随着城市人口的增多及土地资源的减少,人们对基础设施建设的需求也在与日俱增[1],城市地下管廊的出现恰好赶在了这样的一个十字路口,解决了不少基础建设的难题.近几年来,政府部门越来越重视地下管线的开发及利用,从国内普通管线近几年发生的事故可以看出,很多传统管线是由自身遭受土壤腐蚀、外力损坏或第三方施工造成的,而且大部分的施工破坏主要是施工方在未查明管线范围的情况下施工所致.由此可见,过去的管线模式已不再适合社会的发展需要,城市地下管廊的出现为各类分离式的管线维修困难和管理混乱的现象提供了一个很好的解决办法,弥补了市场的空缺,顺应了时代的发展,也很好地解决了市政管线传统管理模式存在的弊端[2].
在地下管廊盾构施工过程中,虽然盾构施工对地面沉降的控制较好,并且具有安全、质量及进度可控等优点,但是在隧道开挖施工过程中也不可避免地产生施工质量问题,尤其是隧道开挖,其施工具有很大的隐蔽性.因此,强调质量控制的重要性十分重要,综合管廊的质量问题就是其生命问题,对地下管线盾构施工过程中引起的质量问题进行研究是十分必要的[3].
为了保证工程的质量,需要制定合理、全面的质量控制措施,在工程施工过程中对每一个环节进行及时的管理与有效的控制.通过大量工程实例,本文把影响工程施工质量的主要因素归结为:人(Man)、材料(Material)、施工机械(Machine)、施工方法(Method)、环境(Environment)这五大方面,即“4M1E”[4-5].
1)人的因素.人是直接参与工程建设的实施者,是影响施工质量的第一要素,在施工质量控制过程中占据主导地位.因此,对施工中的管理人员和施工人员进行择优选择.在人的因素中,主要考虑管理人员的因素、施工人员的技术熟练程度、施工人员的整体素质、施工人员的培训情况等.
2)材料因素.材料是工程施工的重要物质基础,材料充足才能保证施工的有序进行,材料的质量合格是保证工程质量合格的重要因素.因此,要加强地下管廊施工材料(如管片、混凝土、水泥、模板等)的质量管理和材料入场的控制,同时还要做好材料的储存工作.
3)机械设备因素.机械设备是工程施工得以顺利实现的物质基础,同材料因素一样,也是保证施工质量的重要因素之一.工程机械设备购进以后,要注意记录机械设备的型号等相关数据,做好机械设备入场前的性能和质量检验,在施工过程中,更要注意对机械设备的检修和维护.
4)施工方法.施工方法是指施工中所用到的技术措施,要做好地下综合管廊施工中所用到的施工方案、施工工艺和检测技术等管控工作.实际上,这些工程施工方法和施工技术能够有效执行,才能保证各项施工工序的质量.
5)环境因素.环境因素包括自然环境(如工程地质及水文地质情况等)、施工质量管理环境和施工作业环境等,尤其是在地下管廊的施工过程中,自然环境更是复杂多变.这些环境综合因素的好坏会直接影响到施工的质量问题.
BP神经网络算法的主要思想是:对于n个输入学习样本(x1,x2,…,xn),已知与其对应的m个输出样本为(t1,t2,…,tm).用网络的实际输出(z1,z2,…,zm)与目标矢量(t1,t2,…,tm)之间的误差来修正其权值,使zl(z=1,2,…,m)与期望的tl尽可能地接近[6-7].
在BP神经网络中,最典型网络结构是三层前馈型网络,即由一个输入层,一个输出层和一个隐含层组成的三层网络,这种三层的BP神经网络已经能够实现任意非线性函数的逼近,其网络结构[8]如图1所示.
