自密实再生混凝土梁斜截面抗裂试验与计算*

姚大立,黄潇宇,余 芳

(沈阳工业大学 建筑与土木工程学院,沈阳 110870)

摘 要:为了研究自密实再生混凝土梁斜截面抗裂性能,分析了混凝土种类和配箍率等因素对其斜截面抗裂性能的影响.结果表明:混凝土种类和强度对自密实再生混凝土梁破坏形态无影响,而配箍率和剪跨比影响梁破坏形态;自密实再生混凝土梁剪切耗能能力较普通混凝土梁好,且工作荷载下自密实再生混凝土梁斜裂缝宽度要小于普通混凝土梁;提高剪跨比和降低混凝土强度均可减小斜截面开裂荷载,而混凝土种类和配箍率对梁斜截面开裂荷载无影响.

关 键 词:梁;混凝土;开裂荷载;剪跨比;配箍率;强度;抗裂

100%再生粗骨料应用于自密实混凝土而形成的自密实再生混凝土具有节能环保和降低建筑成本等优点.将自密实再生混凝土应用于钢筋混凝土中,符合当代建筑工程向着复杂和节能环保方向发展.现有研究成果表明:自密实再生混凝土的劈裂抗拉强度较普通混凝土低[1-2].再生粗骨料含量越高,骨料粒径越小,劈裂抗拉强度越低[3-4].这意味着在相同条件下,自密实再生混凝土构件与普通混凝土相比,自密实再生混凝土构件更容易开裂.

大量实际工程[5-10]表明:影响混凝土结构耐久性的最主要因素是混凝土开裂而导致钢筋的锈蚀.箍筋的锈蚀会造成箍筋截面减小、混凝土保护层的锈胀开裂以及箍筋和混凝土粘结能力降低,严重影响钢筋混凝土受弯构件的抗剪性能.受弯构件抗剪性能的下降会导致斜截面剪切脆性破坏[11-12].例如,沈阳市文化路立交桥和黄河大街立交桥在盐-冻作用下,出现了混凝土表面开裂、保护层剥蚀和箍筋锈断等异常严重的破坏.综上所述,保证受弯构件斜截面不易开裂是保证构件在服役期内不发生剪切脆性破坏的前提.因此,保证自密实再生混凝土受弯构件斜截面不易开裂,是推广自密实再生混凝土应用的前提.通过现有文献检索发现,国内外针对自密实再生混凝土梁的斜截面抗裂性能研究还鲜有报道.

基于上述分析,本文开展了自密实再生混凝土梁的斜截面抗裂性能研究,主要探讨了混凝土种类、配箍率、剪跨比、混凝土强度对自密实再生混凝土梁的斜截面开裂荷载的影响,并建立了斜截面开裂荷载计算公式,为日后的工程设计及应用提供相应的理论依据.

1 试验概况

1.1 试件设计和材料性能

本试验共设计了10根自密实再生混凝土梁(RA-SCC),同时也设计了2根普通混凝土梁(NA-C)作为对比梁,为了便于分析,分别给梁进行编号.例如RA-SCC-40-2.5-0.15,其中RA-SCC代表混凝土梁种类,40代表混凝土强度等级为C40,2.5代表剪跨比为2.5,0.15代表配箍率为0.15%.本试验梁按照单侧配箍率进行配置箍筋,另一侧采取箍筋加密措施.本试验梁的截面尺寸为120 mm×200 mm,梁长为1 600 mm,混凝土保护层厚度为20 mm,纵向受拉钢筋采用2根直径为28 mm的HRB400级钢筋(屈服强度、极限强度以及弹性模量分别为465、650和2.02×105 N/mm2),受压钢筋采用2根直径为22 mm的HRB400级钢筋(屈服强度、极限强度以及弹性模量分别为450、600和2.00×105 N/mm2),箍筋采用直径为6.5 mm的HPB300级光圆钢筋(屈服强度、极限强度以及弹性模量分别为380、550和2.10×105 N/mm2).试件的再生粗骨料采用实验室废弃混凝土经破碎筛分而制成,再生粗骨料的粒径范围为5~20 mm;天然粗骨料的粒径范围为5~20 mm;天然细骨料为水洗中砂;试验用水泥为山水工源牌水泥,其中配制C30和C40混凝土采用PS32.5级矿渣硅酸盐水泥,配制C50混凝土时采用PO42.5级普通硅酸盐水泥;粉煤灰采用Ⅰ级粉煤灰;减水剂采用聚羧酸高效减水剂.J型环试验和坍落度试验如图1、2所示,详细资料如表1、2所示.

