轴向及偏心压力作用下混凝土抗冻性试验分析*

王海军, 郭 宸, 魏 华

(沈阳工业大学 建筑与土木工程学院, 沈阳 110870)

摘 要: 针对在轴心受压和偏心受压状态下C25混凝土的抗冻性问题,设计了0.4、0.5和0.6三种压应力水平的轴心受压试件及一种偏心受压试件,测算了其预应力损失,通过标准快速冻融循环试验来对比分析抗冻性能.结果表明:所有试件的破坏均达到了相对动弹性模量的限值,而质量损失不明显;轴心受压试件随着应力水平的提高,冻融循环前期抗冻性能逐步增强,但后期损伤速度急剧加快;偏心受压试件与轴心受压试件抗冻性能衰减规律相似,但破坏前受压侧边缘逐步发展了两条主裂缝,导致其抗冻性能快速下降.

关 键 词: 轴心受压; 偏心受压; 应力水平; 冻融循环; 抗冻性能; 动弹性模量; 质量损失; 预应力损失

我国北方大型水利水电混凝土工程中,由于耐久性不好而产生的病害最突出的就是冻融破坏[1],这些建筑物中几乎所有混凝土构件都会承受不同类型的荷载作用,荷载、环境和气候等多种因素协同作用将大大加速结构的破坏[2].至今,国内外对混凝土破坏机理的研究已经有很多,但多数研究是针对混凝土材料本身的性能研究,而未考虑混凝土材料的受力工作状态和环境[3],结构中的混凝土构件都会不同程度地受到轴力和偏心力等荷载作用,考虑到这些因素的试验研究才更接近真实工况.在我国,C25混凝土广泛用于水库、水坝和泵站等经常与水接触的结构[4-6],更容易发生冻融破坏.国内对轴压中高强度的混凝土抗冻性能进行了很多研究[7-8],因此,本试验针对常用的C25混凝土在轴心受压和偏心受压状态下的抗冻性进行了试验.

试验采用400 mm长的短试件通过张拉钢绞线施加荷载,预应力损失的影响不可忽略.在实际工程中常使用理论公式来计算构件钢绞线张拉前后的预应力损失,何海文等[9]对20 m T型梁和30 m箱梁进行了预应力损失理论公式计算,发现跨径越短,放张后钢绞线的回缩值对计算结果的影响越大.在本试验的预研究中发现,采用理论公式确定的预应力损失远远超过实际损失值.本研究在冻融试验之前先对试件的预应力损失进行了试验分析,以超张拉的方式补偿预应力损失.试验结果也可为类似的后张法混凝土短试件加载提供参考.

1 试 验

1.1 试件设计与制作

试验采用尺寸为100 mm×100 mm×400 mm的C25混凝土试件,钢绞线采用1860级7φ15.2 mm,选用夹片锚具.轴心受压试件设计压应力水平σ/fc为0.4、0.5、0.6,每种应力水平设计四个试件.试件中心预留φ20 mm薄PVC管以穿入钢绞线.偏心受压共一组三个试件,设计偏心距为15 mm,加载使受压一侧边缘达到0.5的压应力水平,经计算另一边缘受压应力作用很小,应力水平为0.026.制作时需将上述预留孔道上提15 mm.试件浇筑前预先在试模两端放上中心开洞的锚垫板,使垫板与混凝土粘结以减少预应力损失.其中轴心受压试件垫板尺寸为100 mm×100 mm,偏心受压试件垫片尺寸为50 mm×50 mm.

对结构稳定性及质量要求较高的构件,通常使用较高标号的水泥配制,因此,本试验采用42.5级普通硅酸盐水泥.细骨料采用人工中砂,细度模数为2.80;粗骨料采用人工碎石,最大粒径为31.5 mm.减水剂是萘系高效减水剂FDN-A,减水率为18%~28%,掺量为水泥质量的0.7%;引气剂掺量为水泥质量的0.015%,试验得到混凝土含气量为6%.配合比计算严格按照《水工混凝土配合比设计规程》(DL/T 5330-2005)和《普通混凝土配合比设计规程》(JGJ 55-2011)的要求进行,结果如表1所示.