图1 三层BP神经网络结构图
Fig.1 Structure of three-layer BP neural network
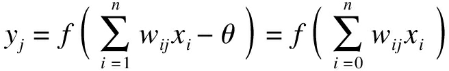
设网络的输入x=(x1,x2,…,xn)T,隐含层有h个单元,其输出层为y=(y1,y2,…,yh)T,输出层有m个单元,输出为z=(z1,z2,…,zm)T,目标输出为t=(t1,t2,…,tm)T,隐含层到输出层的传递函数设为f,输出层的传递函数设为g[9-10],则有
(1)
(2)
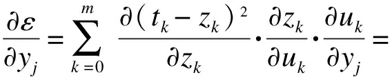
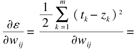
式中:yj为隐含层第j个神经元输出;w0j=θ;x0=-1;zk为输出层第k个神经元输出.此时网络输出与目标输出的误差为
(3)
调整权值的目的是使ε减小,因为负梯度方向是函数值减小最快的方向.设定一个步长η(即学习速率),每次沿负梯度方向调整η个单位,则每次权值的调整为
(4)
按照该调整方式,其误差越来越小,因此,BP神经网络(反向传播)的调整顺序为:先调整隐含层到输出层的权值,设vk为输出层第k个神经元的输入,则有
(5)
-(tk-zk)g′(vk)yj
-δkyi
(6)
隐含层到输出层的权值调整迭代公式为
wjk(t+1)=wjk(t)+ηδkyj
(7)
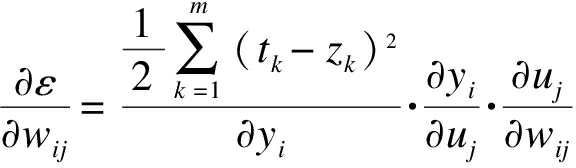
输入层到隐含层的权值调整迭代公式为
(8)
式中,uj为隐含层第j个神经元的输入,其表达式为
(9)
隐含层第j个神经元与输出层的各个神经元均有连接,即
涉及所有的权值wij,则有
(10)
-δjxi
(11)
因此,式(8)可表示为
wij(t+1)=wij(t)+ηδjxi
(12)
该项目为沈阳市地下综合管廊(南运河段)的PPP项目,起点位于南运河文体西路桥北侧绿化带,终点在和睦公园的南侧,共设计7个盾构井、22个工艺井,全长约12.8 km.其中J25~J29盾构区间(即D6盾构井~D7盾构井)西起小河沿路与北方街桥交汇处,沿南运河北侧、长安街敷设至和睦公园南侧,设计起止里程为K10+415.934至K12+566.542.
根据管廊盾构施工的特点,在隧道内布置三管三线一走道,三管为进排水管、供热管、通风管;三线为电力线、电缆线、运输轨线;一走道为在隧道左侧设置人行走道.图2为管廊功能示意图.沈阳市地下管廊的施工标准为:1)绿色、节能管廊,设计满足国家现行的技术标准和政策法规;2)打造城市智慧管廊,具备数字化和智能化管廊功能,试点采用智能化巡检机器人;3)城市高等级防恐、防灾安全管廊,管廊内含有天然气舱,在舱室内设有气体浓度探测器.
图2 管廊功能示意图
Fig.2 Schematic pipe gallery function
通过对影响施工质量五大因素进行研究,结合工程案例,提出一个有14项指标的质量评价体系[11],如表1所示.
表1 综合管廊施工质量指标体系
Tab.1 Index system of construction quality of comprehensive pipe gallery
分类指标人的因素(B1)施工人员的技术熟练度(B11)技术人员的平均工作年限(B12)管理人员的综合素质(B13)材料因素(B2)主要材料采购方式(B21)材料供应商的信誉(B22)检测结果的相对符合性(B23)机械设备因素(B3)机械设备的工作状态检查(B31)机械的维修和保养状况(B32)设备配置合理性(B33)施工方法(B4)完成工期情况(B41)新工艺应用情况(B42)方案变更次数(B43)环境因素(B5)施工作业环境(B51)施工质量管理环境(B52)
为了便于建立神经网络模型,输入影响质量因素的信息,需要对质量控制因素进行量化处理,处理方式如下:
1)施工人员的技术操作熟练度用1表示熟练程度为高级、2表示熟练程度为中级、3表示熟练程度为低级;技术人员的平均工作年限按实际平均工龄输入;管理人员的量化标准与施工人员的技术操作熟练度相同.
