磷氮阻燃固化剂对环氧树脂阻燃性能的影响*

厉安昕1,2,毛萍莉1,梁 兵3

(1.沈阳工业大学 材料科学与工程学院,沈阳 110870;2.沈阳科技学院,沈阳 110167;3.沈阳化工大学 材料科学与工程学院,沈阳 110142)

摘 要:为了提高环氧树脂固化体系的阻燃性能,以1,3-丙二胺(DPAN)和苯膦酰二氯(PPDC)为主要原料合成一种新型磷氮反应型阻燃固化剂(PPDPA),对合成化合物的组织结构和热性能进行了表征.以不同比例PPDPA为固化剂,制备一系列具有不同磷含量的阻燃环氧树脂,并对其进行热性能分析和阻燃性能测试.结果表明,添加PPDPA的环氧树脂体系的500 ℃残炭明显高于EP/DPAN体系,且残炭表面磷碳层具有明显的发泡现象.当磷的质量分数达到2.12%时,EP-2样品成功通过UL94 V-0阻燃等级测试,LOI值达到28.3%,PPDPA在环氧树脂材料中表现出了良好的阻燃性能.

关 键 词:阻燃剂;阻燃性能;PPDPA固化剂;环氧树脂;固化剂;表面形貌;热性能;改性

环氧树脂具有优异的热稳定性、电气绝缘性和机械性能,这些优点使其在不同领域得到了广泛应用[1-5].随着科学技术的进步,许多领域对环氧树脂的应用性能提出了更为苛刻的要求,如电子电器、航空航天等领域要求环氧树脂材料必须具有可靠的阻燃性.而环氧树脂的氧指数仅为19%,严重制约了其在许多特殊场合的应用[6-7].

目前环氧树脂阻燃剂主要有两种,一种是添加型阻燃剂,另一种是反应型阻燃剂[8].最常见的环氧树脂阻燃方法是在环氧树脂中通过物理方法混合加入添加型阻燃剂,但通常会导致材料的机械性能大幅下降,且一些阻燃元素可能发生迁移,从而降低材料的阻燃稳定性.此外,添加型阻燃剂中很大一部分是卤素阻燃剂,对人体和环境具有很大的危害[9-10].因此,为了提高环氧树脂阻燃剂的稳定性,减少其对基体材料力学性能的影响,可以在环氧树脂分子链上连接阻燃元素(如P、N、Si、B等)的反应型阻燃剂迅速成为了研究热点.

在众多阻燃剂中磷系阻燃剂具有良好的阻燃性能,并且对环境影响较小.当环氧树脂固化体系中磷含量达到1.5%~3%时,固化产物的阻燃性能一般能达到UL94 V-0阻燃等级,且含磷环氧树脂在燃烧过程中产生的磷酸、聚磷酸等对环境产生的危害相对可控.在众多含磷阻燃剂中磷氮协同阻燃剂以其具有更优异的阻燃效果脱颖而出[11-12],该阻燃剂结构中引入的氮元素一方面可以与磷协同阻燃,另一方面可以通过与环氧树脂基体反应而发生固化,使得磷氮阻燃剂结构能够集酸源、碳源、气源于一体,从而达到协同阻燃的效果.

本文合成了一种新型磷氮反应型阻燃固化剂(PPDPA).以E-44环氧树脂为基体、PPDPA为固化剂,制备了一系列阻燃环氧复合材料.对具有不同磷含量的环氧树脂的阻燃性能、热性能进行了深入研究.

1 实 验

1.1 实验原料及试剂

所有实验试剂和原料均为市售产品,且未经处理直接使用.1,3-丙二胺(AR)、二氯甲烷(AR)、乙腈(AR)和三乙胺(AR)均购自国药集团化学试剂有限公司;苯基膦酰二氯(CP)购自山东西亚化学工业有限公司;环氧树脂(商品名E-44,工业级)购自蓝星新材料无锡树脂厂.

1.2 实验仪器

主要实验仪器包括液质联用仪(沃特世科技(上海)有限公司,Waters ACQUITY QDa型)、核磁共振仪(布鲁克AVANCE III 300 MHz型)、红外光谱仪(美国热电公司,NEXUS-470型)、综合热分析仪(德国NETZSCH仪器制造有限公司,STA-449C型)、极限氧指数仪(南京江宁分析仪器厂,JF-3型)、垂直燃烧测定仪(南京江宁分析仪器厂,CZF-3型)和扫描电子显微镜(日本Hitachi公司,S-3400N型).

