一种直流电压互感器的低压现场校验方法*

聂 琪,胡浩亮,刘少波,李登云,曾非同

(中国电力科学研究院有限公司 计量研究所,武汉 430074)

摘 要: 为了解决直流电压互感器现场校验率低的问题,提出了一种基于低压等效法的直流电压互感器现场校验方法,采用直流分压器与二次测量系统分立校验的方法替代现有的整体误差校验方法.利用该校验方法对某±1 100 kV换流站直流电压互感器进行误差校验试验.结果表明,该校验方法测量的误差与现有的整体误差校验方法测量的误差偏差小于0.05%,且该方法能够实现直流电压互感器的现场校验,从而可以有效缩减现场校验时间、减少工作量和降低现场校验安全隐患.

关 键 词: 直流电压互感器;低压;换流站;特高压直流输电;分压器;二次测量系统;误差校验;阻抗影响

相比传统的特高压交流输电技术,特高压直流输电技术具有远距离、大容量、无同步问题和低损耗等优势[1-2].直流电压互感器作为为直流输电系统的控制、保护提供电压信号的关键测量设备,其测量性能的好坏直接关系到直流输电系统的安全、稳定运行.随着国内对直流电压互感器测量性能的重视和加强,直流电压互感器的检定规程及现场试验规范等技术标准已经发布.直流电压互感器现场校验一般采用整体校验方法,其校验原理分为测差法[3-4]与直接测量法[5-6],其中,直接测量法最为常见.目前,已投运的直流电压互感器校准率仍相对较低,主要原因为:1)高电压等级的直流高压电源、高准确度的标准直流电压互感器和直流互感器校验仪等校验设备的技术制约[7-8],试验时试品母线需要同时挂载多台电力设备,也要求直流高压电源容量足够大[9];2)校验工作量大、周期长,每台直流电压互感器二次测量系统均为独立多套冗余设计,导致现场需要进行多次误差校验,因此在有限的停电检修时间内完成校验的试品数量有限;3)现场校验安全隐患.对二次测量系统进行误差调节时,由于需要直流高压电源和标准器长时间满负荷运行及反复升降压操作,因此给现场校验带来一定的安全隐患.随着校验设备的发展,直流电压互感器校验设备的研制取得了突破性进展,国内已具备±1 100 kV特高压直流电压互感器现场误差校验能力,并于2019年3月在昌吉古泉±1 100 kV换流站开展了现场校准试验,但其现场校验工作量大、周期长,仍是现场校验过程中亟需解决的问题.

本文针对现场校验中仍存在的问题,提出了一种基于低压等效法的直流电压互感器现场校验方法.采用二次测量系统的独立校验替代直流电压互感器整体误差校验方法,从理论与实际上进行了校验试验,证明了该现场校验方法可以实现直流电压互感器的准确校验,可以大幅降低现场校验工作量,缩短校验周期,避免直流高压电源和标准器长时间运行及反复升降压操作,降低现场校验带来的安全隐患风险.

1 直流电压互感器工作原理及误差分析

直流换流站中,直流电压互感器通常采用阻容分压原理结构,其工作原理如图1所示.直流电压互感器一般由分压器本体、传输电缆和二次测量系统组成,其中分压器本体由一系列电阻电容串并联构成高压臂和低压臂.通过高、低压臂将高压侧母线的直流高电压分压为几十伏的直流电压,然后输出到传输电缆.

图1 直流电压互感器工作原理
Fig.1 Operating principle of DC voltage transformer

使用高稳定度直流高压电源给标准直流电压互感器和被测直流电压互感器的分压器施加高电压信号,将被测直流电压互感器二次测量系统的输出信号与标准直流电压互感器的输出信号输入到直流互感器校验仪中进行直接比对,获得被测直流电压互感器的误差为

(1)

式中:Ux为折算后的被测直流电压互感器的一次电压测量值;U0为折算后的标准直流电压互感器的一次电压测量值.

由于二次测量系统为独立多通道输出,因此每台直流电压互感器需要进行多次误差试验.本文分别对直流电压互感器的直流分压器、传输电缆和二次测量系统进行误差分析,并对基于低压等效法的现场校验方法进行可行性分析.直流电压互感器分压器的等效电路如图2所示.

