钢管赤泥混凝土粘结滑移影响因素*

武 斌1,2,谭卓英1,王 舜3,佟明来4

(1. 北京科技大学 土木与资源工程学院,北京 100083;2. 辽宁省交通高等专科学校 建筑工程系,沈阳 110122;3. 沈阳大学 建筑工程学院,沈阳 110044;4. 莱蒙国际集团有限公司 设计部,广东 深圳 518003)

摘 要: 为了研究钢管赤泥混凝土粘结滑移性能,考虑了截面形式等5个变化参数,制作了短柱试件进行推出试验,获得了钢管赤泥混凝土的荷载滑移曲线,并对变化参数的影响进行了分析.结果表明:粘结峰值荷载随赤泥替代率的提高先增加后降低,赤泥替代率为5%时,粘结峰值荷载达到最大;赤泥替代率为20%时,粘结峰值荷载与标准钢管混凝土相当;粘结峰值荷载随混凝土强度及长径比的增加而增加,随宽(径)厚比的增加而减小;圆截面试件的粘结滑移性能优于方形截面试件.

关 键 词: 钢管赤泥混凝土;粘结滑移;赤泥替代率;峰值荷载;粘结强度;长径比;宽(径)厚比;短柱

赤泥混凝土[1]是一种新型的环保节能材料,它是利用铝工业生产产生的废料赤泥经过研磨、烘干后替代部分水泥加工制作而成,但是经过有关学者的研究,赤泥混凝土具有一定的缺陷,如耐久性差、吸水率高、离散性大、辐射性比普通混凝土略高等[2-3],影响了其在工程中的推广应用,为了克服赤泥混凝土的缺陷,本文提出钢管赤泥混凝土的概念,将钢管和赤泥混凝土结合,形成钢管赤泥混凝土,充分利用钢管混凝土的优点[4]来改善赤泥混凝土的缺陷.

各国学者对钢管混凝土的粘结滑移性能进行了较系统的研究,主要集中在试验研究、理论研究和数值模拟研究三个方面.其中,Zhong等[5]进行了方钢管和圆钢管混凝土的推出试验;Qu等[6]进行了矩形钢管混凝土的推出试验,提出改善界面的类型可以有效地提高粘结性能;徐金俊等[7]通过15个试件的试验研究总结了钢管再生混凝土粘结破坏机理并回归分析了粘结强度的承载力计算公式;姜封国等[8]利用有限元软件Ansys模拟了在地震力作用下钢管混凝土柱的粘结性,得出试件的耗能能力随着粘结强度的提高而增强.

由于钢管与赤泥混凝土的界面粘结滑移问题关系到钢管赤泥混凝土界面的传力可靠性问题,因此,在研究钢管赤泥混凝土静力性能之前,首先探讨钢管与赤泥混凝土界面的粘结滑移问题,本文进行了30个钢管赤泥混凝土的推出试验,来探讨钢管赤泥混凝土界面的粘结滑移性能.

1 试验概况

1.1 试验材料及配合比

钢管为无缝钢管,按《金属材料室温拉伸试验方法》(GB/T228-2010)确定钢材的屈服强度fy、抗拉强度fu、弹性模量Es,如表1所示.

表1 钢管性能
Tab.1 Properties of steel tubes

钢管边长(直径)×厚度B(D)×t/mmfyMPafuMPaEsGPa120×3(3.5)403.3484.9206140×3(3.5)343.1446.5206

水泥采用亚泰牌P.O42.5普通硅酸盐水泥;粗骨料为连续级配的碎石,最大粒径为20 mm;细骨料为中砂;水为普通自来水;赤泥为山东魏桥北海氧化铝拜耳法赤泥;外加剂为辽宁坚峰实业有限公司生产的混凝土增效剂;赤泥质量替代率分别为0%、5%、10%、15%、20%;按《普通混凝土配合比设计规程》(JGJ55-2011)进行混凝土配合比设计,配合比如表2所示.表2中,序号“RMC-0”中字母“RMC”表示赤泥混凝土;字母后数字分别表示赤泥替代率为0%、5%、10%、15%、20%.