1.3 PPDPA的合成

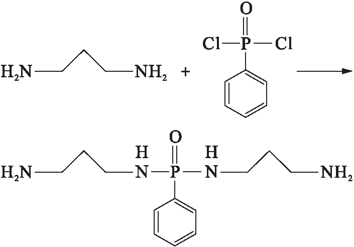
PPDPA的合成反应式为

在配有氮气保护装置的250 mL四口烧瓶中依次加入苯膦酰二氯(PPDC)(19.5 g,0.1 mol)和乙腈(100 mL),然后将三乙胺(20.2 g,0.2 mol)和乙腈(20 mL)加入恒压滴液漏斗中.开启搅拌装置,接通氮气保护装置,在冰水浴下将温度控制在20~25 ℃并滴加三乙胺,并于1 h内滴加完毕.随后将1,3-丙二胺(DPAN)(25.9 g,0.35 mol)和乙腈(20 mL)加入恒压滴液漏斗中,继续在冰水浴条件下将温度控制在20~25 ℃并滴加DPAN,滴加3 h后进行保温且5 h后反应结束.将反应产物静置10 h后过滤,利用乙腈洗涤4~5次后将过滤后的产物在80 ℃下真空干燥12 h,得到白色粉末状产物PPDPA,且其收率为88.6%.

1.4 阻燃环氧树脂的制备

称取定量E-44环氧树脂置于烧杯中,加入不同比例的固化剂,在不断搅拌条件下升温至60 ℃,采用高速分散机搅拌均匀后放入真空干燥箱中脱气10 min.将脱气后的产物注入提前预热的聚四氟乙烯模具中,在85、95和105 ℃下分别固化2、2和4 h,之后冷却至室温.脱模后对样品进行打磨,确保样品尺寸一致,制得阻燃环氧树脂样品,其原料配比如表1所示.

表1 阻燃环氧树脂样品的原料配比

Tab.1 Raw material proportion of flame retardant epoxy resins

样品w(P)%E-44gPPDAPgDPANgEP-00 100010EP-11.27100156EP-22.12100253EP-32.97100350

2 结果与讨论

2.1 PPDPA的红外表征

PPDC、DPAN和PPDPA的红外光谱图如图1所示.由图1可见,PPDC谱图中541 cm-1处为P—Cl键吸收峰,1 272、1 106 cm-1处为—P==O伸缩振动峰,而3 066、1 587、1 442 cm-1处为苯环振动峰[3].DPAN谱图中3 358、3 286 cm-1处为—NH2伸缩振动峰[13],2 940、2 867 cm-1处为亚甲基伸缩振动峰,而1 575 cm-1处为N—H剪式振动吸收峰.PPDPA谱图中3 316、3 247 cm-1处为—NH2伸缩振动峰,3 012、2 857 cm-1为亚甲基伸缩振动峰,1 587 cm-1处为N—H剪式振动吸收峰[14],1 494 cm-1处为苯环结构特征峰,1 187、1 122 cm-1处为—P==O伸缩振动峰,1 047 cm-1处为P—N—C吸收峰,948 cm-1处为P—N吸收峰.此外,由PPDPA谱图可以发现541 cm-1处的P—Cl键吸收峰消失.

图1 PPDC、DPAN和PPDPA的红外光谱图

Fig.1 FTIR spectra of PPDC,DPAN and PPDPA

2.2 PPDPA的核磁表征

PPDPA的核磁共振氢谱如图2所示.由图2可见,化学相对位移δ=1.4对应—NH2上的氢原子质子峰,δ=1.6对应丙二胺结构—CH2上的氢原子质子峰,δ=2.5对应DMSO溶剂峰,δ=2.7对应丙二胺结构端位与氨基相连接的碳原子上的氢原子质子峰,δ=5.5对应—NH上的氢原子质子峰,δ=7.3~7.4的多重峰对应苯环上的质子振动峰.可见,产物的核磁氢谱与PPDPA理论谱图相符.

图2 PPDPA的核磁共振氢谱

Fig.2 Nuclear magnetic resonance spectrum of PPDPA

2.3 PPDPA的质谱表征

PPDPA的质谱图如图3所示.由图3可见,分子量270附近对应的峰为PPDPA单体结构峰,分子量410附近对应的峰为PPDPA结构的二聚体碎片峰,结合PPDPA的红外光谱图和核磁共振氢谱可知,PPDPA已被成功合成.