表1 混凝土配合比
Tab.1 Mix proportion of concrete (kg·m-3)

水泥砂石子水3506901077175

配制出的试件养护3 d后,标准立方体抗压强度达到26.03 MPa,为计算配制强度的82.4%,28 d达到34.4 MPa.根据《混凝土结构设计规范》(GB 50010-2010)计算出fc=13.3 MPa,根据此设计抗压强度对试件加载.轴心受压试件的编号为XC4-1至XC4-4,XC5-1至C5-4,XC6-1至XC6-4,偏心受压试件编号为XE-1至XE-3.试件制作前均在钢绞线上粘贴应变片,应变片表面均涂抹环氧树脂包裹.

1.2 试件预应力损失试验

试验采用穿心式千斤顶进行加载,应用电液伺服压力机对千斤顶的油压值真实压力关系进行标定,稳定的结果表明,用千斤顶的显示值可以较准确地控制张拉控制应力.

为了监测试件的预应力损失情况,需要将钢绞线上的应变片与应变仪连接,本试验使用XL2118A型应变仪,连接方式为1/4桥.在试件加载之前,需要预先对每组的4号试件进行张拉加载,根据应变仪读数计算这三个试件预应力损失占所加预应力比例的平均值,依据该平均值对参与冻融试验的试件(每组1~3号)超张拉.引入ηo作为超张拉系数,其中,为预应力损失占比平均值.试验先从XC4-4开始,计算出预应力损失占所加预应力的比例按此比例计算出的ηo对XC5-4进行超张拉,之后按前两者的预应力损失占比平均值得出的ηo对XC6-4超张拉.根据以上3个试件预应力损失占比平均值计算出最终的超张拉系数.超张拉计算公式为σo=ηoσ,其中:σo为超张拉后钢绞线的拉应力;σ为超张拉前钢绞线设计的加载值.对所有试件加载完成后,观察能否达到设计的荷载值.加载过程如图1所示.

图1 压力加载过程
Fig.1 Pressure loading process

1.3 冻融试验

将养护龄期为28 d的9个轴心受压、3个偏心受压及3个不加载的试件放入混凝土快速冻融试验机中,按照《普通混凝土长期性能和耐久性能试验方法标准》(GB-T 50082-2009)的规定进行快速冻融,试件中心温度在(-18±2) ℃~(8±2) ℃.每25个循环对所有试件的基频和质量测试一次,当相对动弹性模量小于60%和质量损失率大于5%满足其一时,试件即宣告破坏.

2 试验结果及分析

2.1 预应力损失分析及加载结果

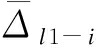
对XC4-4、XC5-4和XC6-4进行试验,预应力损失结果如表2所示.从表2中可以看出,预应力损失占所加预应力的比例Δli在15.4%~28%之间,平均值为20.4%,计算出ηo=1.25.试验过程对试件所加荷载如表3所示.试验中还发现,放张时预应力损失约占总预应力损失的70%,这是由于后张法混凝土构件在张拉结束并进行锚固时,锚具将受到巨大的压力,使锚具自身及锚下垫板压密而变形,同时还有锚具的预应力筋向内回缩,这些变形均会引起预应力损失.试件钢绞线属于直线型且是单批次张拉,所以在传力锚固时钢绞线与管道壁之间的摩擦、混凝土弹性压缩引起的预应力损失影响较小,可忽略不计,这部分的预应力损失可认为是锚具变形、钢筋回缩引起的.

