变电站故障预警巡检机器人自主运动规划*

郑亚红1,于雪庭2,马少华3,韩子娇4,董雁楠3

(1. 沈阳市装备制造工程学校 电气工程系,沈阳 110026;2. 国网辽阳供电公司 白塔区供电分公司,辽宁 辽阳 111000;3. 沈阳工业大学 电气工程学院,沈阳 110870;4. 国网辽宁省电力有限公司 电力调度控制中心,沈阳 110006)

摘 要: 针对当前变电站巡检无人化的场景需求,结合变电站的内部环境特征、巡检机器人运动学与动力学模型,提出智能巡检机器人自主运动规划方法与故障诊断方法.为克服传统蒙特卡洛算法中机器人绑架和粒子数固定问题,提出自适应蒙特卡洛定位算法,对巡检机器人位置实时定位,并与故障阈值的异常温度检测与报警算法相结合.通过真实场景下的路径规划与多种电力器件温度监测实验,证明了提出的方法能有效规划最优巡检路径与温度巡检任务.

关 键 词: 巡检无人化;巡检机器人;自主运动规划;实时定位;自适应蒙特卡洛定位;故障阈值;温度检测;报警算法

电力系统的稳定性、安全性与整个国民经济的正常运行密切相关[1].变电站作为电力系统输配电网络中一个重要工程场所,需保障其稳定运行,但是传统的人工巡检方式存在着工作强度大、效率低、有安全隐患等缺点.随着科技进步,采用智能控制系统、视觉算法、人工智能等技术的巡检机器人可以替代巡检人员,模拟巡检过程中从业人员的操作行为,可以提供比传统人工巡检更为精确的数据收集与检测,减少巡检所投入的人力成本,降低操作风险[2-4].

考虑工程现场中复杂环境,制定合适的巡检路线、准确地反应现场设备故障、规避障碍物一直是巡检机器人设计研究当中需要面对的核心问题[5-6].文献[7]通过对巡检机器人的研究现状、技术要点等方面进行综述,指出巡检机器人自主运动规划所涉及到的智能控制系统一直是该领域的技术重点.文献[8]针对变电站检修期间危险性大、劳动强度高等问题,设计了检修现场用的智能巡检机器人.通过研究与部署,验证了其良好的运动性能,但该文主要在通讯层面进行研究,并未深入研究其自主运动下的导航精确度.文献[9]设计了在地下综合管廊等复杂工况下的巡检机器人,并制造样机开展性能测试,为巡检机器人的实现提供了借鉴.文献[10]考虑到巡检机器人的巡检路径规划以及避障能力,提出了一种将改进人工势场法与计数算法相结合的新型避障算法,对自动避障及动态轨迹规划功能进行了实验验证,该算法能够完成复杂工况下的巡检任务.本文基于变电站内部环境与部署的检测任务,结合巡检机器人运动学与动力学方程,提出了巡检机器人自主运动规划方法与故障诊断方法.算法克服了传统蒙特卡洛算法出现的机器人绑架和粒子数固定等缺陷,并通过实验验证了提出方法的有效性.

1 巡检机器人通信架构

巡检机器人通信系统总体通信结构如图1所示.在其使用过程中,通过路由器、无线接入点(AP)等设备作为通信设施,结合AP以及交换机搭建监控后台,实现部署终端与巡检机器人的实时通信[11].在通信系统中,监控后台可以实现与机器人之间实时的信息交互,其中包含各种功能指令触发以及检测数据通信与分析;部署终端可以对变电站内部的地形环境进行建模,同时规划最优巡检路径[12].

图1 巡检机器人工作逻辑框架
Fig.1 Working logic framework of inspection robot

2 巡检机器人自主运动规划

2.1 环境拓扑模型

巡检机器人在面对复杂的巡检工作时,首要考虑的因素是自身安全性,因此,需结合变电站环境建立其环境拓扑模型及路径与任务规划方法,在巡检机器人到达目标位置后,确保其能够安全地实施有效检测[13].操作需结合变电站实际工程现场与作业环境,为其部署更为有效的作业任务以及科学的行进路线,环境拓扑图如图2所示.

图2 变电站环境拓扑图
Fig.2 Environmental topology of substation

图2中,路径点是机器人导航的关键点,通过关键点的有向链接可规划安全路径;任务点由监控后台自定义,是机器人实施温度测量、异常监测等功能的关键点;可行边是连接相邻路径点(或任务点)的路径.

本文采用ROS机器人控制系统,基于GMapping算法建立环境拓扑图,该方法的坐标系定义如表1所示.