图2 直流电压互感器阻容分压器等效电路
Fig.2 Equivalent circuit of resistance-capacitor voltage divider of DC voltage transformer

图2中,R1C1为高压臂等效电阻及电容,R2C2为低压臂等效电阻与电容.直流电压互感器分压器的传递函数H1(jw)为

(2)

直流分压器在高频时主要为电容分压,低频时主要为电阻分压,通过选取合适的电阻电容,使C2R2=C1R1,传递函数的值与频率无关,分压器可以测量直流电压中各种频率的谐波成分.此外,现场校验时,由高稳直流高压电源施加直流电压,谐波成分较小,近似认为

(3)

假设直流分压器本体的分压比为k0,则直流分压器的电压转换误差为

(4)

理论上,当k0=U1/U2=(R2+R1)/R2时,ε0=0.实际工程中,由于电阻易受环境温度、电磁场老化等影响,电阻R1R2阻值会发生变化.此外,直流分压器低压臂电阻R2与传输电缆、二次测量系统的输入电阻等串并联,导致实际的低压臂复合电阻未知,因此,需要测量计算出直流分压器的实际分压比,使ε0≈0,获得直流分压器额定输出电压.

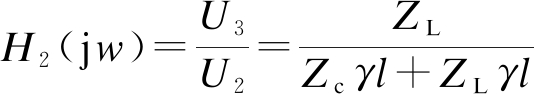
直流电压互感器传输电缆的等效电路如图3所示.RcLcGcCc分别为传输电缆单位长度的电阻、电感、电导和电容,ZL为负载阻抗.

图3 传输电缆等效电路
Fig.3 Equivalent circuit of transmission cable

直流电压互感器传输电缆等效电路的传递函数为

(5)

式中:Zc为特征阻抗;γ为传播常数;l为电缆的长度.

电缆的电压反射系数为

Γ=(ZL-Zc)/(ZL+Zc)

(6)

ZL=Zc时,功率在电缆上实现无损传输,同轴电缆的传递函数只取决于电缆自身参数,实际工程中选取的ZLZc大得多.此时,传输电缆上电压损耗较小,低于0.1%.在传输直流电压时,电压损耗最小[10].本文在对某中性线100 kV直流电压互感器现场误差校验时,并对其传输电缆进行了电压损耗影响试验.利用直流高压电源给直流分压器施加10%~100%的额定电压,使用数字多用表同步测量传输电缆两端的电压值,并进行比较,试验数据如表1所示.

表1 1 100 kV直流互感器二次测量系统误差数据
Tab.1 Error data of secondary measurement system of 1 100 kV DC transformer

施压百分数%分压器近端电压V分压器远端电压V电缆损耗量%10-6.8838-6.8832-0.008720-13.7720-13.7680-0.029050-34.4190-34.4120-0.020380-55.1180-55.1080-0.0181100-68.8320-68.8250-0.0102

试验数据显示,相对准确度等级为0.2%的直流电压互感器而言,传输电缆的电压损耗较小.在20%的额定电压时,最大电压损耗约为0.03%,直流电压互感器现场校验时可以忽略传输电缆的电压损耗.

直流电压互感器的二次测量系统主要由二次分压电路、A/D转换、光耦隔离和D/A转换电路构成,通常A/D转换、光耦隔离和D/A转换集成在一片隔离运算放大器芯片中,因此,二次测量系统误差主要来源于二次分压电路和隔离运算放大器.本文通过同步测量法直接测量二次测量系统的电压转换误差.

本文提出的基于低压等效法的直流电压互感器现场校验方法关键在于:1)准确测量直流分压器的分压比,使直流分压器的误差近似为零;2)根据测量的直流分压器分压比,计算直流分压器的额定输出电压;3)将直流分压器的额定输出电压作为二次测量系统的额定输入电压,对二次测量系统进行误差校验试验.

2 直流电压互感器现场校验方案

本文首先对直流分压器本体进行试验,校验原理如图4所示.使用两块数字多用表对标准通道和被测通道的模拟电压进行同步测量,上位机用于数据处理及误差计算.校验时,校验仪通过软件总线同步触发指令进行同步.

图4 直流电压互感器分压器试验
Fig.4 Test of DC voltage transformer divider

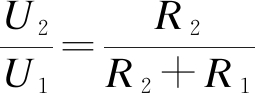
使用直流互感器校验仪测量标准直流电压互感器和直流电压互感器分压器低压臂输出电压,直流分压器的分压比为

(7)

式中:U03为标准直流电压互感器输出电压测量值;U3为被测直流电压互感器分压器低压臂输出电压测量值.