表2 赤泥混凝土的配合比
Tab.2 Mixture proportion of red mud concrete (kg·m-3)

序号赤泥水泥细骨料粗骨料Ⅰ粗骨料Ⅱ水高效塑化剂RMC-003607802168621623.6RMC-5183427802168621623.9RMC-10363247802168621624.3RMC-15543067802168621624.7RMC-20722887802168621625.3

1.2 试件设计与制作

试验共设计了30个试件,考虑了截面形式、赤泥替代率、混凝土强度、长径比(埋置长度)、宽(径)厚比5个变化参数,具体如表3所示.试件浇筑时,将钢管放置于平整的钢板上,赤泥混凝土分层浇筑振捣,当赤泥混凝土浇筑到距离钢管顶端40 mm时,停止浇筑并将顶面抹平,同时将浇筑的立方体赤泥混凝土试块与钢管赤泥混凝土试件在同条件下进行养护,浇筑的部分试件如图1所示.

1.3 加载装置与加载制度

试验采用辽宁省建设科学研究院的200t微机控制压力试验机进行推出试验加载,采用位移控制的加载方式,加载速率为0.01 mm/s.加载时,在加载端赤泥混凝土面上放置一块60 mm厚钢垫板,其尺寸比钢管内截面尺寸略小.试验时,加载端赤泥混凝土受压,自由端钢管受压,将赤泥混凝土推出钢管,加载装置如图2所示.

1.4 测量内容与测点布置

试验前在钢管外壁粘贴电阻应变片,测量推出试验全过程的钢管应变.利用钢管应变差梯度,获得粘结应力的分布规律.在钢管侧壁开设小孔,浇筑赤泥混凝土时,将钢筋棒预埋入赤泥混凝土中并外伸出去,进行位移计的架设,测量钢管与赤泥混凝土的相对滑移,如图3所示(单位:mm).

表3 试件主要参数
Tab.3 Main parameters of specimens

试件编号边长(直径)B(D)/mm壁厚tmm高度hmm赤泥替代率r%混凝土强度等级fcuMPa埋置长度Lmm长径比L/B(D)宽(径)厚比B(D)/tS-11203.54500C5052.54102.9334.3S-21203.54505C5060.44102.9334.3S-31203.545010C5058.34102.9334.3S-41203.545015C5053.84102.9334.3S-51203.545020C5050.14102.9334.3S-61203.53005C5060.42601.8634.3S-71203.530015C5053.82601.8634.3S-81203.54505C3042.44102.9334.3S-91203.545015C3036.24102.9334.3S-101203.53005C3042.42601.8634.3S-111203.530015C3036.22601.8634.3S-121203.04505C5060.44102.9340.0S-131203.03005C5060.42601.8640.0S-141203.04505C3042.44102.9340.0S-151203.03005C3042.42601.8640.0C-11403.54500C5052.54102.9340.0C-21403.54505C5060.44102.9340.0C-31403.545010C5058.34102.9340.0C-41403.545015C5053.84102.9340.0C-51403.545020C5050.14102.9340.0C-61403.53005C5060.42601.8640.0C-71403.530015C5053.82601.8640.0C-81403.54505C3042.44102.9340.0C-91403.545015C3036.24102.9340.0C-101403.53005C3042.42601.8640.0C-111403.530015C3036.22601.8640.0C-121403.04505C5060.44102.9346.7C-131403.03005C5060.42601.8646.7C-141403.04505C3042.44102.9346.7C-151403.03005C3042.42601.8646.7

图1 部分试件
Fig.1 Part of specimens

2 试验结果与分析

2.1 试验现象

加载之初,钢管与赤泥混凝土之间并未发生相对滑移,随着加载端荷载的增加,对于方钢管来说,当荷载达到峰值荷载的11%~14%时,加载端开始出现滑移,而对于圆钢管,当荷载达到极限荷载的2.0%~4.0%时,加载端即开始出现滑移;当荷载和滑移进一步增加,会听到“沙沙”声,此时荷载滑移曲线基本呈线性增长,当突然听到“咔咔”声时,荷载达到极限.此后荷载下降,对于方钢管,荷载下降约10%,之后再次回升,出现拐点后下降.无论是圆钢管还是方钢管,总体下降有限,最终曲线趋于稳定,当滑移介于4~5 mm时停止试验.此时,钢管并未出现屈服,混凝土发生整体滑移,并未出现压碎现象.

