微结构表面对运动微生物附着影响*

杨红月,李春曦,王松岭,李恒凡

(华北电力大学 动力工程系,河北 保定 071000)

摘 要: 针对海水冷却电厂冷却水管道堵塞问题,运用微结构表面技术减少污损生物在管道内壁的附着.建立了微生物在微结构表面顺流向、逆流向的运动模型,采用CFD技术模拟直径为5 μm的球形藻在近壁区运动情况,从而比较不同尺寸微结构上方、微坑内流体运动学特征和剪切应力分布.结果表明,高宽比增大有利于微坑内形成涡旋,且β越大,涡旋中心低流速区域的位置越接近微结构表面,涡旋流动会使微结构上层流体产生滑移,减少微结构表面生物附着,模拟结果进一步揭示了微结构防污机理.

关 键 词: 微结构;CFD技术;微生物;附着;流动特性;剪切应力;防污;数值模拟

防污技术研究关系到能源产业、海洋开发等领域,电网电厂设备维护、新能源开发利用[1-2]等均以防污研究为基础.除各类涂层的研究制备外,微结构表面防污技术也是当前的研究热点.海水冷却电厂的循环冷却系统往往因为生物污损产生严重堵塞,需要耗费大量人力物力进行除污,因此能源行业防污技术研究具有非常重要的意义[3].

Rajab等[4-5]发现细菌更倾向于附着在微结构的凹槽中,他认为细菌会由自身重力作用沉降在表面结构底部,且底部会提供较大的接触面积,凹槽侧壁面会保护细菌免受水流影响,不易于脱附.Shaikh[6]使用飞秒激光进行表面改性后增加了粗糙度和湿润性,实验结果表明,其表面具有抗菌与降低生物膜形成的效果.武汉理工大学白秀琴等[7-9]将镜蛤壳体的微观结构简化为棱纹表面,并根据螃蟹表面100 μm左右的凸起及凸起顶端更细微的结构,设计了6种不同大小间距的圆柱状凸起.实验结果表明,经过简化设计的仿生表面均有防污减阻的效果,间距为4和7 μm的微结构防污效果最优[10].Wang等[11]对贝壳、海星等表面进行了研究,发现这些生物表面分布着几微米至几十微米的沟槽或凸起,实验结果表明,相比光滑表面,仿海星微结构的表面具有较好的防污性能.Won[12]对不同尺寸的棱形条纹图案进行了数值模拟,比较不同雷诺数下颗粒在棱镜结构中沉积情况.Jung等[13]模拟了胶体颗粒物在具有脊状图案膜表面的沉积情况.随着雷诺数的增加,微结构膜表面附近形成了悬浮颗粒无法通过流动进入的“不可接近区”,从而减少颗粒沉积.Bin等[14]比较了复合结构分层微柱和非分层微柱的防污情况,模拟结果显示复合分层微柱上具有更高流速和剪切应力.

本文采用计算流体力学(CFD)模拟微生物在近壁区运动情况,对微结构附近流体特性进行分析,评估不同微结构模型的防污效果,更有利于揭示微结构防污性能和机理,为后续各类防污表面的设计和优化提供支撑.

1 研究方法

1.1 模型参数及边界条件

假设流体在微通道内做平行于表面的层流运动,通道内表面均为无滑移表面.微生物可在平行于表面方向自由运动,则以下采用二维模拟进行分析.微生物模型简化为直径为5 μm的球形,通道长L=500 μm,高度H=300 μm.为消除入口和出口段对流体状态的影响,在通道入口与出口段设置一定长度的光滑表面.采用动网格对运动情况进行模拟,微生物平均运动速度采用Darnton等[15]的研究结果3×10-5 m/s,通道内流场计算参照Halder等[16]所做实验中流体的低速流动,雷诺数为0.436,入口处自左向右来流v0=0.002 m/s,出口端为自由流,故忽略了微生物重力的作用.

本文建立5种含不同尺寸微坑的微结构表面,记为Micro pit(Mp),其中微脊宽度为a=2 μm,微坑深和宽分别为hs,5种微坑尺寸参数如表1所示.表面上方不同高度测量位置为dc.本文采用以下无量纲参数:微坑高宽比β=h/s,归一化位置参数xeye,剪切应力梯度τ表示各点处剪切应力变化率.