图1 J型环试验

Fig.1 J-type ring test

图2 坍落度试验

Fig.2 Slump test

表1 混凝土配合比

Tab.1 Concrete mix proportion kg·m-3

混凝土种类混凝土强度等级水胶比水水泥粉煤灰砂天然骨料减水剂RA-SCCC300.40192.0360120884.001.19RA-SCCC400.38190.0375125870.401.07RA-SCCC500.32172.8465135849.301.62NA-CC400.42168.04000585.61244.40.45

1.2 试件加载及测试内容

本文试验在沈阳工业大学结构实验室500 kN压力试验机上进行,加载形式采取对称加载,加载制度参照《混凝土结构试验方法标准》(GB50152-2012).加载方案采用分级单调加载,当加载至极限荷载85%时则以位移控制加载,直至试验梁破坏.测试内容包括混凝土剪压区应变、箍筋和纵向受拉钢筋应变、斜截面开裂荷载、极限荷载、荷载-挠度曲线及裂缝宽度等.试验装置、测点布置以及截面配筋如图3所示(单位:mm),其中,C为混凝土应变片;R为纵筋钢筋应变片;S为箍筋应变片.

表2 混凝土力学性能及工作性能

Tab.2 Mechanical and operating performances of concrete

混凝土种类混凝土强度等级抗压强度MPa抗拉强度MPa弹性模量MPa坍落度mm坍落扩展度mmJ型环扩展度mmT500sRA-SCCC3038.52.2732500-7006802.8RA-SCCC4045.02.5740100-6906803.0RA-SCCC5059.72.9462500-6706503.5NA-CC4048.52.7751100120---

图3 测点布置及截面配筋图

Fig.3 Measuring point layout and cross-section reinforcement

2 试验结果及分析

2.1 裂缝形态

试验梁的典型破坏形态如图4所示.加载初期,所有试验梁表面均无裂缝,试验梁处于弹性阶段,当荷载加载至极限荷载的5%~10%时,梁跨中截面出现首条竖向裂缝;继续加载至极限荷载的31%~47%时,剪跨段出现了首条斜裂缝.

图4 试验梁典型破坏

Fig.4 Typical failures of test beams

随着荷载增大,低配箍率时,自密实再生混凝土梁(RA-SCC-40-2.5-0.15、RA-SCC-40-2.5-0.35)斜裂缝是从腹中位置分别向加载点和支座方向发展,其最终破坏为剪压破坏;高配箍率时,自密实再生混凝土梁(RA-SCC-40-2.5-0.55、RA-SCC-40-2.5-0.75、RA-SCC-40-2.5-0.95)斜裂缝是从支座向加载点方向发展,其最终破坏为弯剪破坏,同时,跨中竖向裂缝也缓慢向受压区发展,这与普通混凝土梁裂缝形态相似.此外,自密实再生混凝土梁的斜裂缝数量较普通混凝土梁多,这意味着自密实再生混凝土梁的剪切耗能能力优于普通混凝土梁.通过分析工作荷载(本文取为极限荷载的50%)下的斜裂缝宽度可以发现:自密实再生混凝土梁的斜裂缝宽度要小于普通混凝土梁,低配箍率时,自密实再生混凝土梁(RA-SCC-40-2.5-0.15)较普通混凝土梁(NA-C-40-2.5-0.15)降低20.0%;高配箍率时,自密实再生混凝土梁(RA-SCC-40-2.5-0.55)与普通混凝土梁(NA-C-40-2.5-0.55)相比降低了15.4%.另外,当配箍率从0.15%增大到0.95%时,自密实再生混凝土梁工作荷载下的斜裂缝宽度降低了41.7%.这主要由于当剪跨段内的混凝土开裂后,配箍率的提高意味着有更多的箍筋来承担试验梁斜裂缝处的剪力,进而限制梁斜裂缝的开展.

分析剪跨比对自密实再生混凝土梁的裂缝形态影响可以发现:当剪跨比从1.5增大到3.0时,工作荷载下的斜裂缝宽度增大了22.2%,试验梁的破坏模式从斜压破坏向弯剪破坏转变.这是因为剪跨比的增加使得混凝土由最初的主压应力引起的受压破坏转变为由主拉应力引起的受拉破坏.另外,分析混凝土强度对自密实再生混凝土梁的裂缝形态影响发现:当混凝土强度等级从C30增大到C50时,试验梁的破坏模式没有发生改变,均为弯剪破坏,然而工作荷载下的斜裂缝宽度却增大了1倍.

