基于深度学习的变电站硬压板状态检测与识别算法*

汪 洋a, 黎恒烜b, 鄂士平a, 王成智a, 张侃君b

(国网湖北省电力有限公司 a.设备管理部, b. 电力科学研究院, 武汉 430000)

摘 要: 针对变电站的一键顺控停、送电操作不当将导致投退操作的问题,提出了一种基于深度学习的变电站硬压板状态检测与识别算法.使用一个共享网络提取图像特征,基于多任务学习方法建立3个分支联合解决硬压板位置检测、投切状态检测和标识检测这3个任务;采集标注了8 000张硬压板图片数据用于训练和测试.结果表明,所提出的方法能够在提升硬压板状态识别精度的同时,也提升一键顺控操作的安全性.

关 键 词: 一键顺控; 硬压板; 深度学习; 文字检测; 文字识别; 数据标注; 可靠性; 多任务学习

随着电网的大规模建设,变电站也在不断进行升级、改造,但电网的调度与控制安全仍面临着巨大挑战[1].为了避免误调度和误操作的发生,一键顺控作为一种新的智能变电运检技术正在逐渐推广应用[2-3].

变电站为了实现设备状态的切换,使用倒闸操作将设备切换至检修、热备用、冷备用和运行四种状态[4].但变电站通常存在较高的电压,在倒闸操作中出现误操作不仅会危害人身与设备安全,严重的更会导致电力系统的崩溃[5].一键顺控即操作人员在一体化信息平台下达任务,可按顺序一次性实现操作项目软件预制、任务模块搭建、设备状态识别和操作步骤一键启动与执行的指令[6].传统的一键顺控系统使用遥信采集的信号来判断设备的运行状态,并使用智能防护系统来判断程序化操作是否到位.然而,在实际变电站的一键顺控停、送电操作中,由于操作不当,容易出现错误的投退操作.而传统的信号监测方法,难以及时发现这些错误[7].

基于深度学习的数据分析方法作为人工智能的重要研究领域,正广泛应用于工程的各个方面.如文献[8]提出使用深度学习算法自动分析变电站设备的周围环境,实现防火、防盗以及变电站的无人值守;文献[9]使用深度学习算法设计目标检测网络,实现输变电设备异常发热点红外图片的检测;文献[10]使用基于深度学习的分类算法,实现发电机故障状态的挖掘;文献[11]使用长短时记忆(LSTM)网络、门循环单元(GRU)神经网络和栈式自编码器(SAE)实现电力负荷预测.

为了解决一键顺控系统中不能精确判断目标设备工作的状态及硬压板状态监视可靠性低的问题,本文提出了一种基于图像识别的“双确认”方式.该方法使用监控系统采集的目标设备图像信息进行判别处理,使用一个多任务神经网络同时完成硬压板位置检测、投切状态检测和硬压板标识检测三个任务.

1 多任务学习的硬压板检测与识别

为了有效检测与识别出不同的硬压板,本文提出一个多任务学习网络.该网络不仅需要检测出硬压板区域,且需要根据硬压板下面的唯一文字描述对硬压板进行标识区分.图1为本文方法的整体框架,对于给定的输入图片,该网络首先使用一个共享卷积层提取出共享特征;然后使用一个文字检测网络检测并识别出文字,采用一个识别框检测出硬压板区域,并对其投切状态进行分类识别.

图1 硬压板检测与识别整体框架
Fig.1 Overall framework of detection and recognition of hard platens

1.1 特征共享网络

由于硬压板与其下面的文字标识位置上存在关联关系,因此本文基于多任务学习的硬压板检测与识别网络,使用一个特征共享网络提取表达能力更强的特征,其具体架构如图2所示.图2中,f表示特征,conv block 64,/2表示含有64个通道的卷积层,并进行2倍下采样;up sampling表示上采样,×2为2倍上采样层;3×3表示卷积核大小为3×3;concat表示数组合并.