表1 微结构表面微坑尺寸
Tab.1 Micro-pit size on surface of microstructure μm

微结构参数Mp1Mp2Mp3Mp4Mp5h22555s255810

1.2 控制方程与计算方法

流体区域连续并在同一速度场内,因此基于连续介质假设的控制方程仍适用.计算中设定水的密度和粘度均为常数,求解定常层流流动,并忽略重力影响.流体计算中的连续性方程和动量方程仍然适用.采用Fluent软件二维双精度求解器,速度和压力采用Simple耦合,动量方程采用二阶迎风格式离散.非稳态模型时间步长为0.01 s,当各方向速度等参数的残差均小于10-6时,则计算结果视为收敛.

2 表面流动特性对微生物附着影响

2.1 表面结构参数对附着效果影响

假定微生物从微脊处开始以3×10-5 m/s的速度分别进行顺流向、逆流向运动,运动过程中由于表面的粘滞作用及边界层效应,不同尺寸微结构附近及微坑内部流体流动特性、表面剪切应力存在差异,对微生物附着产生影响.

图1为6种壁面上方0.1 μm处平均速度.在光滑表面上流动缓慢且速度变化平缓,微生物运动可忽略流动干扰,为微生物沉降和生长提供了有利条件.其他微结构均有较大速度波动,从而影响微生物附着达到防污效果,这与Halder等[16]的实验研究结果相符,即非仿生几何形状表面具备形成良好微流控条件的封闭模式,对防污效果更为有利.

图1 不同壁面平均速度分布(dc=0.1 μm)
Fig.1 Average velocity distribution above different walls (dc=0.1 μm)

图2为顺流向时微坑内中间位置xe=0.5处沿y方向速度分布.Mp2速度分布与层流类似,其速度矢量图中未发现旋涡流动;其余结构微坑底部均有x方向逆流动,表明微坑中有涡流存在.Mp4、Mp5速度分布相近,Mp3在微坑底部速度分布与Mp1相近.在微坑上半部速度快速增大,到达微坑顶端时,与Mp4、Mp5流速相当,表明h对微坑上部流速影响较大,微坑内涡流形态受β影响较大.

图2 微坑中间位置速度分布(xe=0.5)
Fig.2 Velocity distribution in middle positions of micro-pits (xe=0.5)

Rosenhahn等[17]研究表明,藻类孢子在某处的旋转作用决定了永久附着的粘附强度,因此微坑中的低速涡流为微生物在微坑中附着创造了有利条件.微坑中间区域由于涡旋存在,速度逐渐减小到0,微生物进入微坑,涡旋中低流速区域越靠近微坑底部,则附着越容易发生.虽然微生物在微坑中可能随涡流或层流被带走,但由于微坑内流量较小,存在使微生物被截留在微坑底部边缘或拐角处的情况.

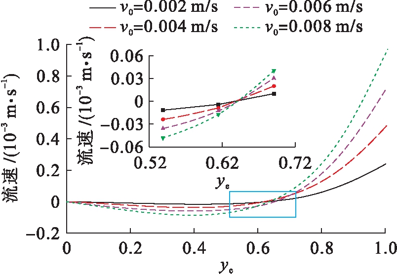
2.2 入口流速对附着效果影响

图3为不同流速在Mp1微坑内y方向速度分布.由图3可以看出,微坑中涡流速度随入口流速v0增大而增大.当β值固定时,微坑中涡流流速会随入口流速增加而增加,但入口流速对微坑内低流速区域位置无明显影响.

图3 在不同入口速度下微坑内速度分布(xe=0.5)
Fig.3 Velocity distribution in micro-pits at different entrance velocities (xe=0.5)

3 微结构表面剪切应力对附着影响

较高的剪切应力将增大微生物从表面分离的可能性,Lee等[18]通过对棱镜形表面的防污性能进行研究发现:棱镜结构在CFD模拟中显示出高剪切应力.因此,高剪切应力和剪切应力波动可以作为研究微生物附着的重要参数.

3.1 微结构参数对附着效果影响

图4为微结构上方0.1 μm处剪切应力梯度分布情况.由图4可以看出,剪切应力的快速变化仅集中在微脊,尤其是台阶处,而光滑壁面梯度几乎为0.微脊中间区域和光滑壁面剪切应力梯度τ相近,因此,微脊宽度的增加会为微生物附着提供可能.