表1 坐标系定义
Tab.1 Definition of coordinate system

坐标系说明Laser激光雷达坐标系Map地图坐标系Base_link机器人自身坐标系Odom里程计坐标系

2.2 路径规划方法

巡检机器人需模拟巡检人员的作业行为,结合监控后台部署的作业任务以及机器人的实时位置信息,科学有效地规划出最优路线,在确保自身安全性与作业有效性的前提下遍历每一个巡检点,最后返回初始位置[14].根据部署的作业要求并考虑机器人作业效率、安全性等方面的因素,变电站的巡检工作要求遍历每个巡检点且只经过一次,是比较典型的约束最短路径问题.当途经点n≤4时,需采用穷举法处理;当n>4时,则需采用动态规划方法,路径规划的程序流程框图如图3所示.

图3 路径规划流程
Fig.3 Flow chart of path planning

2.3 巡检机器人定位

综合考虑机器人运动和感知模型,本文所使用的巡检机器人定位系统采用二维栅格图定位,并通过粒子滤波算法求解机器人位姿的近似概率分布.

本文采用自适应蒙特卡洛定位(AMCL)算法定位实时节点,确保了ROS系统中基于AMCL算法室外定位的稳定性.在对所设定的坐标系进行定位计算时,需根据历程变化实时更新定位.当粒子收敛后系统产生定位偏差时,计算过程收敛性需要进一步验证.收敛后的粒子多样性减小,与原粒子无法匹配,为避免类似情况,需对粒子重新采样.

巡检机器人初始充电房定位图如图4所示.为了实现巡检机器人定位,本设计结合位置信息、充电设施信息及机器人本身的结构等制定合适的充电设计运动策略.

图4 充电房定位图
Fig.4 Positioning map of charging room

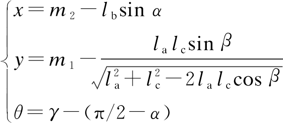
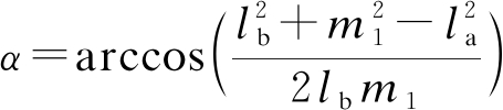
在充电房内设置L1L2两个定位标识物,可将激光数据分为两部分,当系统剔除异常值、无效数值后,获取数据中极大值以及对应的激光束.在充电房坐标系中,lcla是左边两条激光束的长度,m1m2分别对应充电房的长、宽,CL1L2构成三角形,三条边的长度信息可以方便获得,故充电房中机器人位置信息为

(1)

(2)

通过几何计算三角形CL1L2来确定xθ的值,计算三角形CL1L3确定y的值.为减少数据波动对于计算结果的影响并提升计算的准确性,系统集成了滑动平均滤波器,同时选择多个激光束进行计算并取平均值.

2.4 巡检机器人PID运动控制方法

本设计所应用的巡检机器人运动方式采用四轮差分移动式,在投入巡检工作中,其左右轮速度一致,机器人运动模型如图5所示,b为几何中心至轮子的距离,r为轮半径.

图5 机器人运动模型
Fig.5 Motion model of robot

巡检机器人在获取到当前位姿x1y1θ1及目标位姿x2y2θ2后,根据前向直线导航任务制定前向直线路线,从机器人的当前位姿信息开始,沿着直线行驶到目标.具体导航策略如图6所示.

图6 前向直线导航策略
Fig.6 Forward linear navigation strategy

机器人导航过程分为以下3步:

1) 机器人角度调整最主要是确定前进的方向,然后系统再进行计算调整并引导车辆.如图6b所示,系统需指导车辆驶至红色区域,使巡检机器人车辆车头朝向L,角度α1为车头与目标点之间角度.考虑工程现场的地面情况以及天气、环境等诸多不可控因素,需要引用一个角度误差来反映颠簸引起的扰动,通过运动控制算法以恒定的较小的角速度自转,直至车辆的角度误差小于给定的精度.

2) 在巡检机器人沿着直线L的行驶过程中,需保证机器人在考虑角度误差以及位置偏移的情况下不离开所给定的直线.为实现对机器人行驶角度的精确控制,本文采用PID控制,在机器人行至目标点时,保障机器人按照给定的路径行进.此外,在整个过程中需要预先设置基准速度,以保证巡检机器人车辆行驶过程中的平稳运行,并需根据实际运行中出现的扰动进行调整.

3) 当巡检机器人到达预设的目标点之后,由于车体身位的不确定性,如图6d所示,需要调整车体,自行旋转达到预设目标点的位姿.

在机器人系统中,对于倒退直线导航的处理方式是将其转换为前进直线导航,具体操作是在步骤1)、2)中先对巡检机器人角度进行修正,当巡检机器人移动角度进行180°调整后,车的后方转换为车的前方,这样再将车后方行驶速度取为前向的相反数即可.