进行直流电压互感器分压器本体试验时,需要考虑直流互感器校验仪测量通道阻抗对测量结果的影响.假设校验仪的测量通道阻抗为R,通过数字多用表的电阻档测量直流分压器连接传输电缆和二次测量系统时,低压臂的实际输出阻抗为R0,则校验时直流分压器低压臂输出阻抗为

(8)

由校验仪测量通道阻抗引起的被测直流电压互感器分压器低压臂输出电压的测量误差为

(9)

去除校验仪测量通道阻抗影响后,直流分压器的实际分压比为

K′=K(1+ε1)

(10)

假设被测直流电压互感器的额定电压为UN,根据直流电压互感器额定电压和其直流分压器的实际分压比,计算出直流分压器低压臂的额定输出电压为

(11)

以直流分压器低压臂的额定输出电压U4作为直流电压互感器二次测量系统的额定输入电压,开展二次测量系统的误差校验试验,其校验原理如图5所示.

图5 直流电压互感器二次测量系统误差校验原理

Fig.5 Error calibration principle of secondary measurement system of DC voltage transformer

在直流分压器、传输电缆和二次测量系统连接的情况下,采用标准直流电压源施加标准直流电压到二次测量系统的输入端.同时利用回读功能对其进行采样,使用数字多用表对二次测量系统的输出电压进行同步采样,通过上位机计算二次测量系统的电压转换误差为

(12)

式中:k2为被测直流电压互感器二次测量系统的额定电压转换系数;U40为被测直流电压互感器二次测量系统的输出电压测量值;U4为被测直流电压互感器二次测量系统的输入电压.依次对直流电压互感器的全部通道的二次测量系统进行误差校验,在直流电压互感器二次测量系统输入额定电压的10%~100%情况下,测量其误差得到的结果即可作为直流电压互感器的整体误差.

3 直流电压互感器现场校验

利用本文提出的校验方法,针对昌吉±1 100 kV换流站的全部极母线1 100 kV和中性线100 kV直流电压互感器进行现场校验,并采用整体误差校验方法进行试验验证,现场校验图如图6所示.

图6 ±1 100 kV换流站直流电压互感器现场校验
Fig.6 Field calibration of DC voltage transformer in ±1 100 kV converter station

选取某试品试验数据对本文提出的现场校验方法进行阐述分析,两个试品关键技术参数如表2所示.分别对两个试品进行二次测量系统误差校验与整体误差校验,误差结果分别如图7、8所示.

表2 试品关键技术参数
Tab.2 Key technical parameters of testers

参数试品1取值试品2取值额定输入电压UN1100kV100kV低压臂输出电压69.5V41.7V额定输出电压5V5V准确度等级0.05级0.05级

图7 1 100 kV直流电压互感器误差比较
Fig.7 Comparison of errors for 1 100 kV DC voltage transformer

图8 100 kV直流电压互感器误差比较
Fig.8 Comparison of errors for 100 kV DC voltage transformer

由试验结果可知,两种校验方法测量的误差曲线趋势基本一致.本文提出的校验方法测量的误差相比现有的整体误差校验方法测量的误差偏大,但误差偏差最大不超过0.05%,小于试品误差限值.经分析,存在的误差偏差可能来源于忽略的传输电缆的电压损耗以及校验设备的测量不确定度,可以认为本文所提出的现场校验方法与整体误差校验方法效果基本一致.

4 结 论

本文提出的基于低压等效法的直流电压互感器现场校验方法与现有的整体误差校验方法测量的误差小于0.05%,通过在低压下对直流电压互感器二次测量系统的独立误差校验,实现了直流电压互感器的误差校验.在实际的现场校验中,可以有效缩减现场校验时间、减少工作量.在二次测量系统误差超差时,使用低压标准直流电压源进行误差调节可以避免现有校验方法中直流高压电源和标准器长时间运行及反复升降压操作所带来的安全隐患.该校验技术在特高压直流现场校验中具有一定的优势,但与现有的整体误差校验技术测量的结果仍存在微小偏差,后续研究将对该校验技术误差来源进行分析.

参考文献(References):

[1] 马为民,樊纪超.特高压直流输电系统规划设计 [J].高电压技术,2015,41(8):2545-2549.

(MA Wei-min,FAN Ji-chao.Planning and design of UHVDC transmission system [J].High Voltage Engineering,2015,41(8):2545-2549.)

[2] Mike B,Dirk V H,Simon P T,et al.HVDC systems in smart grids [J].Proceedings of the IEEE,2017,29(9):1-17.

[3] 李登云,雷民,熊前柱,等.数字量输出型直流电压互感器的误差特性分析 [J].现代电子技术,2018,41(4):119-123.