图3 PPDPA的质谱图

Fig.3 Mass spectrum of PPDPA

2.4 PPDPA的热性能表征

PPDPA在空气气氛下的TG-DTG曲线如图4所示.由图4可见,PPDPA在空气中的初始分解温度为286 ℃,失重区间为286~357 ℃,最大失重峰出现在343 ℃,该阶段的失重主要是由于固化剂结构中的P—O键、P—N键和C—C键发生断裂并生成偏磷酸等物质,同时释放出N2、CO2、NO2等不可燃气体的缘故[15].可见,PPDPA具有很好的热稳定性,可以满足大多数环氧树脂的加工要求.

图4 PPDPA的TG-DTG曲线

Fig.4 TG-DTG curves of PPDPA

2.5 PPDPA/E-44复合材料的热性能

采用热重分析法对PPDPA/E-44复合材料在空气和N2气氛下的热分解性能进行了研究,PPDPA/E-44复合材料在不同氛围下的TG和DTG曲线分别如图5、6所示,具体热分析数据如表2、3所示,且T5%为初始分解温度,Tmax为最大失重温度.由图5、6可见,PPDPA/E-44复合材料在空气和氮气气氛下的热分解曲线明显不同,这是由于空气中存在大量氧气,因而会对环氧树脂造成氧化的缘故.与空白组EP-0样品相比,添加了PPDPA的复合材料在空气和氮气中的初始分解温度均约降低了60 ℃.主要原因是PPDPA中存在O—C—P键结构,P—C、C—C、P—O和O—C的键能分别为270、331、359.5和357.4 kJ/mol[16].由于P—C的键能低于其他键,因而添加了PPDPA的环氧树脂复合材料的初始分解温度会降低.由表2可见,在氮气气氛下EP-0样品的600和800 ℃残碳值分别为15.15%和14.29%.加入PPDPA后,复合材料的600和800 ℃的残碳值都有所增加,EP-3样品的600和800 ℃残碳值分别为19.85%与19.05%.由表3可知,在空气气氛下EP-0样品的600和800 ℃残碳值分别为5.6%与2.8%.加入PPDPA后,复合材料的600和800 ℃最大残碳值可以分别提高到10.63%和5.8%.由表2、3可知,随着PPDPA含量的增加,PPDPA/E-44复合材料在不同氛围下的残碳值均有所增加.这是由于加入PPDPA后,在较高温度下燃烧时产物中的磷元素形成了更加稳定的P—O—C键,在酸性物质的催化下复合材料表面形成了含磷的致密碳层,同时体系释放出的氮气等不可燃气体充斥在熔融材料表面并形成了蓬松而多孔的封闭结构,从而阻止热量向体系内部的进一步扩散.体系在燃烧时产生的不可燃气体带走材料表面热量的同时稀释了氧气,从而抑制了材料的进一步分解[17].因此,加入PPDPA后材料的阻燃性能明显提高.

图5 复合材料在氮气中的TG和DTG曲线

Fig.5 TG and DTG curves of composites in N2

图6 复合材料在空气中的TG和DTG曲线

Fig.6 TG and DTG curves of composites in air

表2 复合材料在氮气中的热分析数据

Tab.2 Thermal analysis data of composites in N2

样品w(P)%失重温度/℃T5%Tmax残炭/%600℃800℃EP-00 34035915.1514.29EP-11.2727531716.4315.52EP-22.1227131817.9417.11EP-32.9727231719.8519.05

表3 复合材料在空气中的热分析数据

Tab.3 Thermal analysis data of composites in air

样品w(P)%失重温度/℃T5%Tmax残炭/%600℃800℃EP-00 3353565.602.8EP-11.272773149.503.4EP-22.1227531411.704.6EP-32.9726431910.635.8

2.6 PPDPA/E-44复合材料的阻燃性能

PPDPA/E-44复合材料的阻燃性能如表4所示.由表4可见,未添加PPDPA的EP-0样品的极限氧指数(LOI)值仅为18.6%,属于易燃材料.添加PPDPA后复合材料的LOI值明显提高,EP-1、EP-2、EP-3样品的LOI值分别为25.1%、28.3%和29.4%,其中EP-2和EP-3样品均通过了UL94 V-0阻燃等级测试.可见,PPDPA对环氧树脂体系具有较好的阻燃效果.

