obtained through the regression method. The results show that the permeability coefficient of cemented soil gradually increases with the increasing temperature, and gradually decreases with the increasing cement content in both seawater and clean water environments. The permeability coefficient of cemented soil shows a U-shaped distribution with the increasing axial stress during triaxial compression. At the same temperature, the permeability coefficient of cemented soil in seawater environment is greater than that in the clean water environment.

Key words cemented soil; triaxial compression; permeability coefficient; temperature; seawater environment; clean water environment; cement content; regression equation

中图分类号: TU 411

文献标志码:A

文章编号:1000-1646(2020)04-0453-06

doi:10.7688/j.issn.1000-1646.2020.04.18

收稿日期 2017-12-21.

基金项目 国家自然科学基金项目(51608332,51279109).

作者简介 陈四利(1959-),男,辽宁绥中人,教授,博士,主要从事环境岩土力学理论及其应用等方面的研究.

*本文已于2019-11-04 14∶01在中国知网优先数字出版. 网络出版地址: http:∥kns.cnki.net/kcms/detail/21.1189.T.20200714.1330.014.html

(责任编辑:钟 媛 英文审校:尹淑英)