2.2 斜截面开裂荷载分析

2.2.1 混凝土种类

对于配箍率为0.15%和0.55%的试验梁,普通混凝土梁的斜截面开裂荷载略高于自密实再生混凝土梁,提高幅度分别为2.21%和4.97%,分析原因可能由于本试验所制备的普通混凝土劈裂抗拉强度略高于自密实再生混凝土,从而导致普通混凝土梁的斜截面开裂荷载较自密实再生混凝土梁的斜截面开裂荷载略大.

2.2.2 配箍率

对于剪跨比为2.5,混凝土强度等级为C40的自密实再生混凝土梁,配箍率从0.15%增加到0.95%时,其斜截面开裂荷载仅增加8.67%.图5给出了试验梁(RA-SCC-40-2.5-0.75)的荷载-箍筋应变曲线.从图5中可以看出,斜裂缝出现前(B点),即使存在外荷载但箍筋应变却很小,最小仅为-21.7 με,这意味着斜裂缝出现前,梁体所受剪力主要由混凝土承担,然而斜裂缝出现后(B点之后),箍筋应变迅速增大,最大为426.3 με,这说明斜裂缝出现后,梁体所受剪力主要由箍筋来承担.其原因是因为本次试验所采用的箍筋为光圆钢筋,且直径较小,所以在斜裂缝形成前,箍筋对周围混凝土很难形成有效的约束作用.然而,斜裂缝出现后,与斜裂缝相交的箍筋承担梁体剪力并限制斜裂缝的开展.而后随着外荷载的增加,箍筋应变也有不同程度的增加.

图5 荷载-箍筋应变曲线

Fig.5 Loading-stirrup strain curves

2.2.3 剪跨比

其他试验参数相同的情况下,试验梁的斜截面开裂荷载随着剪跨比的增加而逐渐降低.这主要是由应力重分配引起的,具体来说,当剪跨比减小时,应力重分配在整个剪跨区作用更为明显;剪跨比较大时,应力重分配仅在支座及集中荷载附近作用.与试验梁RA-SCC-40-1.5-0.55相比,试验梁RA-SCC-40-3.0-0.55的斜截面开裂荷载降低了39.9%.

2.2.4 混凝土强度

不仅剪跨比等因素对自密实再生混凝土梁斜截面开裂荷载有影响,混凝土强度对试验梁的斜截面开裂荷载也有一定作用.当混凝土强度等级从C30增大到C50时,其斜截面开裂荷载增大了38.7%.分析其原因是由于试验梁斜截面的开裂主要是由于混凝土表面的主拉应力大于混凝土劈裂抗拉强度所导致的,而混凝土的劈裂抗拉强度随着混凝土强度等级的提高而增大.

3 斜截面开裂荷载计算模型

3.1 计算模型简化

通过上述分析可知,自密实再生混凝土梁斜裂缝数量较普通混凝土多,且易开裂,这就导致自密实再生混凝土梁箍筋更易锈蚀,增大其发生剪切脆性破坏的可能性.因此,本文基于经典力学理论,提出一种斜截面开裂荷载的计算方法,方法具体内容如下:

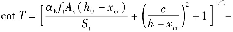
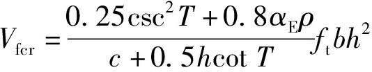
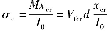
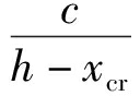
由于纵向受拉纲筋和其周围的混凝土都起到了抗拉作用,所以在计算开裂荷载时,应该予与考虑.图6为斜裂缝计算理论模型.截取AOB为正-曲截面,斜裂缝出现的瞬间,正截面AO受压区的应力图形为三角形,其高度为xcr,受压区边缘的混凝土压应力为σc,曲截面OB受拉区垂直于曲面的拉应力,其值为混凝土的劈裂抗拉强度ft,与斜裂缝相交的纵向受拉钢筋应力为αEft(αE=Es/Ec),则钢筋拉力为αEftAsVfcr为支座反力.为了便于计算,本文把实际正-曲截面应力图形简化为图6b所示的正-斜截面应力图,α为斜裂缝平均倾角,c为平均斜裂缝底点距支座的距离,d为横截面AA′到支座的距离,其他字母含义同上.图6c为梁的横截面示意图,b为梁宽,h为截面高度,h0为截面有效高度,As为受拉纵筋的截面面积,as为受拉纵筋合力点至混凝土梁受拉边缘的距离,1-1轴为中和轴,y为受压区所取的微面积dA的中心至中和轴1-1的距离.