图2 加载装置
Fig.2 Loading device

图3 钢管赤泥混凝土试件开孔及应变片布置
Fig.3 Trepanning and strain gauge locations for red mud concrete filled steel tube specimens

2.2 荷载滑移曲线

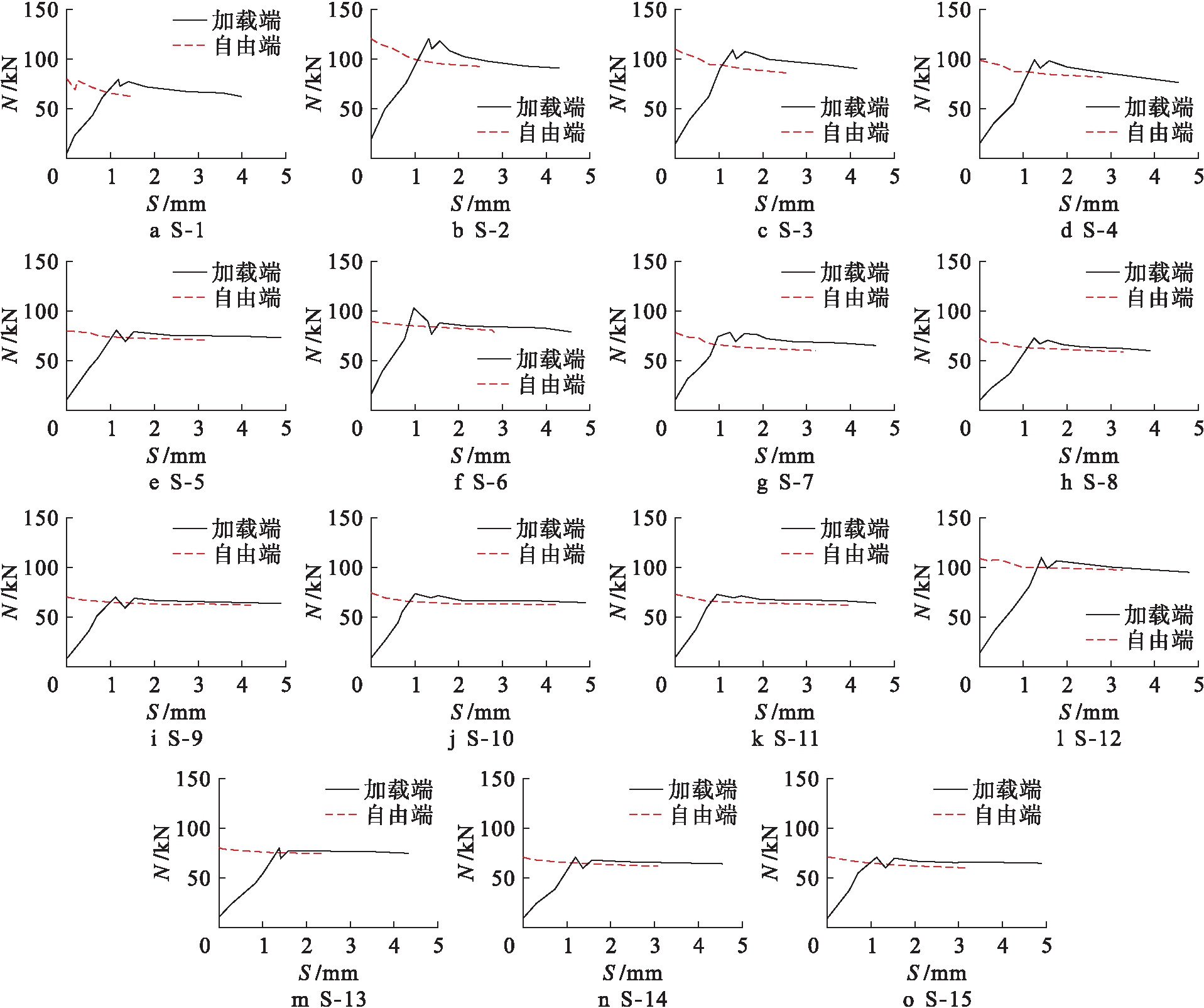
在试件加载过程中测得各试件的荷载滑移曲线,如图4、5所示.由图4、5可知,方钢管赤泥混凝土试件加载端与自由端的荷载(N)滑移(S)曲线形状相似,而圆钢管赤泥混凝土试件加载端与自由端的荷载滑移曲线相比有明显的上升段,且二者加载端均先于自由端产生滑移,加载端滑移量大于自由端滑移量,当荷载约达到峰值荷载的90%时,自由端才产生滑移.