2.5 故障报警算法

在机器人到达指定地点后,通过红外摄像头对变电站内三相刀闸侧套管、电流电容互感器等设备进行抓拍,并采集设备的温度信息进行分析.本文结合先前经验设定了各部件温度阈值,并提出了故障预警算法,即当检测温度大于对应安全温度值时,系统触发故障报警模式;当两次检测不同,箱内温升高于设定温度变化范围时,系统触发故障报警.

3 实验与分析

利用本文提出的巡检机器人自主路径规划方法对巡检机器人进行导航调试,将其放置在变电站时,需工作人员对其行走点位进行定位.本文设置路径为:直行—转弯—直行—转弯—直行,在此过程中通过AMCL节点进行定位,定位结果如图7所示.

图7 室外定位数据实测
Fig.7 Measurement of outdoor positioning data

以倒退直线导航为例说明室内导航调试工作,直线行驶的速度设置为0.08 m/s,室内导航数据对比情况如图8所示.观察图8a、b可以发现在23 s左右有一个定位信息的切换,这是由于AMCL的定位数据判断机器人进入了充电房,将AMCL的定位信息切换到了充电房内基于标识物的定位所致.

图8 室内导航数据对比
Fig.8 Indoor navigation data comparison

机器人到达定位地点后,对真实变电站场景进行温度监测.以马山220 kV变电站进行红外测温数据为例,智能巡检机器人检测1号主二次526I甲刀闸侧套管引流线夹A、B、C三相相过热温度为41.789 2、17.243 4、29.59 ℃;220 kV龙城变2号电容器电流互感器B相线路侧接线板过热,温升为87%,两次抓拍红外检测图如图9所示.

图9 变电站温度检测
Fig.9 Temperature detection of substation

系统在真实场景下进行多种电力设备温度检测时可以发现:1号主二次526I甲刀闸侧套管引流线夹各相温度差大于设定的温度变化范围,系统自动触发了故障报警模式.220 kV龙城变2号电容器电流互感器B相线路侧接线板温升为87%,系统触发故障报警模式.本文提出的自主运动规划方法与故障报警算法可以有效确保巡检机器人在实现合理的路径规划与导航的情况下,对各电力器件温度进行红外图像抓拍与温度监测,并实现温度异常状态自行触发故障报警.

4 结 论

本文提出了巡检机器人自主运动规划与故障诊断方法,将其应用于真实变电站,能够完成对工程现场内的路径规划、导航与实时故障监测.

在本文所提控制策略下,变电站巡检机器有效计算最优路径并完成巡检任务,其导航误差较小.巡线机器人在实测巡检过程中,能够对变电站内电力器件的温度进行抓拍与监测,对温度异常状态自行发出故障报警,该策略可应用于无人化巡检等类似场景下.

参考文献(References):

[1] 李祥,崔昊杨,曾俊冬,等.变电站智能机器人及其研究展望 [J].上海电力学院学报,2017,33(1):15-19.

(LI Xiang,CUI Hao-yang,ZENG Jun-dong,et al.Research and prospect of intelligent inspection robot for substation [J].Journal of Shanghai University of Electric Power,2017,33(1):15-19.)

[2] 鲁守银,张营,李建祥,等.移动机器人在高压变电站中的应用 [J].高电压技术,2017,43(1):276-284.

(LU Shou-yin,ZHANG Ying,LI Jian-xiang,et al.Application of mobile robot in high voltage substation [J].High Voltage Engineering,2017,43(1):276-284.)

[3] Zhang W,Zhu X,Liu Y.Small substation intelligent inspection robot design and inspection planning study [C]//Basic & Clinical Pharmacology & Toxicology.New Jersey,USA,2020:220-223.

[4] 齐郑,赵传宗,纪鹏,等.基于匹配追踪的配电网相接地故障定位方法 [J].沈阳工业大学学报,2019,41(2):121-125.

(QI Zheng,ZHAO Chuan-zong,JI Peng,et al.Location method for single-phase grounding fault of distribution network based on matching pursuit [J].Journal of Shenyang University of Technology,2019,41(2):121-125.)

[5] 崔宝侠,周钰雨,段勇.机器人在未知环境条件下的动态避障 [J].沈阳工业大学学报,2016,38(6):657-661.

(CUI Bao-xia,ZHOU Yu-yu,DUAN Yong.Dynamic obstacle avoidance of robot in unknown environment [J].Journal of Shenyang University of Technology,2016,38(6):657-661.)

[6] 谢涛,蒯圣宇,朱晓虎,等.基于改进遗传算法的配电网故障定位方法 [J].沈阳工业大学学报,2019,41(2):126-131.

(XIE Tao,KUAI Sheng-yu,ZHU Xiao-hu,et al.Fault location method for distribution network based on improved genetic algorithm [J].Journal of Shenyang University of Technology,2019,41(2):126-131.)

