考虑爆破效应的隧道开挖损伤区及渗流场分析*

许梦飞1, 姜谙男1, 蒋腾飞1, 申发义2, 白 涛3

(1. 大连海事大学 道路与桥梁工程研究所, 辽宁 大连 116026; 2. 吉林省高速公路集团有限公司, 长春 130000; 3. 吉林省交通规划设计院, 长春 130000)

摘 要: 针对爆破效应对围岩力学参数及渗透系数的劣化问题,根据岩石弹塑性力学、连续损伤力学、有效应力原理及渗透系数演化方程,提出了基于Hoek-Brown准则的岩体弹塑性损伤模型,并给出了模型的有限元数值求解算法.以甄峰岭隧道为工程依托,对所选断面开挖损伤区进行数值分析,通过声波检测手段确定爆破扰动范围及损伤值,修正计算力学参数和渗透系数.结果表明,考虑爆破效应后的开挖损伤区,位移值和涌水量均大于不考虑爆破效应时的数值,进行工程稳定性评价时应充分考虑爆破因素的影响.

关 键 词: 爆破效应; Hoek-Brown准则; 弹塑性损伤模型; 求解算法; 开挖损伤区; 声波监测; 位移值; 涌水量

随着隧道工程的蓬勃发展,围岩稳定性评价问题成为了岩土工程界的研究热点.隧道开挖面附近的岩石,其力学性质和渗透特性在开挖扰动和地应力重分布的影响下会发生变化,形成开挖损伤区.开挖损伤区附近的围岩力学参数与地勘、设计给出的初始参数相比会发生较大程度的弱化,渗透系数会成几个数量级的增加,若仍从设计参数出发进行围岩稳定性评价,势必会造成工程隐患.因此,采用合理的方法预测开挖损伤区对隧道施工设计和洞内涌水量控制有着重要意义.Diederichs[1]对深部地下工程中岩石碎裂及产生岩爆的判定依据进行了讨论,并建立了数值计算模型,对深埋盾构开挖破坏半径进行了预测,取得了良好效果;Perras等[2]在Diederichs研究基础上,采用不同预测方程对高度损伤区、内部损伤区和外部损伤区范围进行了数值模拟;王军祥等[3]利用ABAQUS软件对隧道围岩稳定性的影响因素进行了分析;Harrison等[4]指出开挖损伤区由两部分组成,一是开挖手段造成的岩石初始不可逆损伤;二是后期支护过程中应力重分布造成的损伤;严鹏等[5]通过声波检测手段对锦屏工程区的开挖损伤区进行了研究,将其分为爆破荷载和地应力高速释放引起的内损伤区,以及应力重分布引起的外损伤区;刘仲秋等[6]通过对内损伤区和外损伤区的围岩参数分别进行赋值,研究了流固耦合作用下开挖损伤区的分布情况;王军祥、袁小平和贾善坡等[7-9]建立了基于Druker-Prager(D-P)准则或者Mohr-Coulomb(M-C)准则的岩体弹塑性损伤模型,并利用模型对隧道开挖损伤区进行了计算研究.

现有研究对应力损伤渗流耦合作用下,开挖损伤区分布情况分析得较少,且在选取计算参数时较少考虑爆破荷载的弱化效应.与D-P和M-C准则相比,Hoek-Brown(H-B)准则能够表示岩体的非线性破坏特征,反映岩体块度、结构面及施工工况对岩体强度的影响,因此,更加适用于岩体工程稳定性评价.

本文首先以弹塑性力学、连续损伤力学、渗透系数演化方程为理论基础建立了基于H-B准则的岩石弹塑性损伤渗流耦合模型.其次,以吉林省甄峰岭项目为工程依托,根据现场声波检测确定爆破开挖影响范围,修正围岩力学参数和渗透系数,数值模拟了开挖扰动区和渗流场分布,旨在为类似工程提供一定的方法和指导.