图4 微结构表面剪切应力梯度
Fig.4 Shear stress gradient of microstructural surfaces

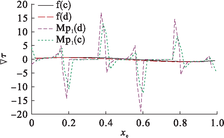
3.2 运动状态对附着效果影响

图5为微生物在两种运动方向时的剪切应力梯度τ变化情况.f(d)与f(c)分别代表光滑表面顺流向和逆流向,Mp1(d)和Mp1(c)所代表的意义同上.在光滑表面上,无论微生物向何种方向运动,应力梯度变化均可近似为0,在Mp1表面剪切应力快速变化区域集中在微脊,尤其是台阶处,顺流向时应力梯度略大于逆流向,这与顺流向时流速大于逆流向的结果一致.

图5 不同流向剪切应力梯度
Fig.5 Shear stress gradient in different flow directions

3.3 微坑内剪切应力分布影响

图6、7分别为微坑内流体流入、流出侧壁面y方向剪切应力分布.受微坑内摩擦阻力影响,出口侧剪切应力低于入口.比较5种微结构可以得到:Mp1微坑内剪切应力最大,左右两侧剪切应力相差最小,这使得Mp1微坑内侧壁面剪除掉附着生物的可能性最高.其他尺寸出口侧壁面剪切应力显著减小,当微生物随微坑内涡流运动碰撞壁面后,可能因动量减小在壁面附着.

图6 微坑入口侧壁面剪切应力
Fig.6 Shear stress of side wall at entrance of micro-pits

图7 微坑出口侧壁面剪切应力
Fig.7 Shear stress of side wall at outlet of micro-pits

4 结 论

本文建立了5种不同尺寸的矩形微坑表面,并采用CFD技术模拟直径为5 μm的球形藻在近壁区顺流向、逆流向的运动情况.通过考察不同微结构上方和微坑内流速分布、剪切应力分布、剪切应力梯度等情况,分析对微生物附着和脱落的影响,得到以下结论:

1) 微结构表面流体速度明显高于光滑表面,且呈现周期性波动,使得微结构表面速度梯度变化频繁(光滑表面则近似为0).5种模型(0.4≤β≤1)模拟结果显示,β越小,微坑内越难以形成涡旋;β越大,微坑内涡旋低流速区域越靠近微坑表面.由于上层流体发生滑移位置接近微脊,因此β越大,微生物越难以深入微坑形成附着.

2) 微脊处剪切应力和剪切应力梯度随微坑深度、宽度的增加而增大.模拟结果显示,微脊台阶处速度和剪切应力均发生较大变化,且不利于附着.当微生物尺寸小于微结构,可在进入微坑后随内部涡流与壁面发生碰撞,进而在扭结位形成接触或附着.Mp1微坑内两侧壁面剪切应力显著高于其他尺寸微坑,这使得进入其内部的微生物难以深度附着,其他微结构在流出侧壁面剪切应力显著小于流入侧,微生物容易随涡流沉积在微坑流出侧形成聚集.

参考文献(References):

[1] Pedrazzi S,Allesina G,Muscio A.Nano-composite coatings the key for photovoltaic panel self-maintenance:an experimental evaluation [J].Energies,2018,11(12):3448-3461.

[2] Lü Y.Simulation of contamination deposition on typical shed porcelain insulators [J].Energies,2017,10(7):1045-1059.

[3] Watson G S,Green D W,Schwarzkopf L,et al.A gecko skin micro/nano structure:a low adhesion,super-hydrophobic,anti-wetting,self-cleaning,biocompatible,antibacterial surface [J].Acta Biomaterialia,2015,21:109-122.

[4] Rajab F H,Liauw C M,Benson P S,et al.Production of hybrid macro/micro/nano surface structures on Ti6Al4V surfaces by picosecond laser surface texturing and their antifouling characteristics [J].Colloids and Surfaces B:Biointerfaces,2017,160:688-696.

[5] Rajab F H,Liu Z,Wang T,et al.Controlling bacteria retention on polymer via replication of laser micro/nano textured metal mould [J].Optics & Laser Technology,2018,111:530-536.

[6] Shaikh S.Laser induced surface modification for prevention of bacterial adhesion on 45S5 bioactive glass [J].Journal of Non-Crystalline Solids,2018,48(2):63-72.