(LI Deng-yun,LEI Min,XIONG Qian-zhu,et al.Error characteristic analysis of digital output type DC voltage transformer [J].Modern Electronics Technique,2018,41(4):119-123.)

[4] 吴晋波,陈宏,熊尚峰,等.高压直流输电直流系统保护设备现场检验方法探索 [J].电测与仪表,2018,55(5):110-118.

(WU Jin-bo,CHEN Hong,XIONG Shang-feng,et al.Study on on-site test method for DC protection equipment of HVDC [J].Electrical Measurement & Instrumentation,2018,55(5):110-118.)

[5] 李登云,李鹤,熊魁,等.直流OCT与FOCT的误差特性分析和比较 [J].现代电子技术,2017,40(24):154-159.

(LI Deng-yun,LI He,XIONG Kui,et al.Error cha-racteristic analysis and comparison of DC OCT and FOCT [J].Modern Electronics Technique,2017,40(24):154-159.)

[6] 刘晓明,龚立群,贾茹.550 kV电容式电压互感器的均压设计 [J].沈阳工业大学学报,2012,34(1):6-10.

(LIU Xiao-ming,GONG Li-qun,JIA Ru.Uniform potential design of 550 kV capacitor voltage transformer [J].Journal of Shenyang University of Technology,2012,34(1):6-10.)

[7] 袁渊,任稳柱,李平,等.±1 200 kV标准直流分压器设计及测量不确定度评定 [J].高压电器,2013,49(5):12-17.

(YUAN Yuan,REN Wen-zhu,LI Ping,et al.±1 200 kV standard DC voltage divider design and the uncertainty of evaluation for measurement [J].High Voltage Apparatus,2013,49(5):12-17.)

[8] 聂琪,胡浩亮,李登云,等.一种直流电流互感器阶跃响应校验系统 [J].电测与仪表,2018,55(19):112-118.

(NIE Qi,HU Hao-liang,LI Deng-yun,et al.A step response calibration system for DC current transformer [J].Electrical Measurement & Instrumentation,2018,55(19):112-118.)

[9] 张杰,胡媛媛,刘飞,等.高压直流互感器现场校验关键技术 [J].高电压技术,2016,42(9):3003-3010.

(ZHANG Jie,HU Yuan-yuan,LIU Fei,et al.Critical technology of on-site calibration system for DC electronic instrument transformer [J].High Voltage Engineering,2016,42(9):3003-3010.)

[10] Nguyen P H,韩民晓.直流阻容式电压互感器用于直流输电谐波电压测量的研究 [J].电工电能新技术,2015,34(3):54-60.

(Nguyen P H,HAN Min-xiao.Study on application of DC resistive-capacitive voltage transformer in harmonic voltage measurement for HVDC [J].Advanced Technology of Electrical Engineering and Energy,2015,34(3):54-60.)

A field calibration method of DC voltage transformer under low voltage

NIE Qi, HU Hao-liang, LIU Shao-bo, LI Deng-yun, ZENG Fei-tong

(Department of Metrology, China Electric Power Research Institute Co.Ltd., Wuhan 430074, China)

Abstract In order to overcome low field calibration rate for DC voltage transformer, a field calibration method for DC voltage transformer based on low voltage equivalent method was proposed. Discrete calibration method of DC voltage divider and secondary measurement system was used to replace the existing overall error calibration method. The as-proposed calibration method was applied to the error calibration test of DC voltage transformer in a ±1 100 kV converter station. The results show that the error deviation between the as-proposed calibration method and the existing overall error calibration method is less than 0.05%. The as-proposed calibration method can realize the field calibration of DC voltage transformer, and can greatly reduce the calibration time, workload and the potential safety hazard of field calibration.

Key words DC voltage transformer; low voltage; converter station; ultra high voltage DC transmission; voltage divider; secondary measurement system; error calibration; impedance effect

中图分类号: TM 933

文献标志码:A

文章编号:1000-1646(2021)01-0012-05

收稿日期 2019-09-19.

基金项目 国家重大科学仪器设备开发专项(2016YFF0102405);中国电力科学研究院有限公司科技项目(JL83-19-009).

作者简介 聂 琪(1991-),男,江西宜春人,工程师,硕士,主要从事高压计量与直流互感器校验技术等方面的研究.

* 本文已于2020-12-22 15∶57在中国知网优先数字出版. 网络出版地址: http:∥kns.cnki.net/kcms/detail/21.1189.T.20201221.1118.024.html

doi:10.7688/j.issn.1000-1646.2021.01.03

(责任编辑:景 勇 英文审校:尹淑英)