1 岩石损伤渗流耦合模型

1.1 岩石弹塑性损伤模型

将岩石视为连续多孔介质,在弹塑性力学和连续损伤力学的理论基础上建立岩石弹塑性损伤模型.在连续损伤力学中,有效应力表示岩石中未发生损伤部分的应力;名义应力σ表示整个岩体中的应力,并被应用于平衡方程的求解当中.有效应力和名义应力的关系表达式为

(1)

式中,ω为标量,表示岩石的损伤程度,取值范围为(0,1).在小变形理论的范畴内对应变ε进行分解,即

ε=εe+εp

(2)

式中:εe为弹性应变;εp为塑性应变.由各向同性的广义胡克定律可得有效应力的表达式为

(3)

式中,G为弹性刚度矩阵.

在有效应力空间对岩石塑性演化问题进行讨论,岩石塑性模型由屈服函数、流动法则、硬化律以及加卸载条件进行描述.本文采用Hoek-Brown屈服准则对岩石强度特征进行描述,即

(4)

式中:为有效应力空间中岩石破坏时最大、最小主应力;σci为完整岩石的单轴抗压强度.常数mbsa的表达式为

(5)

(6)

(7)

式中:GSI为地质强度指标,取值范围为0~100;mi为表征岩石软硬程度的经验参数,取值范围为0.001~25.0;Q为考虑爆破对岩体影响的扰动参数,取值范围为0~1,0表示未受扰动的岩体.

岩体弹性模量表达式为

(8)

考虑流动法则时,为了解决棱线和尖点处无法求导的问题,将H-B准则看作多个应力状态与硬化参数K的标量函数组合,即

(9)

式中,K={mbs}.硬化参数为塑性内变量κp的函数,即

K={κp}

(10)

本文选取累积塑性应变为内变量,其增量表达式为

(11)

式中:γp为塑性剪切应变;为最大主塑性应变;为最小塑性应变.

数值计算时采用分段线性软化函数对非线性软化函数进行逼近,即选取足够多的点对进行线性插值,分段线性软化函数表达式为

(12)

式中:K0为硬化参数初始值;H为硬化模量.

软化参数与累积塑性应变的关系如图1所示.

图1 多线段软化函数
Fig.1 Multiline softening function

假设塑性势函数与屈服函数具有相同的形式,即

(13)

式中,σcigsgmbg为塑性势函数对应的参数.

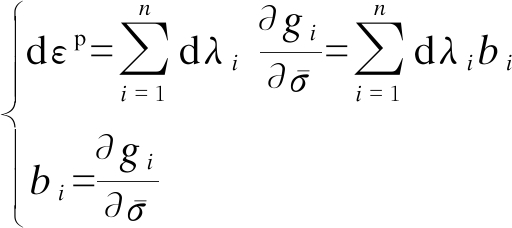
塑性应变增量dεp由对应的塑性势函数g1g2,…,gn和塑性因子λ1λ2,…,λn决定,其表达式为

(14)

Kuhn-Tucker加卸载条件为

dλifi=0 (dλi≥0,fi≤0)

(15)

1.2 损伤演化

相关研究多以幂函数的形式表征岩石损伤变量的演化规律,且考虑到损伤产生的阈值问题,本文选取损伤变量演化方程为

ω=1-exp(-α(κd-κd0))

(16)

式中:α为常数项;κd为损伤变量;κd0为损伤变量阈值.

选取等效塑性应变表征岩石损伤变量的演化,即

(17)

不同α值下,损伤变量ω与等效塑性应变的关系如图2所示.

图2 损伤变量演化规律
Fig.2 Evolution law of damage variable

1.3 应力渗流耦合模型

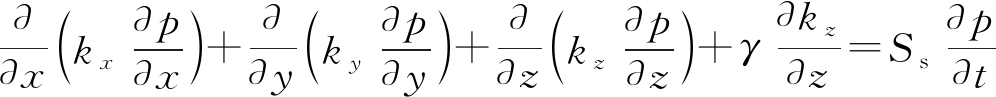
由Darcy定律可得岩石稳态渗流场微分控制方程为

(18)

式中:p为孔隙水压力;kxkykz分别为xyz轴方向的渗透率;Ss为单位贮存量;γ为水的重度.