图2 特征共享网络架构
Fig.2 Architecture of feature sharing network

特征共享网络使用ResNet-50作为基础网络,并使用特征金字塔结构(FPN)融合高、低分辨率的特征来整合全局与局部信息.特征融合过程满足

(1)

(2)

式中:gihi分别为待融合特征图和融合后的特征图;unpool为上采样操作;conv为卷积层操作.在特征融合时为了保证特征图的大小一致,将最后一个阶段的特征图进行上采样操作,增加一倍的尺寸;随后,将其与当前层的特征进行串接,并使用一个1×1卷积层来减小特征通道数;最后,使用一个3×3卷积操作得到融合的结果.

进行上述特征提取与特征融合操作后,将提取出的共享特征分别送入硬压板检测网络与文字检测网络进行硬压板和文字的检测与识别.

1.2 文字检测网络

本文使用EAST网络进行文字的检测,该网络可以准确、有效地检测各种场景下的文字目标.EAST网络消除了不必要的网络操作,能够直接预测任意方向的文本行.

图3为本文检测分支网络的具体架构.该分支使用FPN提取的特征作为输入,使用一个1×1卷积层将输出分支划分为一个得分通道和预测通道.得分通道用来预测每一个文字框中的特征是正样本的可能性,预测通道用来指示检测框的相对横、纵坐标值.得到每个检测框的得分与相对坐标后,即可使用非极大值抑制来搜索出局部极大值,再抑制非极大值结果,最终保留一个最理想的检测框.因此,文本检测网络的目标函数可以表示为

Ldt=λsLs+λregLreg

(3)

式中:LsLreg分别为得分通道和预测通道的损失;λsλreg分别为两损失的权重,本文将其值直接设为1.

图3 EAST检测分支架构
Fig.3 Architecture of EAST detection branch

得分通道的损失函数为交叉熵损失,其表达式为

(4)

式中:Y*分别为预测值和真实值;β为正负样本的平衡参数,且有

(5)

式中,YY*为随机采样样本.

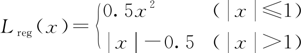
预测通道为了有效应对场景中文本变化大的问题,使用尺度归一化的平滑损失.假设4个通道的预测坐标为则预测通道的损失函数为

(6)

式中,C*分别为预测值和真实坐标集合.

1.3 文字识别网络

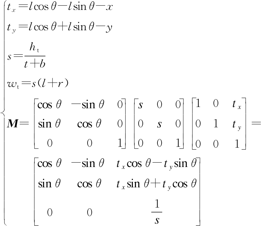
为了便于对文字进行识别,本文首先使用放射变换层对检测出的文字区域进行变换,以得到轴对称的检测结果.这一操作需要保证输出高度固定,且检测结果的长宽比不变.放射变换主要包括两个步骤:1)使用检测框的预测坐标来计算放射参数;2)对所有特征区域进行放射变换,以得到标准水平的特征.其中,第1)步的计算操作为

(7)

式中:M为要求的放射变换矩阵;htwt为变换后输出的高和宽;(tblr)为文本框左上、左下、右上和右下四个坐标;θ为文本方向角度.

使用变换矩阵M,即可实现所有区域的放射变换,即

(8)

式中:分别为(ij)通道c的输入和输出值;hsws为输入的高和宽;ΦxΦy为采样内核k的参数.

对文本区域进行放射变换后,本文使用文字识别分支对检测框中的文本进行识别.考虑到文字识别分支检测的文本框中包含的文字长度不同,本文使用LSTM网络沿着原始图像的共享特征进行识别.文中文字识别网络包含一个双向LSTM层、一个全连接层和一个CTC解码层.

本文假设提取出的特征映射为ER,将该特征排列为具有相同宽度的特征序列I1I2,…,IWRW,并进行特征编码.特征编码完成后,将两个方向的隐藏状态H1H2,…,HWR进行求和,并将其输入给全连接层,得到每个状态的字符分类结果S.最后,本文使用CTC将分类结果转化为标签序列,即给定每个隐藏状态HiS上的概率则分类标签e*的条件概率为所有路径π的概率和,即

(9)

式中,B为所有可能带有空格的标签到e*的多对一映射.

文字识别网络的目的是最大化式(9)求和的对数概率,损失函数可表示为

(10)

1.4 硬压板检测与识别网络

本文使用Faster R-CNN构建硬压板的检测和分类网络,并直接将硬压板的投切状态作为硬压板的类别信息.