表2 超张拉系数
Tab.2 Overtension coefficients

试件编号Δli/%Δl1-i/%ηoXC4-428.028.01.39XC5-415.421.71.28XC6-418.820.41.25

表3 试件压力加载值
Tab.3 Loading values of specimen pressure

试件编号设计荷载/Nηo实际加载/NXC4-4532001.0053200XC5-4665001.3992435XC6-4798001.28102144

根据试验结果,对剩余试件进行1.25倍设计荷载值的超张拉,加载结果和相对偏差如表4所示.从表4中可以看出,对试件超张拉,钢绞线预应力损失之后基本能达到所设计的荷载值,有效预应力相对设计预应力的偏差均在10%范围以内,均值为4.24%.最小的是试件XC4-1和XE-1,相对偏差仅为0.92%,与设计值偏差分别为3.5和2.3 MPa.

表4 压力加载结果及相对偏差
Tab.4 Pressure loading results and relative deviation

试件编号张拉设计值/MPa超张拉/MPa有效预应力/MPaΔli/%相对偏差/%XC4-1380475.0383.519.260.92XC4-2380475.0348.126.728.40XC4-3380475.0363.223.534.41XC5-1475593.8432.127.249.04XC5-2475593.8487.417.912.62XC5-3475593.8459.722.593.23XC6-1570712.5547.523.163.95XC6-2570712.5613.616.097.66XC6-3570712.5600.718.615.39XE-1250312.5247.720.740.92XE-2250312.5253.418.911.36XE-3250312.5242.722.342.92

2.2 冻融试验结果及分析

试件发生冻融破坏后,其侧表面情况如图2、3所示.图2为轴心受压试件,从图2中可以看出,三种应力水平的试件表面都发生了硬化水泥砂浆剥落,其中,应力水平为0.5和0.6的试件最为严重,粗骨料大面积外露,并且粗骨料之间的硬化水泥砂浆也不同程度地发生了剥离形成了深浅不一的沟壑,说明预应力的提高加速了混凝土表面的剥落.图3为偏心受压试件,其侧表面剥落情况介于轴心受压应力水平为0.4和0.5的试件之间.无论是偏心受压还是轴心受压试件,破坏时质量损失率均未达到5%,说明质量损失率不是受压混凝土冻融破坏的控制因素.

图2 轴心受压试件侧面剥落情况
Fig.2 Spalling situation on side surfaces of axial compression specimens

图3 偏心受压试件侧面剥落情况
Fig.3 Spalling situation on side surfaces of eccentric compression specimens

2.2.1 混凝土质量损失

不同受力形式的试件相对质量比(n次冻融循环混凝土质量与初始质量之比)随冻融循环次数的变化曲线如图4所示.从图4中可以看出,这几组试件破坏时质量损失率均未达到5%,无应力试件质量减少得相对较快,这说明一定的压应力可以减缓混凝土表面硬化水泥砂浆的剥落.轴心受压试件质量损失随着应力水平的增加而增加,偏心受压试件的质量变化情况介于无应力试件和轴心受压试件之间.对于有应力试件,在前100个循环时,水分逐渐渗入到混凝土内部,试件质量有所增加.随着混凝土内部孔隙逐渐被水填充,结冰应力开始由内向外释放,外表面出现翘曲并迅速剥落,则出现后期循环相对质量比快速下降.

图4 相对质量比
Fig.4 Relative mass ratio

2.2.2 混凝土相对动弹性模量

混凝土的相对动弹性模量可表示为n次冻融循环后试件的基频与初始基频之比的平方,当该指标小于60%时,则认定混凝土试件发生了冻融破坏.本试验中试件的破坏均是由相对动弹性模量所确定,其变化曲线如图5所示.