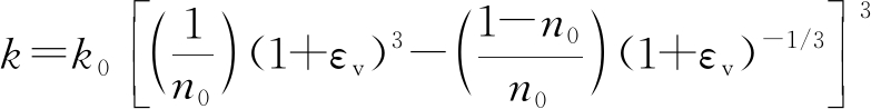
在应力渗流耦合分析中,岩石渗透率通常表示为孔隙率或应力、应变的函数.文献[9]推导了渗透率k随体积应变的演化方程,即

(19)

式中:k0为岩石初始渗透率;n0为初始孔隙率;εv为体积应变.

渗流作用产生的孔隙水压p,通过多孔介质有效原理对应力场应力进行修正,其表达式为

σij=σij-δijβp

(20)

式中:σij为有效应力(压为正,拉为负);β为等效孔隙压系数,0≤β≤1;δij为Kroneker符号.

2 耦合模型数值求解

2.1 塑性损伤模型本构积分算法

塑性演化与损伤分别发生在有效应力空间和损伤空间,彼此相互解耦,因此,可以利用文献[10]算子分离法对塑性变量和损伤变量分别求解,整个过程分为弹性预测、塑性修正和损伤修正三个部分.

1) 弹性预测.为了减少应力维数,使其在几何空间上的表达更为直观,本文选择在主应力空间对问题进行讨论.由给定应变增量求解弹性预测应力,即

σtrial=σA+GΔε

(21)

式中:σtrial为预测应力;σA为上一荷载步中的应力值;G为刚度矩阵;Δε为当前荷载步下的应变增量.

代入屈服函数f1中进行判断,若f1<0,当前荷载步处于弹性阶段,更新应力状态和内变量;若f1≥0,则进入塑性修正.

2) 塑性修正.塑性修正时,为了避免所求应力偏移屈服面,采用基于向后欧拉式的回映算法实现应力求解.利用边界面法对应力空间进行划分,如图3所示,根据预测应力的位置选择回映策略.当预测应力位于位置Ⅰ时,更新应力至尖点处;当预测应力位于位置Ⅱ时,更新应力至棱线l1上;当预测应力位于位置Ⅲ时,更新应力至屈服面f1;当预测应力位于位置Ⅳ时,更新应力至棱线l2上.

3) 损伤修正.应力更新完成后,将求得的塑性应变代入式(16)中更新损伤变量ω,即而由式(1)获得应力解.

图3 主应力空间中Hoek-Brown准则边界面划分域
Fig.3 Divided areas of boundary surfaces with Hoek-Brown criterion in principal stress space

2.2 一致切线模量表达式

为了保证有限元方程组整体迭代求解过程中具有二阶收敛速度,给出一致切线模量的表达式为

(22)

式中:n为屈服面个数;Gc为修正后弹性矩阵,Gc=TGT为修正矩阵;Δεp为塑性应变增量;An阶方阵.各变量的表达式为

(23)

(24)

式中,δij为Kronecker符号.ξi的表达式为

(25)

在主应力空间求得Gepc后,还应通过转置将其转化为六维空间下的直切线模量.

2.3 应力渗流耦合迭代过程

利用C++语言编制上述岩石弹塑性损伤模型求解程序,利用分布迭代法的思想,将其与课题组已有渗流求解程序seepage相结合,先计算岩石的应力场,然后根据渗透系数演化方程(19)计算单元渗透系数矩阵,继而进行渗流场计算,最后将求得的孔隙水压根据有效应力式(20)带回应力场求解程序中,反复迭代直至前后两次求得的应力场、渗流场满足收敛准则为止.耦合程序求解流程如图4所示.