表4 不同复合材料的阻燃性能

Tab.4 Flame retardancy of different composites

样品w(P)/%UL94LOI/%EP-00 -18.6EP-11.27V-125.1EP-22.12V-028.3EP-32.97V-029.4

PPDPA/E-44复合材料燃烧后的SEM照片如图7所示.由图7可见,未加入PPDPA的EP-0样品的燃烧残炭表面未发现明显发泡迹象,表面较为平整,而加入PPDPA阻燃固化剂的EP-1、EP-2和EP-3样品表面均出现明显褶皱,且存在大量发泡迹象.产生这种现象的原因是由PPDPA协同阻燃机理造成的.固化剂中的磷可以作为酸源,形成酸性中心并促使材料表面碳化,阻止表面燃烧热量进一步向机体扩散,而PPDPA结构中的氮元素在磷的催化作用下产生了大量不可燃气体.这些不可燃气体在扩散过程中促进了熔融状态下的基体表面产生发泡现象,稀释了表面氧气浓度,破坏了燃烧反应,同时将部分燃烧产生的热量带走,因而阻碍了燃烧的进一步发展,使得复合材料具有良好的阻燃效果.

图7 不同复合材料的残炭形貌SEM图像

Fig.7 SEM images of residual char morphologies of different composites

3 结 论

通过以上分析可以得到如下结论:

1)合成的PPDPA阻燃固化剂具有良好的热稳定性,分解温度区间为286~357 ℃,适合大部分环氧树脂的加工要求.

2)PPDPA虽然降低了环氧树脂的初始分解温度,但是提高了环氧树脂材料在高温分解时的残碳率,PPDPA的添加可以提高环氧树脂材料的热稳定性.

3)未添加PPDPA的环氧树脂材料残碳表面平整且无发泡现象,而添加了PPDPA阻燃固化剂后,复合材料燃烧后的表面出现了褶皱现象且存在明显发泡痕迹,表明PPDPA具有良好的阻燃效果.

综上所述,PPDPA的加入可以显著提高环氧树脂的阻燃性能,因而PPDPA是一种具有实际应用价值的潜在阻燃固化剂.下一步研究将考察PPDPA与其他阻燃剂或者固化剂复配后对环氧树脂力学性能的影响,从而更好地扩大其应用范围.

参考文献(References):

[1] Jiao C M,Dong J,Zhang C J,et al.Synthesis and properties of a phosphate ester as curing agent in an epoxy resin system[J].Iranian Polymer Journal,2014,23(8):591-598.

[2] Deng P,Liu Y S,Liu Y,et al.Preparation of phosphorus-containing phenolic resin and its application in epoxy resin as a curing agent and flame retardant[J].Polymers for Advanced Technologies,2018,29(4):1294-1302.

[3] Shao Z B,Zhang M X,Li Y,et al.A novel multi-functional polymeric curing agent:synthesis characteriza-tion and its epoxy resin with simultaneous excellent flame retardance and transparency[J].Chemical Engineering Journal,2018,345:471-482.

[4] 缪飞,文溢,廖对军,等.一种新型聚合型磷硅阻燃剂对环氧树脂阻燃性能的影响[J].西南科技大学学报,2018,33(1):17-23.

(MIAO Fei,WEN Yi,LIAO Dui-jun,et al.Effects of a novel polymerized phosphorus-silicon flame retardant on flame retardancy of epoxy resin[J].Journal of Southwest University of Science and Technology,2018,33(1):17-23.)

[5] Wang Z G,Liang B.Synthesis and properties of phosphorus and nitrogen containing intumescent flame-retardant curing agent for epoxy resin[J].Plastics,Rubber and Composites,2018,47(7):306-314.

[6] 邹林,邹莉,刘晓波,等.阻燃剂 DOPO 及其衍生物在环氧树脂中的应用[J].热固性树脂,2014,29(4):55-66.

(ZOU Lin,ZOU Li,LIU Xiao-bo,et al.Application of flame retardant DOPO and its derivatives in epoxy resin[J].Thermosetting Resin,2014,29(4):55-66.)

[7] Xu M J,Zhao W,Li B,et al.Synthesis of a phosphorus and sulfur-containing aromatic diamine curing agent and its application in flame retarded epoxy resins[J].Fire and Materials,2014,39(5):518-532.

[8] 朱思巧,梁兵,王长松,等.含磷阻燃环氧树脂固化剂研究进展[J].化工新型材料,2016,44(8):17-19.

(ZHU Si-qiao,LIANG Bing,WANG Chang-song,et al.Research progress of phosphorus-containing flame-retardant epoxy resin curing agent[J].New Chemical Materials,2016,44(8):17-19.)