2)材料采购方式分别用1、2、3表示招标采购、施工方采购和甲方指定.
3)材料供应商的信誉是通过手机软件以及网站查找该材料供应商的信誉度和好评率来确定的.
4)检测结果的相对符合性是对采购的材料进行抽样检查和现场试验,检查材料的性能指标是否符合要求.施工机械数量配置合理与否,1为合理,2为不合理.
5)影响施工质量的机械和环境的因素通过收集工程的资料,应用某专家组按照优质、良好、较好、合格打分,其中优质为90分以上,良好为80~90分,较好为70~80分,合格为60~70分.
6)完成工期情况按照实际施工进度:按期完成记为1,进度提前记为2,进度推迟记为3.
7)新工艺应用情况按照施工过程设计所给信息,很大程度上用新工艺记为1,少量用新工艺记为2,基本不用新工艺记为3.
8)建成后的施工质量共有四个等级,目标输出同样采取量化的方法处理[12],优质为90分以上,良好为80~90分,较好为70~80分,合格为60~70分.
综上所述,控制点量化处理结果如表2所示.
表2 控制点量化处理结果
Tab.2 Quantitative processing results of control points
样本区段人的因素(B1)B11B12B13材料因素(B2)B21B22B23机械设备因素(B3)B31B32B33施工方法(B4)B41B42B43环境因素(B5)B51B52目标输出区段0114.5120.800.9779851120758888.0区段0218.2110.950.9890941110879393.2区段0326.7210.780.9585801120809086.5区段0421.9320.680.8777692332678473.3区段0519.6110.830.9685901121798588.9区段0617.9110.970.8993951110929595.3区段0715.8110.940.9295901220839389.6区段0824.3120.870.9085781110858689.3区段0913.9220.710.8669882122838381.9区段1026.7130.780.9272781220819284.0区段1117.1110.840.9589931110768991.7区段1232.5220.760.8370752233658374.6区段1318.4110.860.9386931131889590.0区段1413.6120.910.9592882220928188.2区段1522.9210.880.9694861121809688.1
将样本分成两组,先任意选取13个样本做计算,对质量控制点进行仿真模拟,再用其他两个数据进行验证校核.神经网络基本参数经理论计算以及经验选取结果如下:1)隐含层数量为7个;2)学习速率选取0.02;3)网络生成函数为newff;4)训练次数为20 000;5)动量因子为0.8;6)神经网络训练期望误差为0.001;7)计算步长为50.
打开MATLAB R2014a的编辑界面,通过编辑窗口输入程序代码.程序运行结果如图3~5所示.
图3 BP神经网络的训练
Fig.3 Training of BP neural network
图4 BP神经网络训练均方差曲线
Fig.4 Curves of training mean square error of BP neural network
所建模型经过7 585次网络训练,神经网络已达到收敛,其训练误差在控制范围内.用MATLAB继续编程,输入需要测试的另外两组已归一化处理的数据,程序代码为:
≫m=[0.100 0.370 0.100 0.500 0.431
0.847 0.408 0.592 0.100 0.100
0.500 0.100 0.396 0.473;
0.100 0.755 0.100 0.100 0.845
0.900 0.746 0.869 0.100 0.100
0.100 0.100 0.752 0.740];
≫m=m′;
≫Y=sim(net,m);
程序运行后输出数据Y=(0.624 4,0.841 7),将该实际输出值与期望值对比所得结果如表3所示.