图5 相对动弹性模量
Fig.5 Relative dynamic elastic modulus

从图5可以看出,随着冻融循环的进行,所有试件的动弹性模量都在下降,无应力试件下降速度最快,破坏的也最早.在轴心受压试件中,随着应力水平的提高,前期冻融循环相对动弹性模量下降就越慢.但是随着冻融循环的进行,应力水平为0.5、0.6的两组试件相对动弹性模量下降速度明显加快,且先于0.4应力水平的试件发生破坏.这说明高应力水平对混凝土早期抗冻性能有一定的帮助,限制了水分的渗入以及微裂缝的产生,但随着冻融循环次数的增加,混凝土的抗压强度会降低[10],相对的压应力水平必然会提高,内部的微裂缝在高压应力和冻胀应力的作用下逐步延伸、扩展,使水分越来越多地渗入到混凝土内部,结冰过程则产生更大的冻胀力,加速了裂缝的贯通,导致混凝土内部损伤严重,动弹性模量快速下降.

偏心受压试件相对动弹性模量变化介于应力水平为0.5和0.6的试件之间,走势与0.5应力水平的试件相似.由于试件内部压应力上部(浇筑面)大下部小,接近三角形分布,上部的高应力抑制了前期冻融循环时的微裂缝发展,而下部由于浇筑时振捣的原因密实度较高,因此,在混凝土强度明显下降前抗冻性能较好.在150次冻融循环时,试件受压边缘裂纹开始发展,动弹性模量也快速下降,到225个冻融循环时试件上表面已产生两条主裂缝,破坏比较明显,如图6所示.因此,偏心受压混凝土构件要提高受压一侧混凝土的强度和密实度.

图6 偏心受压试件上表面裂缝
Fig.6 Surface crack on eccentric compression specimen

3 结 论

本文通过对C25混凝土试验分析得到以下结论:

1) 对尺寸为100 mm×100 mm×400 mm的预应力混凝土试件,为达到设计的应力水平,按1.25倍的设计预应力进行超张拉,加载后与荷载设计值的相对偏差在0.92%~9.04%之间,均值为4.24%,且对偏心加载试件也适用.

2) 压应力作用下的混凝土试件的冻融破坏主要是由相对动弹性模量控制,其质量变化不明显.质量损失主要由表面剥落引起,随着混凝土内部饱和度增加,剥落速度加快.

3) 压应力的存在对混凝土抵抗前期冻融循环的性能有所提高,但在后期冻融过程中随着混凝土强度降低,混凝土相对动弹性模量下降加快,曲线越来越陡峭.

4) 偏心受压试件(受压边缘压应力水平为0.5)相对动弹性模量曲线走势与轴心受压试件较为相似,但破坏形态为受压边缘产生的两条主裂缝.因此,要保证偏心受压构件受压侧具有比较高的强度和密实度以提高抗冻性能.

参考文献(References):

[1]王海军,王海鹤,魏华,等.严寒地区C25水工混凝土的抗冻耐久性分析 [J].沈阳工业大学学报,2015,37(2):207-211.

(WANG Hai-jun,WANG Hai-he,WEI Hua,et al.Analysis for frost-resistant durability of C25 level

hydraulic concrete in severe cold region [J].Journal of Shenyang University of Technology,2015,37(2):207-211.)

[2]段桂珍,方从启.混凝土冻融破坏研究进展与新思考 [J].混凝土,2013(5):16-20.

(DUAN Gui-zhen,FANG Cong-qi.Research progress and new thinking of destruction of concrete due to freeze-thaw cycles [J].Concrete,2013(5):16-20.)

[3]王海军,高勇,魏华,等.拉应力状态下水工混凝土的抗冻性试验研究 [J].混凝土,2016(9):6-8.

(WANG Hai-jun,GAO Yong,WEI Hua,et al.Expe-rimental study on frost-resistant property of hydraulic concrete at tensile stress state [J].Concrete,2016(9):6-8.)

[4]岳修斌,胡智农,陆采荣,等.泵站工程C25混凝土配合比优化研究 [J].南水北调与水利科技,2009,7(6):173-177.

(YUE Xiu-bin,HU Zhi-nong,LU Cai-rong,et al.Research on the optimization of C25 concrete mix proportion of pump station engineering [J].South-to- North Water Transfers and Water Science & Technology,2009,7(6):173-177.)