硬压板检测与识别网络的输入为特征共享层提取的特征,输出为硬压板的坐标值.对于给定的共享特征,首先采用3×3的滑动操作得到9个锚框,这9个锚框具有3种不同的面积:1 282、2 562和5 122.得到锚框特征后,该网络再使用1×1×256×18和1×1×256×36两个卷积层分别得到一个18维的向量和一个36维的向量,进而得到硬压板的类别与坐标值,检测与识别网络架构如图4所示.

图4 硬压板检测与识别网络架构
Fig.4 Network architecture of detection and recognition of hard platens

为了优化硬压板检测与识别网络,本文对候选检测框及其类别进行Softmax二分类,并设计了目标函数为

(11)

式中:Mcls为随机选取的锚框的大小;Mreg为锚框的数量;λ=10为损失权衡值;为正样本所对应候选区域的真实坐标,当该区域作为正样本时分类及回归损失的定义为

(12)

(13)

2 实验与结果

2.1 实验设置

本文使用手工标注的9 000张硬压板目标屏图片训练所提出的检测与识别网络.在标注图片中,每一个硬压板下面包含一段文字框来描述硬压板的具体信息.同时,每个硬压板根据其投切状态标记为1(开)、0(合)两个状态.图5为本文采集的硬压板图片,本文从9 000张图片中随机选择7 200张作为训练数据集,剩下的1 800张作为测试集.文中使用Pytorch框架实现所提出的网络,并使用Adam进行网络优化.设置初始学习率为0.001,每个训练Batch的大小为1,共训练50个周期.

图5 硬压板图片
Fig.5 Images of hard platens

2.2 评估指标

为了评估所提出方法的性能,本文使用精确度P、召回率R和平均性能F三个指标来表示网络性能.其中,精确度与召回率从漏检和误检的角度对性能进行评估,而平均性能是对精确度与召回率的加权平均,即从总体性能上对算法进行评估.三个指标的具体定义为

(14)

式中:q为检测值;G为真实硬压板/文本框的集合;D为网络输出结果的集合.检测结果与真实目标的匹配规则为

(15)

式中:σij=(GiDj)/Giτij=(GiDj)/Dj.根据多次试验结果设置T1=0.8,T2=0.2.

2.3 结果与分析

本文使用上述采集的数据集对所提出的算法进行性能评估,表1为不同算法对硬压板检测与定位的精度比较结果.CTPN结合CNN与LSTM深度网络,能有效检测复杂场景的横向分布的文字,SSTD为二值图像数字水印算法.从表1中可以看出,所提出的算法相对于其他单独的检测算法具有更高的精度.

表1 不同算法在测试集上的检测与识别精度
Tab.1 Detection and recognition accuracy on test set with different algorithms %

算法检测精度识别精度CTPN79.5483.34SSTD87.6989.95本文算法89.2390.74

图6为本文硬压板二次确认具体实现效果图.从图6中可以看出,使用本方法能够有效地对硬压板位置进行检测,并实现硬压板投切状态的识别,提升了一键顺控的操作精度.

图6 硬压板二次确认具体实现效果图
Fig.6 Actual implementation effect diagram of secondary confirmation of hard platens

3 结 论

本文提出了一种基于深度学习的变电站硬压板状态检测与识别算法.该算法采用一个多任务学习网络,同时完成了硬压板位置、投切状态和硬压板标识检测.其中,硬压板位置检测用于确定并提取出硬压板坐标;硬压板标识识别采用基于文字检测与识别算法对硬压板进行区分;投切状态检测用于对检测出的硬压板状态进行分类,即开或合.测试结果表明,所提出的方法能够提升硬压板状态识别精度,同时也保证了一键顺控操作的安全性.

参考文献(References):

[1]胡诗尧,安佳坤,韩璟琳,等.基于一致性算法的智能电网储能单元分布式调度策略 [J].沈阳工业大学学报,2019,41(4):372-377.