图6 斜裂缝计算理论模型

Fig.6 Theoretical calculation model of diagonal crack

根据图6对1-1轴取内外力矩平衡关系,可得

αEftAs(h0-xcr)

(1)

(2)

d=c+(h-xcr)cot α

(3)

将式(2)~(3)代入式(1)可得

(4)

对式(4)中α求偏导数可得使Vfcr为最小值的cot T值为

(5)

式中:Ic为垂直截面AO受压区面积对中和轴1-1的惯性矩;St为斜截面OB受拉区在垂直面上投影面积对中和轴1-1的面积矩;I0为垂直截面AOA′换算面积对中和轴1-1的惯性矩.

为了方便实际计算,设xcr=0.5hh0-xcr=0.4h,可以算出Ic=bh3/24,St=bh2/8,I0=bh3/12,式(4)、(5)可以写为

(6)

(7)

c值的变化规律符合二次抛物线形式,根据试验中的实测结果对其进行拟合,则有

(8)

式中,al分别为梁的剪跨段长度和跨度长.

3.2 试验结果分析

应用本文提出的自密实再生混凝土梁的斜截面开裂荷载计算公式(6)和c值计算公式(8)对表3中的试验梁进行计算分析,可以看出斜截面开裂荷载计算结果与实测结果以及c值的计算结果与实测结果吻合程度均较好.表明本文提出的计算公式具有较高的计算精度,可以应用到自密实再生混凝土梁的斜截面开裂荷载计算.

表3 试验结果对比

Tab.3 Comparison of test results

试件编号c1/mmc2/mmc2/c1Pcr1/kNPcr2/kNPcr1/Pcr2RA-SCC-40-2.5-0.1585951.12098.5894.601.040RA-SCC-40-2.5-0.3590951.06095.6698.800.970RA-SCC-40-2.5-0.5595951.00093.2699.400.940RA-SCC-40-2.5-0.7580951.190101.64102.800.990RA-SCC-40-2.5-0.9585951.12098.5897.501.010RA-SCC-40-1.5-0.5540401.000131.82134.740.980RA-SCC-40-2.0-0.5575751.000104.84104.501.010RA-SCC-40-3.0-0.551251251.00078.5481.000.970RA-SCC-30-2.5-0.55105950.90084.5078.001.080RA-SCC-50-2.5-0.5580951.190100.18108.200.930平均值1.0570.991

注:Pcr1为斜截面开裂荷载计算值;Pcr2为斜截面开裂荷载试验值;c1为平均斜裂缝底点距支座距离的试验值;c2为平均斜裂缝底点距支座距离的计算值.

4 结 论

通过对10根自密实再生混凝土梁和2根普通混凝土梁的斜截面抗裂性能进行研究,可以得出如下结论:

1)混凝土种类和混凝土强度等级对自密实再生混凝土梁的破坏形态无影响,配箍率和剪跨比的提高分别使自密实再生混凝土梁的破坏形态由剪压破坏转变为弯剪破坏以及由斜压破坏转变为弯剪破坏.

2)自密实再生混凝土梁的剪切耗能能力优于普通混凝土梁.工作荷载下,自密实再生混凝土梁的斜裂缝宽度要小于普通混凝土梁.提高混凝土强度等级和剪跨比均可以导致斜裂缝宽度增大,但是提高配箍率可以降低斜裂缝宽度.

3)自密实再生混凝土梁的斜截面开裂荷载随着剪跨比的增加而降低,随混凝土强度的增加而增大.然而,改变混凝土种类和配箍率对自密实再生混凝土梁斜截面开裂荷载基本无作用.

4)本文提出的自密实再生混凝土梁斜截面开裂荷载计算公式与试验结果吻合较好,可以为日后的设计及工程应用提供一定的理论依据.

参考文献(References):

[1] 余芳,姚大立,胡绍金.自密实再生骨料混凝土的基本力学性能[J].沈阳工业大学学报,2019,41(3):356-360.

(YU Fang,YAO Da-li,HU Shao-jin.Basic mechanical properties of self-compacting recycled aggregate concrete[J].Journal of Shenyang University of Technology,2019,41(3):356-360.)

[2] 姚大立,余芳,谢关飞.自密实再生骨料混凝土不同龄期的力学性能[J].沈阳工业大学学报,2019,41(5):589-593.

(YAO Da-li,YU Fang,XIE Guan-fei.Mechanical properties of recycled aggregate self-compacting concrete during different curing periods[J].Journal of Shenyang University of Technology,2019,41(5):589-593.)

[3] Çaklr Ö.Experimental analysis of properties of recycled coarse aggregate(RCA)concrete with mineral additives[J].Construction and Building Materials,2014,68(3):17-25.