3 工程应用

3.1 工程概况

吉林省甄峰岭隧道区入口段位于和龙市北部西镇区,出口段位于安图县松江镇境内.本文选取第四设计段K91+400 m断面进行开挖损伤区研究.该断面隧道底板埋深约为192.935~205.219 m,隧道围岩主要为玄武岩,块状构造,含少量气孔,节理裂隙发育,岩体呈碎裂块状结构,为棕褐色玄武岩,杏仁状构造.节理裂隙发育,碎裂结构,由BQ法求得围岩等级为Ⅳ级.隧道经过区属中温带湿润季风气候区,水量受季节变化较大,4~5月份积雪融化期、7~8月份雨季对地下水均有补给作用.开挖设计为台阶法施工,拱部采用光面爆破,边墙采用预裂爆破.

3.2 爆破开挖对围岩参数的影响

对爆破荷载作用下岩石初始损伤区进行研究,在距离K91+400 m断面20 m处布置辅助洞,设计4个间隔0.5 m的损伤区监测断面,每个断面布置两只相互平行的钻孔,用于声波对穿测试.图5为声波监测断面示意图,钻孔深度为25 m,孔径约为10 cm.声波波速值每50 cm采集一次,每次采样位置严格保持一致,测得不同监测面声波波速及声速降低率,如图6所示.

图4 耦合模型计算流程图
Fig.4 Flow chart of calculation with coupling model

图5 声波监测断面示意图
Fig.5 Schematic diagram of acoustically monitored section

由图6可知,爆破开挖前,4个监测断面处的声波监测值均在3 500~5 000 m/s之间.爆破后,4个监测断面的声波监测值发生不同程度下降,监测断面1处声波波速降低率在18.07%~33.01%之间;监测断面2处声波波速降低率在11.17%~17.64%之间;监测断面3处声波波速降低率在5.56%~10.99%之间;监测断面4处声波波速降低率在0.09%~5.06%之间.

岩体爆破损伤度Q与声速降低率η之间的关系为

Q=1-(1-η)2

(26)

由式(26)可以求得不同断面的岩体爆破损伤度,监测断面1处的岩体爆破损伤度为0.33~0.55;监测断面2处的岩体爆破损伤度为0.21~0.32;监测断面3处的岩体爆破损伤度为0.11~0.20;监测断面4处的岩体爆破损伤度为0.001~0.01.从最不利的角度考虑问题,确定岩体爆破损伤范围为1.5 m,爆破损伤度为0.55.

由现场设计资料估算围岩力学参数,围岩重度γ=25 kN/m3,GSI=35,μ=0.35,mi=16,a=0.52,由式(5)~(7)计算得爆破扰动区和未扰动区的Emmbs值(假设泊松比不随损伤发生变化,mbs的残余强度为峰值强度的五分之一).根据文献[1]的研究,将爆破扰动区的初始孔隙度e0和水力渗透率k提高两个数量级,最终所得耦合模型计算参数如表1所示.

图6 爆破前后声波检测数据
Fig.6 Acoustically monitored data before and after blasting

表1 计算参数
Tab.1 Calculation parameters

位置Em/GPasmbe0k/(m·d-1)损伤区0.541×10-40.650.03004×10-3未损伤区2.567×10-41.570.00034×10-5

3.3 计算结果分析

根据K91+400 m断面施工设计图纸建立有限元计算模型,如图7所示.模型高60 m,宽110 m,两侧施加水平位移约束条件,底部施加固定位移约束条件.模型顶部施加均匀的覆土荷载2.5 kN/m,左右两侧施加沿重力方向梯度变化的水头压力,底部水头高度Hd=56 m.整个模型共划分为1 084个节点和1 010个单元.

图7 有限元计算模型图
Fig.7 Model for finite element calculation

计算时按照以下步骤对隧道开挖过程进行模拟:1)对模型进行数尺地应力平衡和渗流场计算;2)释放开挖荷载70%,进行初始爆破扰动区赋值;3)施加混凝土衬砌,释放剩余30%开挖荷载.