(HU Shi-yao,AN Jia-kun,HAN Jing-lin,et al.Distributed scheduling strategy of smart grid energy sto-rage units based on consistency algorithm [J].Journal of Shenyang University of Technology,2019,41(4):372-377.)

[2]张波.变电运检一体运作模式研究与探索 [J].浙江电力,2016,35(10):69-72.

(ZHANG Bo.Analysis and exploration of integrated mode of substation operation and maintenance [J].Zhejiang Electric Power,2016,35(10):69-72.)

[3]Zhu B Z,Jiao G,Wei Z,et al.Object detection of transmission line visual images based on deep con volutional neural network [J].Chinese Journal of Liquid Crystals and Displays,2018,7:341-349.

[4]Chen A Y,Zhao A D,Lea L,et al.Multi-task learning for dangerous object detection in autonomous driving [J].Information Sciences,2018,6:207-219.

[5]Bregier R,Devernay F,Leyrit L,et al.Symmetry aware evaluation of 3D object detection and pose estimation in scenes of many parts in bulk [J].IEEE Computer Society,2017,25(8):119-128.

[6]Han J,Zhang D,Cheng G,et al.Advanced deep-learning techniques for salient and category-specific object detection:a survey [J].IEEE Signal Processing Ma-gazine,2018,35(1):84-100.

[7]Martin G,Beyerer J.Performance improvement of character recognition in industrial applications using prior knowledge for more reliable segmentation [J].Expert Systems with Applications,2016,40(17):6955-6963.

[8]Li J,Wong H C,Lo S L,et al.Multiple object detection by a deformable part-based model and an R-CNN [J].IEEE Signal Processing Letters,2018,25(2):288-292.

[9]Xu B H,Wang X,Jiang Y G.Fast summarization of user-generated videos using semantic,emotional and quality clues [J].IEEE Multimedia,2016,23(3):1-12.

[10]刘云鹏,裴少通,武建华,等.基于深度学习的输变电设备异常发热点红外图片目标检测方法 [J].南方电网技术,2019,13(2):27-33.

(LIU Yun-peng,PEI Shao-tong,WU Jian-hua,et al.Deep learning based target detection method for abnormal hot spots infrared images of transmission and transformation equipment [J].Southern Power System Technology,2019,13(2):27-33.)

[11]谢川.基于深度学习的发电机故障挖掘方法研究 [J].电网与清洁能源,2016,32(2):8-13.

(XIE Chuan.Research on method of generator fault mining based on deep learning [J].Power System and Clean Energy,2016,32(2):8-13.)

State detection and recognition algorithm for hard platens of substation based on deep learning

WANG Yanga, LI Heng-xuanb, E Shi-pinga, WANG Cheng-zhia, ZHANG Kan-junb

(a. Department of Equipment Management, b. Electric Power Research Institute, State Grid Hubei Electric Power Co. Ltd., Wuhan 430000, China)

Abstract Aiming at the problem that the one-key sequential control of stopping and improper power transmission operation of substation can lead to throwback and retreat operation, a state detection and recognition algorithm for hard platens of substation based on deep learning was proposed. A shared network was used to extract image features, and three branches were established according to a multi-task learning method to jointly finish three tasks, i. e. position detection, switching state detection and identity detection of hard platens. In addition, 8 000 hard platens were collected and labeled for training and testing. The results show that the as-proposed method can improve the accuracy of state recognition of hard platens, and it also improves the safety of one-key sequential operation at the same time.

Key words one-key sequential control; hard platen; deep learning; character detection; character recognition; data annotation; reliability; multi-task learning

收稿日期 2019-12-23.

基金项目 国家电网公司科技项目(52153218000G).

作者简介 汪 洋(1963-),男,湖北潜江人,高级工程师,硕士,主要从事继电保护及自动化等方面的研究.

*本文已于2020-11-03 10∶57在中国知网优先数字出版.

网络出版地址: http:∥kns.cnki.net/kcms/detail/21.1189.T.20201102.1302.008.html

doi:10.7688/j.issn.1000-1646.2020.06.11

中图分类号: TM 76

文献标志码:A

文章编号: 1000-1646(2020)06-0676-05

(责任编辑:景 勇 英文审校:尹淑英)