[4] Nagataki S,Gokce A,Saeki T,et al.Assessment of recycling process induced damage sensitivity of recycled concrete aggregates[J].Cement and Concrete Research,2004,34(6):965-971.

[5] Almusallam A A,Al-Gahtani A S,Aziz A R,et al.Effect of reinforcement corrosion on bond strength[J].Construction and Building Materials,1996,10(2):123-129.

[6] 卢木.混凝土的耐久性研究现状和研究方向[J].工业建筑,1997,27(5):1-6.

(LU Mu.Recent study and research directions of concrete durability[J].Industrial Construction,1997,27(5):1-6.)

[7] Val D V,Stewart M G,Melchers R E.Effect of reinforcement corrosion on reliability of highway bridges[J].Engineering Structures,1998,20(11):1010-1019.

[8] 洪乃丰.基础设施的腐蚀破坏不容忽视[J].腐蚀与防护,2001,22(9):389-391.

(HONG Nai-feng.Corrosion deteriorating of infrastructure is not inattentive[J].Corrosion & Protection,2001,22(9):389-391.)

[9] 冯乃谦,蔡军旺,牛全林,等.山东沿海钢筋混凝土公路桥的劣化破坏及其对策的研究[J].混凝土,2003,159(1):3-6.

(FENG Nai-qian,CAI Jun-wang,NIU Quan-lin,et al.Study on the deterioration and destruction and its countermeasures for high way bridges along the coast in Shandong[J].Concrete,2003,159(1):3-6.)

[10] 霍广勇,张友为.某住宅楼因钢筋锈蚀而导致混凝土开裂后的防腐补强方案[J].工业建筑,2003,33(8):66-68.

(HUO Guang-yong,ZHANG You-wei.Anticorrosive and strengthening scheme of cracked concrete due to corrosion of rebars for a residential building[J].Industrial Construction,2003,33(8):66-68.)

[11] 张建仁,邓鸣.锈蚀钢筋混凝土梁的裂缝研究[J].长沙理工大学学报,2007,4(3):23-28.

(ZHANG Jian-ren,DENG Ming.Cracks of corrosive reinforced concrete beams[J].Journal of Changsha University of Science and Technology 2007,4(3):23-28.)

[12] 卫军,张萌,董荣珍,等.钢筋锈蚀对混凝土梁破坏模式影响的试验研究[J].湖南大学学报,2013,40(10):15-21.

(WEI Jun,ZHANG Meng,DONG Rong-zhen,et al.Experimental research on the failure mode of concrete beam due to steel corrosion[J].Journal of Hunan University,2013,40(10):15-21.)

Tests and calculation for diagonal cross-section crack resistance of recycled aggregate self-compacting concrete beams

YAO Da-li, HUANG Xiao-yu, YU Fang

(School of Architecture and Civil Engineering, Shenyang University of Technology, Shenyang 110870, China)

AbstractIn order to investigate the diagonal cross-section crack resistance of recycled aggregate self-compacting concrete(RA-SCC)beams, the influence of concrete types, stirrup ratio and other factors on the diagonal cross-section crack resistance of RA-SCC beams was investigated.The results indicate that the concrete types and the concrete strength have no influence on the failure modes of RA-SCC beams, but the stirrup ratio and shear-span ratio can affect the failure modes of RA-SCC beams.The shear energy dissipation ability of RA-SCC beams is better than that of natural aggregate concrete(NA-C)beams, and the diagonal crack width of RA-SCC beams is smaller than that of NA-C beams under working loads.The cracking load of diagonal cross-section can be reduced by increasing the shear-span ratio or reducing the concrete strength, while the concrete types and stirrup ratio have no influence on the cracking load of diagonal cross-section.

Key wordsbeam; concrete; cracking load; shear-span ratio; stirrup ratio; strength; crack resistance

中图分类号:TU 528.09

文献标志码:A

文章编号:1000-1646(2020)05-0589-06

收稿日期2019-12-02.

基金项目国家自然科学基金青年基金项目(51608331).

作者简介姚大立(1982-),男,辽宁铁岭人,讲师,博士,主要从事新型建筑材料、钢-混凝土组合结构等方面的研究.

*本文已于2020-09-11 11∶46在中国知网优先数字出版.网络出版地址:http:∥kns.cnki.net/kcms/detail/21.1189.T.20200909.2048.031.html

doi:10.7688/j.issn.1000-1646.2020.05.21

(责任编辑:钟 媛 英文审校:尹淑英)