分别对考虑爆破效应和不考虑爆破效应的开挖损伤区进行数值模拟,所得结果如图8所示.由图8可知,考虑爆破效应的开挖损伤区范围要大于不考虑爆破效应,最终产生的最大损伤值为0.8,大于未考虑爆破效应时的最大损伤值0.65.洞周监测点计算位移值与现场实测位移对比如图9所示.考虑爆破效应时的位移远远大于不考虑爆破效应时的位移值,且更接近实测位移值.根据《城市轨道交通工程监测技术规范》,一级监测标准下隧道累积沉降预警值为20~30 mm,爆破作用下的计算值及监测值均已达到预警值,因此,应对该断面进行加固,避免工程灾害的发生.数值分析表明,爆破效应会加剧隧道最终的开挖损伤程度,这是在进行支护设计时必须考虑的问题.

图8 开挖损伤区分布
Fig.8 Distribution of excavation damage area

图9 位移对比
Fig.9 Displacement comparison

对考虑爆破效应和不考虑爆破效应的渗流场进行计算,所得孔隙水压分布如图10所示.由图10可知,隧道开挖后对原有渗流场产生扰动,在隧道开挖区附近形成渗水漏斗.对隧洞周边单元流量进行求和,计算洞内涌水量(衬砌渗透系数为1.15×10-3 m/d),考虑爆破效应时的洞内涌水量为22 m-3·m-1·d-1,远远大于不考虑爆破效应时的10 m-3·m-1·d-1,与实测值20 m-3·m-1·d-1更为接近.

4 结 论

本文通过分析得出以下结论:

1) 在岩石弹塑性理论、连续损伤力学、有效应力原理及渗透系数演化方程的基础上,建立了基于Hoek-Brown准则的岩体弹塑性损伤模型,并给出了损伤变量的演化方程.利用算子分离法对所建弹塑性损伤模型进行求解,求解过程分为弹性预测、塑性修正及损伤修正,并给出了一致切线模量的表达式,保证了整体方程组求解过程中的二次收敛.通过分布迭代法实现了岩体应力渗流场的数值求解.最后以C++为语言平台,编写了相应的有限元求解程序.

图10 孔隙水压分布图
Fig.10 Distribution of pore water pressure

2) 利用声波监测手段确定研究断面处爆破作业产生的损伤区范围和损伤值大小,获得扰动系数Q的准确取值,对岩体力学参数mbsE进行修正.

3) 利用所建立耦合模型,对隧道开挖损伤区进行数值分析,结果表明,考虑爆破效应时的开挖损伤区及最大损伤值,洞周监测点的位移值及研究断面的洞内涌水量均有所增大,爆破效应对工程稳定性造成一定的威胁.

参考文献(References):

[1]Diederichs M S.The 2003 Canadian geotechnical colloquium:mechanistic interpretation and practical application of damage and spalling prediction criteria for deep tunnelling [J].Canadian Geotechnical Journal,2007,44(9):1082-1116.

[2]Perras M A,Diederichs M S.Predicting excavation damage zone depths in brittle rocks [J].Journal of Rock Mechanics and Geotechnical Engineering,2016,8(1):60-74.

[3]王军祥,孙姣姣,陈四利.基于ABAQUS和正交试验的隧道围岩稳定性分析 [J].沈阳工业大学学报,2018,40(4):474-480.

(WANG Jun-xiang,SUN Jiao-jiao,CHEN Si-li.Stability analysis for tunnel surrounding rock based on ABAQUS and orthogonal tests [J].Journal of Shen-yang University of Technology,2018,40(4):474-480.)

[4]Harrison J P,Hudson J A,Popescu M E.Engineering rock mechanics:part 2,illustrative worked examples [J].Applied Mechanics Reviews,2002,55(2):30-31.

[5]严鹏,卢文波,单治钢,等.深埋隧洞爆破开挖损伤区检测及特性研究 [J].岩石力学与工程学报,2009,28(8):1552-1561.

(YAN Peng,LU Wen-bo,SHAN Zhi-gang,et al.Detecting and study of blasting excavation-induced da-mage of deep tunnel and its characters [J].Chinese Journal of Rock Mechanics & Engineering,2009,28(8):1552-1561.)

[6]刘仲秋,章青.考虑渗流应力耦合效应的深埋引水隧洞衬砌损伤演化分析 [J].岩石力学与工程学报,2012,31(10):2147-2153.