[9] Zhang H K,Xu M J,Li B.Synthesis of a novel phosphorus-containing curing agent and its effects on the flame retardancy,thermal degradation and moisture resistance of epoxy resins[J].Polymers for Advanced Technologies,2015,27(7):860-871.

[10] Tang S,Qian L J,Qiu Y,et al.High performance flame retardant epoxy resin based on a bi-group molecule containing phosphaphenanthrene and borate groups[J].Polymer Degradation and Stability,2018,153:210-219.

[11] 张灿,卓念,彭永利.新型阻燃环氧固化剂的性能[J].武汉工程大学学报,2019,41(2):142-145.

(ZHANG Can,ZHUO Nian,PENG Yong-li.Properties of novel flame retardant epoxy curing agent[J].Journal of Wuhan Institute of Technology,2019,41(2):142-145.)

[12] Aia L H,Chena S S,Zenga J M,et al.Synthesis and flame retardant properties of cyclophosphazene derivatives containing boron[J].Polymer Degradation and Stability,2018,155:250-261.

[13] Li Q,Jiang P K,Wei P.Synthesis characteristic and application of new flame retardant containing phosphorus nitrogen and silicon[J].Polymer Engineering and Science,2006,46:344-350.

[14] Liu X L,Liang B.Impact of a novel phosphorus-nitrogen flame retardant curing agent on the properties of epoxy resin[J].Materials Research Express,2017,56(4):125-133.

[15] 李贵勋.反应性膨胀型阻燃剂的制备及阻燃聚丙烯研究[D].郑州:郑州大学,2014.

(LI Gui-xun.Preparation of reactive intumescent flame retardant and study on flame retardant polypropylene[D].Zhengzhou:Zhengzhou University,2014.)

[16] Dong C L,Wirasaputra A,Luo Q Q,et al.Intrinsic flame-retardant and thermally stable epoxy endowed by a highly efficient,multifunctional curing agent[J].Materials,2016,9(12):1008-1112.

[17] You Y G,Cheng Z Q,Peng H,et al.Synthesis and performance of a novel nitrogen-containing cyclic phosphate for intumescent flame retardant and its application in epoxy resin[J].Journal of Applied Polymer Science,2015,32:41859-41867.

Effect of phosphorus nitrogen flame retardant curing agent on flame retardancy of epoxy resins

LI An-xin1,2, MAO Ping-li1, LIANG Bing3

(1.School of Materials Science and Engineering, Shenyang University of Technology, Shenyang 110870, China; 2.Shenyang Institute of Science and Technology, Shenyang 110167, China; 3.School of Materials Science and Engineering, Shenyang University of Chemical Technology, Shenyang 110142, China)

AbstractIn order to improve the flame retardancy of epoxy resin(EP)curing system, a new phosphorus nitrogen reactive flame retardant curing agent(PPDPA)was synthesized by taking 1, 3-propane diamine(DPAN)and benzenephosphonic acid dichloride(PPDC)as main raw materials.The microstructure and thermal properties of as-synthesized compounds were characterized.A series of flame-retardant epoxy resins with different phosphorus contents were prepared by taking PPDPA at different proportions as curing agent.The analysis of thermal properties and the tests of flame retardant properties for epoxy resins with different phosphorus contents were carried out.The results show that the residual char of epoxy resin system with PPDPA at 500 ℃ is significantly higher than that of EP/DPAN system, and the phosphorus carbon layer on the surface of residual char presents an obvious foaming phenomenon.When the mass fraction of phosphorus content is 2.12%, EP-2 sample successfully passes the UL94 V-0 flame-retardant grade test with a LOI value of 28.3%.The PPDPA shows good flame-retardant performance in epoxy resin materials.

Key wordsflame retardant; flame retardant performance; PPDPA curing agent; epoxy resin; curing agent; surface morphology; thermal performance; modification

中图分类号:TQ 323.5

文献标志码:A

文章编号:1000-1646(2020)05-0520-06

收稿日期2019-11-29.

基金项目辽宁省教育厅科学研究经费项目(LQGD2019002).

作者简介厉安昕(1984-),男,辽宁大连人,副教授,博士,主要从事高分子阻燃材料等方面的研究.

*本文已于2020-09-11 11∶41在中国知网优先数字出版.网络出版地址:http:∥kns.cnki.net/kcms/detail/21.1189.T.20200909.2048.013.html

doi:10.7688/j.issn.1000-1646.2020.05.08

(责任编辑:尹淑英 英文审校:尹淑英)