图5 BP神经网络训练梯度变化曲线
Fig.5 Changing curves of training gradient of BP neural network
表3 实际输出与期望输出比较
Tab.3 Comparison between actual and expected output
测试样本实际输出期望输出相对误差/%样本一0.62440.63451.59样本二0.84170.82442.09
由表3可知,在这两组测试的数据中,误差是无法避免的,从相对误差可以看出,其误差在允许范围内,预测结果相对准确.利用BP神经网络建立地下管廊施工过程质量评估预测系统,对该类似问题进行研究时,只需要输入这14种影响因素的相应数据就可以对所研究问题的质量控制做一个前期的预测.
本文结合沈阳市地下管廊施工所具备的条件以及具体施工情况,在BP神经网络理论的基础上,将智能算法融入其中,利用MATLAB实现工程实例仿真模拟计算.本文将BP神经网络与MATLAB相结合,对质量控制而言,比传统的方法更全面、更可靠、更符合实际情况,为施工质量管理提供了一个可参考的、实用的控制方法.
[1] 张毅.市政基础设施建设与土地整理的探讨[J].建筑工程技术与设计,2015(21):1124.
(ZHANG Yi.Discussion on municipal infrastructure construction and land consolidation[J].Building Engineering Technology and Design,2015(21):1124.)
[2] 张聪蕾.基于BIM模型的综合管廊监测系统研究[D].北京:北京建筑大学,2017.
(ZHANG Cong-lei.Research on integrated pipeline corridor monitoring system based on BIM model[D].Beijing:Beijing Construction University,2017.)
[3] 李艳.地下综合管廊施工技术探究[J].山西建筑,2017,43(24):84-85.
(LI Yan.Study on construction technology of underground integrated pipe gallery[J].Architecture of Shanxi,2017,43(24):84-85.)
[4] 聂晶杰.基于4M1E的名仕苑小区工程质量控制研究[D].青岛:青岛理工大学,2013.
(NIE Jing-jie.Study on project quality control of Mingshiyuan district based on 4M1E[D].Qingdao:Qingdao University of Technology,2013.)
[5] 杨超.建筑质量管理与控制[D].淮南:安徽理工大学,2017.
(YANG Chao.Building quality management and control[D].Huainan:Anhui University of Technology,2017.)
[6] Liu L H,Chen J,Xu L X.Realization and application research of BP neural network based on MATLAB[C]//Proceedings of 2008 International Seminar on Future BioMedical Information Engineering.Wuhan,Chian,2008:130-133.
[7] 潘明波.基于神经网络学习控制的图像挖掘算法[J].沈阳工业大学学报,2018,40(3):322-327.
(PAN Ming-bo.Image mining algorithm based on neural network learning control[J].Journal of Shen-yang University of Technology,2018,40(3):322-327.)
[8] 祖子伟.基于神经网络的施工质量控制研究[D].南宁:广西大学,2016.
(ZU Zi-wei.Study on construction quality control based on neural network[D].Nanning:Guangxi University,2016.)
[9] 何颖.人工神经网络在建筑工程施工质量管理中的应用研究[D].南京:南京理工大学,2010.
(HE Ying.Application of artificial neural network in construction quality management of construction engineering[D].Nanjing:Nanjing University of Science and Technology,2010.)
[10] 王星星.基于神经网络的变电站工程质量控制研究[D].北京:华北电力大学,2013.
(WANG Xing-xing.Research on substation engineering quality control based on neural network[D].Beijing:North China Electric Power University,2013.)
[11] 李华钢.工程质量管理综合评价体系的研究[J].建筑技术,2010,41(11):1054-1056.
(LI Hua-gang.Study on comprehensive evaluation system of engineering quality management[J].Building Technology,2010,41(11):1054-1056.)
[12] 许银雀.基于人工神经网络的高层建筑施工质量控制研究[D].西安:西安建筑科技大学,2016.
(XU Yin-que.Study on construction quality control of high-rise building based on artificial neural network[D].Xi’an:Xi’an University of Architectural Science and Technology,2016.)