(LIU Zhong-qiu,ZHANG Qing.Damage evolution analysis of permeability ling of deep diverson tunnel based on seepage-stress coupling theory [J].Chinese Journal of Rock Mechanics & Engineering,2012,31(10):2147-2153.)

[7]王军祥,姜谙男.岩石弹塑性损伤本构模型建立及在隧道工程中的应用 [J].岩土力学,2015,36(4):1147-1158.

(WANG Jun-xiang,JIANG An-nan.An elastoplastic damage constitutive model of rock and its application to tunnel engineering [J].Rock & Soil Mechanics,2015,36(4):1147-1158.)

[8]袁小平,刘红岩,王志乔.基于Drucker-Prager准则的岩石弹塑性损伤本构模型研究 [J].岩土力学,2012,33(4):1103-1108.

(YUAN Xiao-ping,LIU Hong-yan,WANG Zhi-qiao.Study of elastoplastic damage constitutive model of rocks based on Drucker-Prager criterion [J].Rock & Soil Mechanics,2012,33(4):1103-1108.)

[9]贾善坡,罗金泽,杨建平,等.考虑围压影响的盐岩弹塑性损伤本构模型研究 [J].岩土力学,2015,36(6):1549-1556.

(JIA Shan-po,LUO Jin-ze,YANG Jian-ping,et al.An elastoplastic damage constitutive model for salt rock considering confining pressure effect [J].Rock & Soil Mechanics,2015,36(6):1549-1556.)

[10]杜修力,黄景琦,金浏,等.岩石三维弹塑性损伤本构模型研究 [J].岩土工程学报,2017,39(6):978-985.

(DU Xiu-li,HUANG Jing-qi,JIN Liu,et al.Three-dimension elastic-plastic damage constitutive model for intact rock [J].Chinese Journal of Geotechnical Engineering,2017,39(6):978-985.)

Analysis of excavation damage area and tunnel seepage field considering blasting effect

XU Meng-fei1, JIANG An-nan1, JIANG Teng-fei1, SHEN Fa-yi2, BAI Tao3

(1. Institute of Road and Bridge Engineering, Dalian Maritime University, Dalian 116026, China; 2. Jilin Provincial Expressway Group Co.Ltd., Changchun 130000, China; 3. Jilin Province Traffic Planning and Design Institute, Changchun 130000, China)

Abstract Aiming at the deterioration of mechanical parameters and permeability coefficient of surrounding rock caused by the blasting effect, a rock elastoplastic damage model based on the Hoek-Brown criterion was proposed according to the rock elastoplastic mechanics, continuous damage mechanics, effective stress principle and permeability coefficient evolution equation. A finite element numerical solution algorithm of the model was suggested. Taking Zhenfengling tunnels as the project background, the excavation damage area of selected section was performed with the numerical analysis. The blasting disturbance range and damage value were determined by means of acoustic wave detection, and the calculated mechanical parameters and permeability coefficient were modified. The results show that the displacement value and the water inflow of excavation damage area considering the blasting effect are bigger than those with no consideration of blasting effect, indicating that the blasting effect should be fully considered in the engineering stability evaluation.

Key words blasting effect; Hoek-Brown criterion; elastoplastic damage model; solution algorithm; excavation damage area; acoustic monitoring; displacement value; water inflow

收稿日期 2018-11-19.

基金项目 中央高校基本科研业务费专项基金项目(3132014326); 吉林省交通运输项目(2017ZDGC-4).

作者简介 许梦飞(1989-),男,河南新乡人,博士生,主要从事岩土多场耦合机理及数值模拟等方面的研究.

*本文已于2020-11-03 11∶34在中国知网优先数字出版.

网络出版地址: http:∥kns.cnki.net/kcms/detail/21.1189.T.20201102.1355.018.html

doi:10.7688/j.issn.1000-1646.2020.06.16

中图分类号: TU 443

文献标志码:A

文章编号: 1000-1646(2020)06-0706-08

(责任编辑:钟 媛 英文审校:尹淑英)