图4 方钢管赤泥混凝土N-S曲线
Fig.4 N-S curves of red mud concrete square steel tubes

图5 圆钢管赤泥混凝土N-S曲线
Fig.5 N-S curves of red mud concrete circular steel tubes

方钢管赤泥混凝土的荷载滑移曲线大致分为5个阶段,即无滑移段、上升段、下降段、二次上升段、二次下降段.圆钢管赤泥混凝土的荷载滑移曲线大致分为3个阶段,即无滑移段、上升段、下降段.由于钢管与赤泥混凝土之间具有化学胶结力,因此产生了无滑移段;随着荷载的增加,当荷载达到钢管与赤泥混凝土之间的机械咬合力和化学胶结力之和时,荷载达到峰值,曲线处于上升段;随后方钢管试件荷载突然降低约10%,曲线处于下降段,而后进入二次上升段,但上升的幅度有限并未超过峰值点,这是因为由赤泥混凝土泊松效应和钢管约束作用引起的摩擦力随赤泥混凝土轴压力增大有增大趋势,粘结力略有增大.N-S曲线将只出现很短的下降段,之后荷载仍可以缓缓增长.

两种截面的钢管赤泥混凝土试件在推出过程中,当化学胶结力和机械咬合力丧失后,钢管与赤泥混凝土之间的粘结主要是靠二者间的摩擦力起主要作用,曲线较平缓地呈现下降趋势,此时曲线处于下降段.这是由于随着荷载的增大,当达到峰值荷载以后,试件已经处于粘结破坏状态,荷载下降而位移增加,呈现下降趋势.

3 变化参数影响分析

3.1 赤泥替代率的影响

钢管赤泥混凝土粘结破坏极限荷载与赤泥替代率的关系如图6所示.由图6可知,试件S-1~S-5的粘结破坏峰值荷载随赤泥替代率的提高先增加后降低,提高幅度大约在20%~46%之间.试件C-1~C-5的粘结破坏极限荷载随赤泥替代率的提高先增加后降低,提高幅度大约在5%~17.5%之间.赤泥替代率为5%时,粘结峰值荷载达到最大;赤泥替代率为20%时,粘结峰值荷载与标准钢管混凝土相当.粘结荷载变化的原因主要是赤泥的替换,增加了胶结材料吸水的能力,导致二次水化的发生,提高了混凝土强度,从而增加了化学胶结力.

图6 赤泥替代率与粘结荷载的关系
Fig.6 Relationship between red mud replacement ratio and bond load

3.2 混凝土强度的影响

钢管赤泥混凝土粘结破坏峰值荷载与混凝土强度的关系如图7所示.由图7可知,在相同宽(径)厚比、长径比(埋置长度)及赤泥替代率情况下,C50等级赤泥混凝土的粘结峰值荷载大于C30赤泥混凝土的粘结峰值荷载.根据文献[8]可知化学胶结力与混凝土强度有关,当赤泥混凝土强度提高较大时,化学胶结力相应提高较大,故钢管赤泥混凝土粘结荷载随混凝土强度的提高而提高.