[7] Bai X Q,Xie G T,Fan H,et al.Study on biomimetic preparation of shell surface microstructure for ship antifouling [J].Wear,2013,306(1/2):285-295.

[8] Yi F F.Study on drag reduction performance of antifouling ribbed surfaces [J].Journal of Ship Production and Design,2018,34(1):32-41.

[9] 杨宗澄.基于螃蟹表面微结构的仿生表面制备及防污性能分析 [D].武汉:武汉理工大学,2018.

(YANG Zong-cheng.Research on biomimetic preparation based on crab surface microstructure and analysis of antifouling performance [D].Wuhan:Wuhan University of Technology,2018.)

[10] 楼彤,白秀琴,袁成清,等.船舶表面微结构防污技术研究进展 [J].表面技术,2019,48(1):115-126.

(LOU Tong,BAI Xiu-qin,YUAN Cheng-qing,et al.Advances in surface microstructure antifouling technology for ship hull [J].Surface Technology,2019,48(1):115-126.)

[11] Wang X,Bai X Q,Yuan C Q.Analysis of present development on technologies of antifouling and drag reduction based on bionic non-smooth surface [J].Ship Engineering,2015,37(6):1-5.

[12] Won Y.Correlation of membrane fouling with topo-graphy of patterned membranes for water treatment [J].Journal of Membrane Science,2016,49(8):14-19.

[13] Jung S Y,Ahn K H.Transport and deposition of col-loidal particles on a patterned membrane surface:effect of cross-flow velocity and the size ratio of particle to surface pattern [J].Journal of Membrane Science,2019,57(2):309-319.

[14] Bin A,Fawzan M R,Wong F Y.Comparisons of flow patterns over a hierarchical and a non-hierarchical surface in relation to biofouling control [C]//MATEC Web of Conferences.Boston,USA,2018:14-29.

[15] Darnton N C,Turner L,Rojevsky S,et al.Dynamics of bacterial swarming [J].Biophysical Journal,2010,98(10):2082-2090.

[16] Halder P,Nasabi M,Jayasurya N,et al.An assessment of the dynamic stability of microorganisms on patterned surfaces in relation to biofouling control [J].Biofouling,2014,30(6):695-707.

[17] Rosenhahn A,Sendar G H.Surface sensing and settlement strategies of marine biofouling organisms [J].Biointerphases,2012,7(1/2):63-75.

[18] Lee Y K,Won Y J,Yoo J H,et al.Flow analysis and fouling on the patterned membrane surface [J].Journal of Membrane Science,2013,427:320-325.

Effect of microstructural surfaces on attachment of moving microorganisms

YANG Hong-yue, LI Chun-xi, WANG Song-ling, LI Heng-fan

(Department of Power Engineering, North China Electric Power University, Baoding 071000,China)

Abstract In order to solve the blockage problem of cooling water pipeline in seawater cooling power plant, a microstructural surface technology was used to reduce the fouling organisms attaching to the inner wall of pipeline. A moving model for microorganisms in downstream and countercurrent directions on microstructural surfaces was established. The moving situation of spherical algae with a diameter of 5 μm was simulated by CFD technology. The fluid kinematic characteristics and shear stress distribution above and within the micro-pits of different sizes were compared. The results indicate that the increase of height to width ratio is advantageous to vortex formation in micro-pits. In addition, the higher the height to width ratio, the closer the position of low-velocity region of vortex center to the microstructure surfaces. The vortex flow can make the upper fluid of microstructure slip and reduce the microorganism attachment to microstructure surfaces. The simulation results further reveal the antifouling mechanism of microstructures.

Key words microstructure; CFD technology; microorganism; attachment; flow characteristic; shear stress; antifouling; numerical simulation

中图分类号: TM 621

文献标志码:A

文章编号:1000-1646(2021)01-0072-05

收稿日期 2020-06-16.

基金项目 国家自然科学基金项目(51876065);中央高校基本科研项目(2015MS105).

作者简介 杨红月(1981-),女,河北保定人,讲师,博士生,主要从事流体计算和数值模拟等方面的研究.

* 本文已于2020-12-22 16∶33在中国知网优先数字出版. 网络出版地址: http:∥kns.cnki.net/kcms/detail/21.1189.T.20201221.1113.012.html

doi:10.7688/j.issn.1000-1646.2021.01.13

(责任编辑:景 勇 英文审校:尹淑英)