[5]陈文晋,陈慧香.高海拔高寒山区混凝土面板坝施工配合比的探讨 [J].陕西水利,2014(5):115-116.

(CHEN Wen-jin,CHEN Hui-xiang.Discussion on construction mix ratio of concrete faced dam in high altitude alpine regions [J].Shaanxi Water Resources,2014(5):115-116.)

[6]王耀举.朱庄水库溢流坝面混凝土破坏原因及处理措施 [J].水科学与工程技术,2014(3):79-82.

(WANG Yao-ju.Failure cause & reinforcement of concrete surface for spillway of Zhuzhuang reservoir [J].Water Sciences and Engineering Technology,2014(3):79-82.)

[7]罗小勇,邹洪波,周奇峰,等.压应力状态下混凝土抗冻性能的试验研究 [J].建筑材料学报,2013,16(6):1058-1062.

(LUO Xiao-yong,ZOU Hong-bo,ZHOU Qi-feng,et al.Experimental study on frost-resistant property of concrete at pressure stress state [J].Journal of Building Materials,2013,16(6):1058-1062.)

[8]王海军,高勇,魏华,等.混凝土在压应力状态下的抗冻性试验分析 [J].沈阳工业大学学报,2016,38(4):445-449.

(WANG Hai-jun,GAO Yong,WEI Hua,et al.Expe-rimental analysis on frost resistance property of concrete at compressive stress state [J].Journal of Shenyang University of Technology,2016,38(4):445- 449.)

[9]何海文,赵海峰.桥梁预应力钢绞线的超张拉探讨 [J].黑龙江交通科技,2007(5):79-80.

(HE Hai-wen,ZHAO Hai-feng.Discussion on over tension of prestressed steel strand of bridge [J].Communications Science and Technology Heilongjiang,2007(5):79-80.)

[10]高勇.轴力作用下混凝土的抗冻耐久性研究 [D].沈阳:沈阳工业大学,2015.

(GAO Yong.Research on frost resistance durability of concrete under axial force [D].Shenyang:Shenyang University of Technology,2015.)

Experimental analysis on frost resistance of concrete under axial and eccentric compression

WANG Hai-jun, GUO Chen, WEI Hua

(School of Architecture and Civil Engineering, Shenyang University of Technology, Shenyang 110870, China)

Abstract Aiming at the frost resistance of C25 concrete under axial and eccentric compression, three axial compression specimens with stress levels of 0.4, 0.5 and 0.6 and one eccentric compression specimen were designed, and their prestress loss was measured. Through the standard freeze-thaw cycle tests, the frost resistance was compared and analyzed. The results show that the failure of all specimens reaches the limit of relative dynamic elastic modulus, while the mass loss is not obvious. With the increase of stress level, the frost resistance of axial compression specimen is gradually enhanced in earlier freeze-thaw cycles, but the damage sharply accelerates in later cycles. The attenuation rules of frost resistance for eccentric and axial compression specimens are similar, but two main cracks gradually develop at the pressure edge before failure, leading to rapid decline of frost resistance.

Key words axial compression; eccentric compression; stress level; freeze-thaw cycle; frost resistance property; dynamic elastic modulus; mass loss; prestress loss

中图分类号: TU 528.01

文献标志码:A

文章编号:1000-1646(2020)04-0459-05

doi:10.7688/j.issn.1000-1646.2020.04.19

收稿日期 2017-12-14.

基金项目 沈阳市科技计划项目(F16-205-1-09).

作者简介 王海军(1972-),男,河北河间人,教授,博士,主要从事结构工程及耐久性等方面的研究.

*本文已于2019-10-10 15∶00在中国知网优先数字出版. 网络出版地址: http:∥kns.cnki.net/kcms/detail/21.1189.T.20200714.1327.004.html

(责任编辑:钟 媛 英文审校:尹淑英)