图7 混凝土强度与粘结荷载的关系
Fig.7 Relationship between concrete strength and bond load

3.3 长径比(埋置长度)的影响

钢管赤泥混凝土粘结破坏峰值荷载与长径比(埋置长度)的关系如图8所示.由图8可知,在相同赤泥替代率、宽(径)厚比及混凝土强度情况下,试件长径比在1.86~2.93之间时,粘结峰值荷载随长径比的增加而增加,这与文献[9]结论相符.

图8 长径比与粘结荷载的关系
Fig.8 Relationship between length to diameter ratio and bond load

3.4 宽(径)厚比的影响

钢管赤泥混凝土粘结破坏峰值荷载与宽(径)厚比的关系如图9所示.由图9可知,在相同赤泥替代率、混凝土强度及长径比(埋置长度)情况下,方钢管赤泥混凝土试件宽厚比在34.3~40之间,圆钢管赤泥混凝土试件径厚比在40~46.7之间时,试件粘结峰值荷载随宽(径)厚比的增加而降低,这是由于随着宽(径)厚比增加,套箍系数相应减小,导致了试件的粘结峰值荷载降低.

图9 宽(径)厚比与粘结荷载的关系
Fig.9 Relationship between width (diameter) to thickness ratio and bond load

3.5 截面形式的影响

通过推出试验发现,两种不同的截面形式随着推出荷载的提高,表现出不同的破坏形式,圆截面试件缓慢滑移到峰值点,然后平缓下降;方截面试件则达到峰值荷载后迅速下降,再上升达到次峰值荷载,而后进入平缓下降段.因此,圆截面的粘结滑移性能优于方形截面,其主要原因为圆截面试件的约束均匀,仅达到一次峰值荷载,滑移承载力提高;方截面试件的约束主要集中在角部,对赤泥混凝土的约束较差,滑移先出现在中部,而后向角部扩展,因此产生了二次滑移即产生了次峰值荷载.这与文献[10]结论相符.

4 结 论

本文通过分析得出以下结论:

1) 方钢管赤泥混凝土的荷载滑移曲线大致分为5个阶段,即无滑移段、上升段、下降段、二次上升段、二次下降段.圆钢管赤泥混凝土的荷载滑移曲线大致分为3个阶段,即无滑移段、上升段、下降段.

2) 钢管与赤泥混凝土界面之间的粘结峰值荷载随赤泥替代率的提高先增加后降低,赤泥替代率为5%时,粘结峰值荷载达到最大;赤泥替代率为20%时,粘结峰值荷载与标准钢管混凝土相当.

3) 粘结峰值荷载随试件赤泥混凝土强度及长径比的增加而增加,随宽(径)厚比的增加而减小.

4) 圆截面试件的粘结滑移性能优于方截面试件的粘结滑移性能.

参考文献(References):

[1] Rudraswamy M P,Prakash K B.An experimental investigation on the effect of alternate wetting and drying on the properties of concrete produced by red mud [J].International Journal of Advanced Research,2014,2(1):473-484.

[2] Linora M D,Selvamony C,Anandakumar R,et al.Investigations on optimum possibility of replacing cement partially by red mud in concrete [J].Scientific Research and Essays,2015,10(4):137-143.

[3] Deshmukh P.Efficient use of aluminum industry waste (red mud) for high quality self compacting concrete [J].International Journal of Advanced Research,2015,3(12):759-764.

[4] 王颖,易坤.钢管混凝土结构及钢结构单层单跨框架力学性能分析 [J].沈阳工业大学学报,2018,40(1):115-120.

(WANG Ying,YI Kun.Analysis on mechanical pro-perties of concrete filled steel tube and steel structures with single story and single span frame [J].Journal of Shenyang University of Technology,2018,40(1):115-120.)

[5] Zhong T,Song T Y,Uy B,et al.Bond behavior in concrete-filled steel tubes [J].Journal of Constructional Steel Research,2016,120:81-93.