[7] 黄山,吴振升,任志刚,等.电力智能巡检机器人研究综述 [J].电测与仪表,2020,57(2):26-38.

(HUANG Shan,WU Zhen-sheng,REN Zhi-gang,et al.Summary of research on power intelligent patrol robot [J].Electrical Measurement & Instrumentation,2020,57(2):26-38.)

[8] 赵璠璠.变电站智能巡检机器人系统设计 [J].机械管理开发,2020,35(10):233-235.

(ZHAO Fan-fan.Design of intelligent inspection robot system for substation [J].Mechanical Management and Development,2020,35(10):233-235.)

[9] 陈文涛,刘飞飞,代云勇,等.一种城市地下综合管廊巡检机器人系统的设计与实现 [J].制造业自动化,2020,42(9):65-69.

(CHEN Wen-tao,LIU Fei-fei,DAI Yun-yong,et al.The design and implementation of an inspection robot system for urban underground integrated pipe gallery [J].Manufacturing Automation,2020,42(9):65-69.)

[10] 杨海,高山峻,许文斌,等.电力巡检机器人自动避障与轨迹规划系统研究 [J].自动化与仪表,2020,35(8):37-41.

(YANG Hai,GAO Shan-jun,XU Wen-bin,et al.Research on automatic obstacle avoidance and trajectory planning system of electric inspection robot [J].Automation & Instrumentation,2020,35(8):37-41.)

[11] Cui X,Fang H,Yang G,et al.A new method of digi-tal number recognition for substation inspection robot [C]//International Conference on Applied Robotics for the Power Industry.Jinan,China,2016:1-4.

[12] 钱平,徐街明,张永,等.变电站巡检机器人监控系统实现技术与应用功能设计 [J].电力信息与通信技术,2017,15(12):19-24.

(QIAN Ping,XU Jie-ming,ZHANG Yong,et al.The implemented technology and application function design of patrol robot monitoring system for substation [J].Electric Power Information and Communication Technology,2017,15(12):19-24.)

[13] 张营,鲁守银.基于模糊控制算法的变电站巡检机器人路径规划 [J].制造业自动化,2015,37(11):53-55.

(ZHANG Ying,LU Shou-yin.Path planning of the substation inspection robot based on fuzzy control algorithm [J].Manufacturing Automation,2015,37(11):53-55.)

[14] 闫鹏杰,张亚.一种移动机器人路径规划新方法 [J].河北农机,2016(2):64-65.

(YAN Peng-jie,ZHANG Ya.A new path planning method for mobile robots [J].Hebei Agricultural Machinery,2016(2):64-65.)

Autonomous motion planning of inspection robot for substation fault warning

ZHENG Ya-hong1, YU Xue-ting2, MA Shao-hua3, HAN Zi-jiao4, DONG Yan-nan3

(1. Department of Electrical Engineering, Shenyang Equipment Manufacturing Engineering School, Shenyang 110026, China; 2. Baita District Power Supply Branch, State Grid Liaoyang Power Supply Company, Liaoyang 111000, China; 3. School of Electrical Engineering, Shenyang University of Technology, Shenyang 110870, China; 4. Dispatching Control Center, State Grid Liaoning Electric Power Co.Ltd., Shenyang 110006, China)

Abstract In order to meet the demand for unmanned substation inspection scenarios, an autonomous motion planning method and a fault diagnosis method of intelligent inspection robot were proposed in terms of the internal environment characteristics of substation and the kinematic and dynamic models for inspection robot. In order to overcome the problems of robot abduction and particle number fixation with traditional Monte Carlo algorithm, an adaptive Monte Carlo positioning algorithm was proposed to fulfil the real-time positioning of inspection robot and was combined with the abnormal temperature detection and the alarm algorithm of fault threshold. Through path planning in real scenarios and temperature monitoring experiments of multiple power devices, it is proved that the as-proposed method can effectively plan the optimal inspection path and temperature inspection assignment.

Key words unmanned inspection; inspection robot; autonomous motion planning; real-time positioning; adaptive Monte Carlo positioning; fault threshold; temperature detection; alarm algorithm

中图分类号: TM 63

文献标志码:A

文章编号:1000-1646(2021)01-0006-06

收稿日期 2020-09-19.

基金项目 国家自然科学基金项目(U1766204).

作者简介 郑亚红(1968-),女,辽宁沈阳人,教授级高级讲师,硕士,主要从事智能机器人控制、电气自动化等方面的研究.

* 本文已于2020-10-30 17∶29在中国知网优先数字出版. 网络出版地址: http:∥kns.cnki.net/kcms/detail/21.1189.T.20201221.1118.030.html

doi:10.7688/j.issn.1000-1646.2021.01.02

(责任编辑:景 勇 英文审校:尹淑英)