[6] Qu X S,Chen Z H,Nethercot D A,et al.Push-out tests and bond strength of rectangular CFST columns [J].Steel and Composite Structures,2015,19(1):21-41.

[7] 徐金俊,陈宗平,薛建阳,等.圆钢管再生混凝土界面粘结失效的推出试验研究 [J].建筑结构学报,2013,34(7):148-157.

(XU Jin-jun,CHEN Zong-ping,XUE Jian-yang,et al.Failure mechanism of interface bond behavior between circular steel tube and recycled aggregate concrete by push-out test [J].Journal of Building Structures,2013,34(7):148-157.)

[8] 姜封国,赵景鲁.粘结性对圆钢管混凝土柱抗震性能的影响 [J].世界地震工程,2015,31(1):167-172.

(JIANG Feng-guo,ZHAO Jing-lu.Influence of bond performance on seismic behavior of concrete-filled circular steel tubular column [J].World Earthquake Engineering,2015,31(1):167-172.)

[9] 刘永健,刘君平,池建军.钢管混凝土界面抗剪粘结滑移力学性能试验 [J].广西大学学报(自然科学版),2010,35(1):17-23.

(LIU Yong-jian,LIU Jun-ping,CHI Jian-jun.Shear bond behaviors at interface of concrete-filled steel tube [J].Journal of Guangxi University (Natural Science Edition),2010,35(1):17-23.)

[10] 刘永健,池建军.钢管混凝土界面抗剪粘结强度的推出试验 [J].工业建筑,2006,36(4):78-80.

(LIU Yong-jian,CHI Jian-jun.Push-out test on shear bond strength of CFST [J].Industrial Construction,2006,36(4):78-80.)

Influencing factors of bond-slip of red mud concrete filled steel tubes

WU Bin1,2, TAN Zhuo-ying1, WANG Shun3, TONG Ming-lai4

(1. School of Civil and Resource Engineering, Beijing University of Science and Technology, Beijing 100083, China; 2. Department of Construction Engineering, Liaoning Provincial College of Communications, Shenyang 110122, China; 3. School of Architectural and Civil Engineering, Shenyang University, Shenyang 110044, China; 4. Department of Design, Top Spring International Holdings Limited, Shenzhen 518003, China)

Abstract In order to study the bond-slip behavior of red mud concrete filled steel tubes, five variable parameters including the cross-section shape were considered, and short column specimens were prepared for a push-out test. The load-slip curves of red mud concrete filled steel tubes were obtained, and the influence of variable parameters was analyzed. The results show that the ultimate bond load increases at first and then decreases with the increase of red mud replacement ratio. When the replacement ratio of red mud is 5%, the ultimate bond load reaches the maximum value. When the replacement rate of red mud is 20%, the ultimate bond load is equivalent to that of normal concrete filled steel tubes. The ultimate bond load increases with the increase of concrete strength and the length to diameter ratio, but decreases with the increase of width (diameter) to thickness ratio. Furthermore, the bond-slip performance of circular specimens is superior to that of square specimens.

Key words red mud concrete filled steel tube; bond-slip; replacement ratio of red mud; ultimate load; bond strength; length to diameter ratio; width (diameter) to thickness ratio; short column

中图分类号: TU 398.9

文献标志码:A

文章编号:1000-1646(2021)01-0098-07

收稿日期 2019-03-18.

基金项目 国家自然科学基金项目(51574015);辽宁省自然科学基金项目(20170540493);辽宁省博士科研启动基金项目(20170520139);2020年度辽宁省教育厅科研课题项目(L2020-S01);辽宁省“兴辽英才计划”项目(XLYC1906010).

作者简介 武 斌(1979-),男,辽宁沈阳人,讲师,博士生,主要从事钢管混凝土结构等方面的研究.

* 本文已于2020-12-22 16∶44在中国知网优先数字出版. 网络出版地址: http:∥kns.cnki.net/kcms/detail/21.1189.T.20201221.1113.014.html

doi:10.7688/j.issn.1000-1646.2021.01.17

(责任编辑:钟 媛 英文审校:尹淑英)